• 文献检索
  • 文档翻译
  • 深度研究
  • 学术资讯
  • Suppr Zotero 插件Zotero 插件
  • 邀请有礼
  • 套餐&价格
  • 历史记录
应用&插件
Suppr Zotero 插件Zotero 插件浏览器插件Mac 客户端Windows 客户端微信小程序
定价
高级版会员购买积分包购买API积分包
服务
文献检索文档翻译深度研究API 文档MCP 服务
关于我们
关于 Suppr公司介绍联系我们用户协议隐私条款
关注我们

Suppr 超能文献

核心技术专利:CN118964589B侵权必究
粤ICP备2023148730 号-1Suppr @ 2026

文献检索

告别复杂PubMed语法,用中文像聊天一样搜索,搜遍4000万医学文献。AI智能推荐,让科研检索更轻松。

立即免费搜索

文件翻译

保留排版,准确专业,支持PDF/Word/PPT等文件格式,支持 12+语言互译。

免费翻译文档

深度研究

AI帮你快速写综述,25分钟生成高质量综述,智能提取关键信息,辅助科研写作。

立即免费体验

TROG 99.03试验的经济学评估:早期滤泡性淋巴瘤放疗后的全身治疗

An Economic Evaluation of the TROG 99.03 Trial: Systemic Therapy After Radiotherapy in Early-Stage Follicular Lymphoma.

作者信息

Erku Daniel, Tobin Joshua W D, Seymour John F, MacManus Michael, Scuffham Paul, Hapgood Greg

机构信息

Menzies Health Institute Queensland Griffith University Gold Coast Queensland Australia.

Mater Research Institute University of Queensland Brisbane Queensland Australia.

出版信息

EJHaem. 2025 Feb 12;6(1):e70002. doi: 10.1002/jha2.70002. eCollection 2025 Feb.

DOI:10.1002/jha2.70002
PMID:39944796
原文链接:https://pmc.ncbi.nlm.nih.gov/articles/PMC11815322/
Abstract

BACKGROUND

The TROG 99.03 trial demonstrated improved progression-free survival for patients with early-stage follicular lymphoma (FL) treated with systemic therapy using rituximab-cyclophosphamide, vincristine, prednisolone (R-CVP) after involved-field radiotherapy (RT) versus RT. As systemic therapy was associated with more acute toxicity, the possibility of long-term toxicity, and no survival benefit yet, the cost-effectiveness of RT+R-CVP is important.

AIM

We performed a cost-effectiveness analysis of RT (reference), RT+CVP, and RT+R-CVP from the TROG 99.03 trial.

METHODS

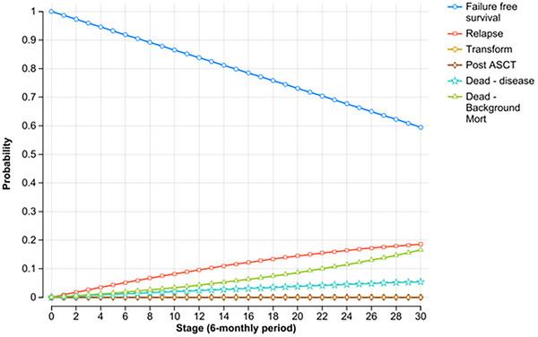
We constructed a Markov model (15-year horizon) to compare treatments: RT (reference), RT+CVP and RT+R-CVP from the 150 patients in the TROG 99.03 trial. Median follow-up was 11.3 years (range: 4.4-17.8). Lifetime direct health care costs, quality-adjusted life-years (QALYs) and incremental cost-effectiveness ratios (ICERs) were calculated. Australian dollars AUD$50,000 was defined as the proposed willingness-to-pay threshold (WTP).

RESULTS

RT+R-CVP was associated with an improvement of 0.711 QALYs compared to RT, 0.532 QALYs compared to RT+CVP, and was the dominant strategy. The costs of adverse events or retreatment for relapses or transformation had a minimal influence on the ICERs. Sensitivity analyses resulted in ICER values below the WTP with RT+R-CVP remaining the dominant strategy.

CONCLUSION

RT+R-CVP is clearly cost-effective and was the dominant strategy in early-stage FL compared to RT or RT+CVP as it delivers superior outcomes at a lower cost from the Australian tax-payer's perspective.

TRIAL REGISTRATION

The authors have confirmed clinical trial registration is not needed for this submission.

摘要

背景

TROG 99.03试验表明,对于早期滤泡性淋巴瘤(FL)患者,在受累野放疗(RT)后采用利妥昔单抗-环磷酰胺、长春新碱、泼尼松龙(R-CVP)进行全身治疗,与单纯放疗相比,无进展生存期得到改善。由于全身治疗与更多的急性毒性、长期毒性的可能性相关,且尚未显示出生存获益,因此RT+R-CVP的成本效益很重要。

目的

我们对TROG 99.03试验中的RT(对照)、RT+CVP和RT+R-CVP进行了成本效益分析。

方法

我们构建了一个马尔可夫模型(15年时间范围)来比较治疗方案:TROG 99.03试验中150例患者的RT(对照)、RT+CVP和RT+R-CVP。中位随访时间为(11.3)年(范围:(4.4 - 17.8)年)。计算了终身直接医疗保健成本、质量调整生命年(QALY)和增量成本效益比(ICER)。将50000澳元定义为提议的支付意愿阈值(WTP)。

结果

与RT相比,RT+R-CVP可使QALY提高(0.711),与RT+CVP相比提高(0.532),是主要策略。不良事件或复发或转化的再治疗成本对ICER的影响最小。敏感性分析得出ICER值低于WTP,RT+R-CVP仍是主要策略。

结论

从澳大利亚纳税人的角度来看,RT+R-CVP显然具有成本效益,并且在早期FL中是主要策略,因为它以较低成本提供了更好的结果。

试验注册

作者已确认本提交内容无需临床试验注册。

https://cdn.ncbi.nlm.nih.gov/pmc/blobs/63ee/11815322/464daa5f5f57/JHA2-6-e70002-g007.jpg
https://cdn.ncbi.nlm.nih.gov/pmc/blobs/63ee/11815322/f797184a890a/JHA2-6-e70002-g009.jpg
https://cdn.ncbi.nlm.nih.gov/pmc/blobs/63ee/11815322/d2970a16a7cd/JHA2-6-e70002-g005.jpg
https://cdn.ncbi.nlm.nih.gov/pmc/blobs/63ee/11815322/33e4c3117463/JHA2-6-e70002-g006.jpg
https://cdn.ncbi.nlm.nih.gov/pmc/blobs/63ee/11815322/3fc7d32c8708/JHA2-6-e70002-g001.jpg
https://cdn.ncbi.nlm.nih.gov/pmc/blobs/63ee/11815322/712695e1546d/JHA2-6-e70002-g002.jpg
https://cdn.ncbi.nlm.nih.gov/pmc/blobs/63ee/11815322/74b1ff11936f/JHA2-6-e70002-g004.jpg
https://cdn.ncbi.nlm.nih.gov/pmc/blobs/63ee/11815322/15554dadc386/JHA2-6-e70002-g003.jpg
https://cdn.ncbi.nlm.nih.gov/pmc/blobs/63ee/11815322/140ad28bb0ab/JHA2-6-e70002-g008.jpg
https://cdn.ncbi.nlm.nih.gov/pmc/blobs/63ee/11815322/464daa5f5f57/JHA2-6-e70002-g007.jpg
https://cdn.ncbi.nlm.nih.gov/pmc/blobs/63ee/11815322/f797184a890a/JHA2-6-e70002-g009.jpg
https://cdn.ncbi.nlm.nih.gov/pmc/blobs/63ee/11815322/d2970a16a7cd/JHA2-6-e70002-g005.jpg
https://cdn.ncbi.nlm.nih.gov/pmc/blobs/63ee/11815322/33e4c3117463/JHA2-6-e70002-g006.jpg
https://cdn.ncbi.nlm.nih.gov/pmc/blobs/63ee/11815322/3fc7d32c8708/JHA2-6-e70002-g001.jpg
https://cdn.ncbi.nlm.nih.gov/pmc/blobs/63ee/11815322/712695e1546d/JHA2-6-e70002-g002.jpg
https://cdn.ncbi.nlm.nih.gov/pmc/blobs/63ee/11815322/74b1ff11936f/JHA2-6-e70002-g004.jpg
https://cdn.ncbi.nlm.nih.gov/pmc/blobs/63ee/11815322/15554dadc386/JHA2-6-e70002-g003.jpg
https://cdn.ncbi.nlm.nih.gov/pmc/blobs/63ee/11815322/140ad28bb0ab/JHA2-6-e70002-g008.jpg
https://cdn.ncbi.nlm.nih.gov/pmc/blobs/63ee/11815322/464daa5f5f57/JHA2-6-e70002-g007.jpg

相似文献

1
An Economic Evaluation of the TROG 99.03 Trial: Systemic Therapy After Radiotherapy in Early-Stage Follicular Lymphoma.TROG 99.03试验的经济学评估:早期滤泡性淋巴瘤放疗后的全身治疗
EJHaem. 2025 Feb 12;6(1):e70002. doi: 10.1002/jha2.70002. eCollection 2025 Feb.
2
A cost-effectiveness analysis of front-line treatment strategies in early-stage follicular lymphoma.早期滤泡性淋巴瘤一线治疗策略的成本效益分析
Leuk Lymphoma. 2021 Dec;62(14):3484-3492. doi: 10.1080/10428194.2021.1957866. Epub 2021 Jul 29.
3
[Economic analysis of rituximab in combination with cyclophosphamide, vincristine and prednisolone in the treatment of patients with advanced follicular lymphoma in Portugal].[利妥昔单抗联合环磷酰胺、长春新碱和泼尼松龙治疗葡萄牙晚期滤泡性淋巴瘤患者的经济学分析]
Acta Med Port. 2010 Nov-Dec;23(6):1025-34. Epub 2010 Dec 28.
4
Randomized Trial of Systemic Therapy After Involved-Field Radiotherapy in Patients With Early-Stage Follicular Lymphoma: TROG 99.03.早期滤泡性淋巴瘤患者受累野放疗后全身治疗的随机试验:TROG 99.03.
J Clin Oncol. 2018 Oct 10;36(29):2918-2925. doi: 10.1200/JCO.2018.77.9892. Epub 2018 Jul 5.
5
Rituximab for the first-line treatment of stage III/IV follicular non-Hodgkin's lymphoma.利妥昔单抗用于Ⅲ/Ⅳ期滤泡性非霍奇金淋巴瘤的一线治疗。
Health Technol Assess. 2009 Jun;13 Suppl 1:23-8. doi: 10.3310/hta13suppl1/04.
6
Rituximab for the first-line treatment of stage III-IV follicular lymphoma (review of Technology Appraisal No. 110): a systematic review and economic evaluation.利妥昔单抗作为 III-IV 期滤泡性淋巴瘤的一线治疗药物(对技术评估第 110 号的回顾):一项系统评价和经济评估。
Health Technol Assess. 2012;16(37):1-253, iii-iv. doi: 10.3310/hta16370.
7
Adjuvant rituximab and elevated intratumoural CD8 expression are associated with sustained disease control after radiotherapy in a randomised trial of systemic therapy in early-stage follicular lymphoma.在一项早期滤泡性淋巴瘤全身治疗的随机试验中,辅助性利妥昔单抗和肿瘤内CD8表达升高与放疗后疾病的持续控制相关。
EBioMedicine. 2024 Dec;110:105468. doi: 10.1016/j.ebiom.2024.105468. Epub 2024 Dec 3.
8
Bendamustine-rituximab: a cost-utility analysis in first-line treatment of indolent non-Hodgkin's lymphoma in England and Wales.苯达莫司汀-利妥昔单抗:在英格兰和威尔士惰性非霍奇金淋巴瘤一线治疗中的成本效用分析。
J Med Econ. 2014 Feb;17(2):111-24. doi: 10.3111/13696998.2013.873044. Epub 2014 Jan 13.
9
Economic evaluation of rituximab plus cyclophosphamide, vincristine and prednisolone for advanced follicular lymphoma.利妥昔单抗联合环磷酰胺、长春新碱和泼尼松治疗晚期滤泡性淋巴瘤的经济学评估。
Leuk Lymphoma. 2008 Feb;49(2):227-36. doi: 10.1080/10428190701769665.
10
First-line R-CVP versus R-CHOP induction immunochemotherapy for indolent lymphoma with rituximab maintenance. A multicentre, phase III randomized study by the Polish Lymphoma Research Group PLRG4.一线 R-CVP 与 R-CHOP 诱导免疫化疗联合利妥昔单抗维持治疗惰性淋巴瘤的多中心 III 期随机研究。由波兰淋巴瘤研究小组(PLRG4)进行。
Br J Haematol. 2020 Mar;188(6):898-906. doi: 10.1111/bjh.16264. Epub 2019 Dec 2.

本文引用的文献

1
Consolidated Health Economic Evaluation Reporting Standards (CHEERS) 2022 Explanation and Elaboration: A Report of the ISPOR CHEERS II Good Practices Task Force.《健康经济评估报告标准(CHEERS)》2022 年解释与详述:ISPOR CHEERS II 良好实践工作组报告。
Value Health. 2022 Jan;25(1):10-31. doi: 10.1016/j.jval.2021.10.008.
2
A cost-effectiveness analysis of front-line treatment strategies in early-stage follicular lymphoma.早期滤泡性淋巴瘤一线治疗策略的成本效益分析
Leuk Lymphoma. 2021 Dec;62(14):3484-3492. doi: 10.1080/10428194.2021.1957866. Epub 2021 Jul 29.
3
Long-term outcomes for patients with limited-stage follicular lymphoma: update of a population-based study.
局限期滤泡性淋巴瘤患者的长期预后:一项基于人群研究的更新
Blood. 2020 Aug 20;136(8):1006-1010. doi: 10.1182/blood.2019004588.
4
Outcomes of stage I/II follicular lymphoma in the PET era: an international study from the Australian Lymphoma Alliance.PET 时代 I/II 期滤泡性淋巴瘤的结局:来自澳大利亚淋巴瘤联盟的一项国际研究。
Blood Adv. 2019 Oct 8;3(19):2804-2811. doi: 10.1182/bloodadvances.2019000458.
5
Definitive radiotherapy for localized follicular lymphoma staged by F-FDG PET-CT: a collaborative study by ILROG.氟脱氧葡萄糖正电子发射断层扫描(F-FDG PET-CT)分期的局限性滤泡性淋巴瘤的根治性放疗:国际淋巴瘤放射组(ILROG)的一项合作研究。
Blood. 2019 Jan 17;133(3):237-245. doi: 10.1182/blood-2018-04-843540. Epub 2018 Nov 16.
6
Early-Stage Follicular Lymphoma: What Is the Preferred Treatment Strategy?早期滤泡性淋巴瘤:首选的治疗策略是什么?
J Clin Oncol. 2018 Oct 10;36(29):2904-2906. doi: 10.1200/JCO.2018.79.3075. Epub 2018 Aug 28.
7
Randomized Trial of Systemic Therapy After Involved-Field Radiotherapy in Patients With Early-Stage Follicular Lymphoma: TROG 99.03.早期滤泡性淋巴瘤患者受累野放疗后全身治疗的随机试验:TROG 99.03.
J Clin Oncol. 2018 Oct 10;36(29):2918-2925. doi: 10.1200/JCO.2018.77.9892. Epub 2018 Jul 5.
8
Financial costs associated with monopolies on biologic medicines in Australia.澳大利亚生物药品垄断带来的财务成本。
Aust Health Rev. 2019 Feb;43(1):36-42. doi: 10.1071/AH17031.
9
The cost-effectiveness of immediate treatment or watch and wait with deferred chemotherapy for advanced asymptomatic follicular lymphoma.晚期无症状滤泡性淋巴瘤立即治疗或观察等待并延迟化疗的成本效益
Br J Haematol. 2018 Jan;180(1):52-59. doi: 10.1111/bjh.14990. Epub 2017 Oct 26.
10
Radiotherapy Compared to Other Strategies in the Treatment of Stage I/II Follicular Lymphoma: A Study of 404 Patients with a Median Follow-Up of 15 Years.放射治疗与其他治疗策略在Ⅰ/Ⅱ期滤泡性淋巴瘤治疗中的比较:一项对404例患者的研究,中位随访时间为15年。
PLoS One. 2015 Jul 6;10(7):e0131158. doi: 10.1371/journal.pone.0131158. eCollection 2015.