Suppr超能文献

发育迟缓儿童洗牙后唾液微生物群特征发生变化。

Salivary microbiome profile shifts after scaling in stunted children.

作者信息

Octaricha Tasha, Ilmiawati Cimi, Kasuma Nila

机构信息

Master Program of Biomedical Sciences, Faculty of Medicine, Universitas Andalas, Padang, Indonesia.

Department of Oral Biology, Faculty of Dentistry, Universitas Andalas, Padang, Indonesia.

出版信息

BMC Res Notes. 2025 Feb 16;18(1):69. doi: 10.1186/s13104-025-07147-w.

Abstract

OBJECTIVE

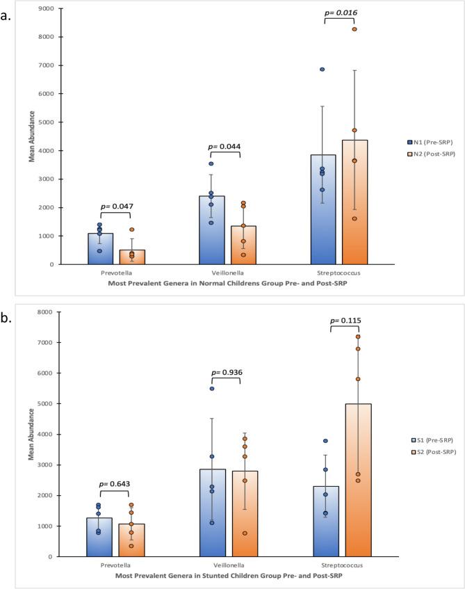
Stunting is a condition of impaired growth in children resulting from chronic malnutrition, characterized by shorter stature compared to peers of the same age. This condition leads to salivary gland dysfunction, which triggers oral dysbiosis and increases the risk of periodontal disease in children. Scaling and root planing (SRP) is the gold standard treatment for periodontal disease, aimed at reducing pathogenic bacterial populations. This study aimed to evaluate the effect of SRP treatment on the oral microbiome profile in the saliva of stunted children. A pre- and post-test study design was employed, involving 10 elementary school children divided into two groups: normal children and stunted children. Each participant underwent scaling, with saliva samples collected before and after the procedure. The oral microbiome profile was analyzed using next-generation sequencing, generating taxonomic data at the phylum, genus, and species level.

RESULT

Statistical analysis revealed significant changes in the gingival index, a clinical parameter, in the normal group but not in the stunted group. Scaling resulted in shifts in the microbiome profile in both groups, with the dominant phyla identified as Proteobacteria, Bacteroidota, and Firmicutes. Scaling procedure alters the oral microbiome profile in stunted children without affecting the clinical parameter.

摘要

目的

发育迟缓是一种因慢性营养不良导致儿童生长受损的状况,其特征是与同龄同龄人相比身材更矮小。这种状况会导致唾液腺功能障碍,进而引发口腔生态失调,并增加儿童患牙周病的风险。龈上洁治术和根面平整术(SRP)是牙周病的金标准治疗方法,旨在减少病原菌数量。本研究旨在评估SRP治疗对发育迟缓儿童唾液中口腔微生物群谱的影响。采用前后测试研究设计,纳入10名小学生,分为两组:正常儿童和发育迟缓儿童。每位参与者均接受洁治术,并在手术前后采集唾液样本。使用下一代测序技术分析口腔微生物群谱,在门、属和种水平生成分类学数据。

结果

统计分析显示,正常组的临床参数牙龈指数有显著变化,而发育迟缓组则无。洁治术导致两组微生物群谱发生变化,主要菌门为变形菌门、拟杆菌门和厚壁菌门。洁治术可改变发育迟缓儿童的口腔微生物群谱,但不影响临床参数。

https://cdn.ncbi.nlm.nih.gov/pmc/blobs/02ca/11830171/12b8c36fa9db/13104_2025_7147_Fig1_HTML.jpg

文献AI研究员

20分钟写一篇综述,助力文献阅读效率提升50倍。

立即体验

用中文搜PubMed

大模型驱动的PubMed中文搜索引擎

马上搜索

文档翻译

学术文献翻译模型,支持多种主流文档格式。

立即体验