• 文献检索
  • 文档翻译
  • 深度研究
  • 学术资讯
  • Suppr Zotero 插件Zotero 插件
  • 邀请有礼
  • 套餐&价格
  • 历史记录
应用&插件
Suppr Zotero 插件Zotero 插件浏览器插件Mac 客户端Windows 客户端微信小程序
定价
高级版会员购买积分包购买API积分包
服务
文献检索文档翻译深度研究API 文档MCP 服务
关于我们
关于 Suppr公司介绍联系我们用户协议隐私条款
关注我们

Suppr 超能文献

核心技术专利:CN118964589B侵权必究
粤ICP备2023148730 号-1Suppr @ 2026

文献检索

告别复杂PubMed语法,用中文像聊天一样搜索,搜遍4000万医学文献。AI智能推荐,让科研检索更轻松。

立即免费搜索

文件翻译

保留排版,准确专业,支持PDF/Word/PPT等文件格式,支持 12+语言互译。

免费翻译文档

深度研究

AI帮你快速写综述,25分钟生成高质量综述,智能提取关键信息,辅助科研写作。

立即免费体验

[一种miRNA特征对肺癌远处转移的预测价值]

[Predictive Value of A miRNA Signature for Distant Metastasis in Lung Cancer].

作者信息

Cong Jingjing, Wang Anna, Wang Yingjia, Li Xinge, Pi Junjian, Liu Kaijing, Zhang Hongjie, Yan Xiaoyan, Li Hongmei

机构信息

Department of Oncology, The Affiliated Hospital of Qingdao University, Qingdao 266000, China.

College of Basic Medical Sciences, Shandong First Medical University, Jinan 250117, China.

出版信息

Zhongguo Fei Ai Za Zhi. 2024 Dec 20;27(12):919-930. doi: 10.3779/j.issn.1009-3419.2024.102.43.

DOI:10.3779/j.issn.1009-3419.2024.102.43
PMID:39962847
原文链接:https://pmc.ncbi.nlm.nih.gov/articles/PMC11839496/
Abstract

BACKGROUND

Lung cancer represents the main cause of cancer-related deaths worldwide, and non-small cell lung cancer (NSCLC) is the most main subtype. More than half of NSCLC patients have already developed distant metastasis (DM) at the time of diagnosis and have a poor prognosis. Therefore, it is necessary to find new biomarkers for predicting NSCLC DM in order to guide subsequent treatment and thus improve the prognosis of NSCLC patients. Numerous studies have shown that microRNAs (miRNAs) are abnormally expressed in lung cancer tissues and play an important role in tumorigenesis and progression. The aim of this study is to identify differentially expressed miRNAs in lung adenocarcinoma tissues with DM group compared to those with non-distant metastasis (NDM) group, and to construct a miRNA signature for predicting DM of lung adenocarcinoma.

METHODS

We first obtained miRNA and clinical data for patients with lung adenocarcinoma from The Cancer Genome Atlas (TCGA) database. Subsequently, bioinformatics analysis, which included different R packages, Kaplan-Meier analysis, receiver operating characteristic (ROC) curve, and a range of online analysis tools, was performed to analyze the data.

RESULTS

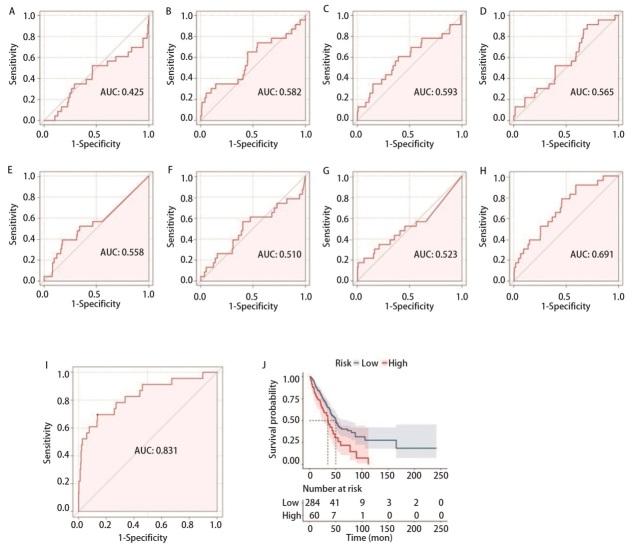
A total of 12 differentially expressed miRNAs were identified between the DM and NDM groups, and 8 miRNAs (miR-377-5p, miR-381-5p, miR-490-5p, miR-519d-5p, miR-3136-5p, miR-320e, miR-2355-5p, miR-6784-5p) were screened for constructing a miRNA signature. The efficacy of this miRNA signature in predicting DM was good with an area under the curve (AUC) of 0.831. Logistic regression analysis showed that this miRNA signature was an independent risk factor for DM of lung adenocarcinoma. Next, target genes of the eight miRNAs were predicted, and enrichment analysis showed that these target genes were enriched in a variety of pathways, including pathways in cancer, herpes simplex virus I infection, PI3K-Akt pathway, MAPK pathway, Ras pathway, etc. CONCLUSIONS: This miRNA signature has good efficacy in predicting DM of lung adenocarcinoma and has the potential to be a predictor of DM of lung adenocarcinoma.

摘要

背景

肺癌是全球癌症相关死亡的主要原因,非小细胞肺癌(NSCLC)是最主要的亚型。超过一半的NSCLC患者在诊断时已发生远处转移(DM),预后较差。因此,有必要寻找预测NSCLC远处转移的新生物标志物,以指导后续治疗,从而改善NSCLC患者的预后。大量研究表明,微小RNA(miRNA)在肺癌组织中异常表达,在肿瘤发生和进展中起重要作用。本研究的目的是鉴定有远处转移(DM)的肺腺癌组织与无远处转移(NDM)的肺腺癌组织中差异表达的miRNA,并构建一个预测肺腺癌远处转移的miRNA特征。

方法

我们首先从癌症基因组图谱(TCGA)数据库中获取肺腺癌患者的miRNA和临床数据。随后,进行了生物信息学分析,包括不同的R包、Kaplan-Meier分析、受试者工作特征(ROC)曲线以及一系列在线分析工具,以分析数据。

结果

在DM组和NDM组之间共鉴定出12个差异表达的miRNA,并筛选出8个miRNA(miR-377-5p、miR-381-5p、miR-490-5p、miR-519d-5p、miR-3136-5p、miR-320e、miR-2355-5p、miR-6784-5p)用于构建miRNA特征。该miRNA特征预测DM的效能良好,曲线下面积(AUC)为0.831。逻辑回归分析表明,该miRNA特征是肺腺癌远处转移的独立危险因素。接下来,预测了这8个miRNA的靶基因,富集分析表明这些靶基因富集在多种途径中,包括癌症途径、单纯疱疹病毒I感染途径、PI3K-Akt途径、MAPK途径、Ras途径等。结论:该miRNA特征在预测肺腺癌远处转移方面具有良好的效能,有潜力成为肺腺癌远处转移的预测指标。

https://cdn.ncbi.nlm.nih.gov/pmc/blobs/5df7/11839496/57881861357e/zgfazz-27-12-919-img_8.jpg
https://cdn.ncbi.nlm.nih.gov/pmc/blobs/5df7/11839496/63d84fb49794/zgfazz-27-12-919-img_1.jpg
https://cdn.ncbi.nlm.nih.gov/pmc/blobs/5df7/11839496/d339c03c8422/zgfazz-27-12-919-img_2.jpg
https://cdn.ncbi.nlm.nih.gov/pmc/blobs/5df7/11839496/a626da299fd3/zgfazz-27-12-919-img_3.jpg
https://cdn.ncbi.nlm.nih.gov/pmc/blobs/5df7/11839496/177c91cb621e/zgfazz-27-12-919-img_4.jpg
https://cdn.ncbi.nlm.nih.gov/pmc/blobs/5df7/11839496/78254d4cdea5/zgfazz-27-12-919-img_5.jpg
https://cdn.ncbi.nlm.nih.gov/pmc/blobs/5df7/11839496/6d32003ed9f3/zgfazz-27-12-919-img_6.jpg
https://cdn.ncbi.nlm.nih.gov/pmc/blobs/5df7/11839496/f45ab538557d/zgfazz-27-12-919-img_7.jpg
https://cdn.ncbi.nlm.nih.gov/pmc/blobs/5df7/11839496/57881861357e/zgfazz-27-12-919-img_8.jpg
https://cdn.ncbi.nlm.nih.gov/pmc/blobs/5df7/11839496/63d84fb49794/zgfazz-27-12-919-img_1.jpg
https://cdn.ncbi.nlm.nih.gov/pmc/blobs/5df7/11839496/d339c03c8422/zgfazz-27-12-919-img_2.jpg
https://cdn.ncbi.nlm.nih.gov/pmc/blobs/5df7/11839496/a626da299fd3/zgfazz-27-12-919-img_3.jpg
https://cdn.ncbi.nlm.nih.gov/pmc/blobs/5df7/11839496/177c91cb621e/zgfazz-27-12-919-img_4.jpg
https://cdn.ncbi.nlm.nih.gov/pmc/blobs/5df7/11839496/78254d4cdea5/zgfazz-27-12-919-img_5.jpg
https://cdn.ncbi.nlm.nih.gov/pmc/blobs/5df7/11839496/6d32003ed9f3/zgfazz-27-12-919-img_6.jpg
https://cdn.ncbi.nlm.nih.gov/pmc/blobs/5df7/11839496/f45ab538557d/zgfazz-27-12-919-img_7.jpg
https://cdn.ncbi.nlm.nih.gov/pmc/blobs/5df7/11839496/57881861357e/zgfazz-27-12-919-img_8.jpg

相似文献

1
[Predictive Value of A miRNA Signature for Distant Metastasis in Lung Cancer].[一种miRNA特征对肺癌远处转移的预测价值]
Zhongguo Fei Ai Za Zhi. 2024 Dec 20;27(12):919-930. doi: 10.3779/j.issn.1009-3419.2024.102.43.
2
Differential expression profiles of microRNAs as potential biomarkers for the early diagnosis of lung cancer.作为肺癌早期诊断潜在生物标志物的微小RNA差异表达谱
Oncol Rep. 2017 Jun;37(6):3543-3553. doi: 10.3892/or.2017.5612. Epub 2017 Apr 28.
3
Non-small cell lung cancer associated microRNA expression signature: integrated bioinformatics analysis, validation and clinical significance.非小细胞肺癌相关的微小RNA表达特征:综合生物信息学分析、验证及临床意义
Oncotarget. 2017 Apr 11;8(15):24564-24578. doi: 10.18632/oncotarget.15596.
4
Using biological information to analyze potential miRNA-mRNA regulatory networks in the plasma of patients with non-small cell lung cancer.利用生物信息学分析非小细胞肺癌患者血浆中潜在的 miRNA-mRNA 调控网络。
BMC Cancer. 2022 Mar 21;22(1):299. doi: 10.1186/s12885-022-09281-1.
5
Identification of key microRNAs and hub genes in non-small-cell lung cancer using integrative bioinformatics and functional analyses.采用整合生物信息学和功能分析方法鉴定非小细胞肺癌中的关键 microRNAs 和枢纽基因。
J Cell Biochem. 2020 Mar;121(3):2690-2703. doi: 10.1002/jcb.29489. Epub 2019 Nov 6.
6
Plasma miRNAs in predicting radiosensitivity in non-small cell lung cancer.血浆微小RNA在预测非小细胞肺癌放射敏感性中的作用
Tumour Biol. 2016 Sep;37(9):11927-11936. doi: 10.1007/s13277-016-5052-8. Epub 2016 Apr 13.
7
Serum miR-1228-3p and miR-181a-5p as Noninvasive Biomarkers for Non-Small Cell Lung Cancer Diagnosis and Prognosis.血清 miR-1228-3p 和 miR-181a-5p 作为非小细胞肺癌诊断和预后的非侵入性生物标志物。
Biomed Res Int. 2020 Jul 6;2020:9601876. doi: 10.1155/2020/9601876. eCollection 2020.
8
Microarray data analysis on gene and miRNA expression to identify biomarkers in non-small cell lung cancer.基因和 miRNA 表达的微阵列数据分析,以鉴定非小细胞肺癌的生物标志物。
BMC Cancer. 2020 Apr 16;20(1):329. doi: 10.1186/s12885-020-06829-x.
9
Identification of a 7-miRNA signature for predicting the prognosis of patients with lung adenocarcinoma.鉴定一个 7 个 miRNA 标志物的签名,用于预测肺腺癌患者的预后。
Exp Biol Med (Maywood). 2022 Apr;247(8):641-657. doi: 10.1177/15353702211067450. Epub 2022 Jan 22.
10
Circulating miRNA panels as a novel non-invasive diagnostic, prognostic, and potential predictive biomarkers in non-small cell lung cancer (NSCLC).循环 miRNA 谱作为一种新型的非侵入性诊断、预后和潜在预测生物标志物在非小细胞肺癌(NSCLC)中的应用。
Br J Cancer. 2024 Nov;131(8):1350-1362. doi: 10.1038/s41416-024-02831-3. Epub 2024 Aug 30.

本文引用的文献

1
Lung adenocarcinoma size as a predictor of distant metastasis: A CT scan-based measurement.肺腺癌大小作为远处转移的预测指标:基于CT扫描的测量
Narra J. 2024 Aug;4(2):e1024. doi: 10.52225/narra.v4i2.1024. Epub 2024 Aug 31.
2
Advances in lymphatic metastasis of non-small cell lung cancer.非小细胞肺癌淋巴转移的研究进展。
Cell Commun Signal. 2024 Apr 2;22(1):201. doi: 10.1186/s12964-024-01574-1.
3
Clinical significance of ribosome production factor 2 homolog in hepatocellular carcinoma.核糖体生成因子2同源物在肝细胞癌中的临床意义
Clin Res Hepatol Gastroenterol. 2024 Mar;48(3):102289. doi: 10.1016/j.clinre.2024.102289. Epub 2024 Feb 1.
4
UTP23 Is a Promising Prognostic Biomarker and Is Associated with Immune Infiltration in Breast Cancer.UTP23 是一种有前途的预后生物标志物,与乳腺癌中的免疫浸润有关。
Crit Rev Eukaryot Gene Expr. 2024;34(3):1-15. doi: 10.1615/CritRevEukaryotGeneExpr.2023048311.
5
Comprehensive bioinformatics analysis of a RBM family-based prognostic signature with experiment validation in hepatocellular carcinoma.基于 RBM 家族的预后特征的综合生物信息学分析,并在肝细胞癌中进行实验验证。
J Cancer Res Clin Oncol. 2023 Oct;149(13):11891-11905. doi: 10.1007/s00432-023-05084-4. Epub 2023 Jul 6.
6
Bioinformatics analysis illustrates the functions of miR-377-5p in cervical cancer.生物信息学分析表明 miR-377-5p 在宫颈癌中的作用。
Biotechnol Genet Eng Rev. 2024 Dec;40(4):4238-4249. doi: 10.1080/02648725.2023.2208453. Epub 2023 May 5.
7
Overexpression of RBM34 Promotes Tumor Progression and Correlates with Poor Prognosis of Hepatocellular Carcinoma.RBM34的过表达促进肿瘤进展并与肝细胞癌的不良预后相关。
J Clin Transl Hepatol. 2023 Apr 28;11(2):369-381. doi: 10.14218/JCTH.2022.00166. Epub 2022 Jul 13.
8
miRNA: A Promising Therapeutic Target in Cancer.miRNA:癌症治疗的新靶点。
Int J Mol Sci. 2022 Sep 29;23(19):11502. doi: 10.3390/ijms231911502.
9
Using bioinformatics approaches to identify survival-related oncomiRs as potential targets of miRNA-based treatments for lung adenocarcinoma.运用生物信息学方法鉴定与生存相关的癌 miRNA,作为基于 miRNA 的肺腺癌治疗的潜在靶点。
Comput Struct Biotechnol J. 2022 Aug 22;20:4626-4635. doi: 10.1016/j.csbj.2022.08.042. eCollection 2022.
10
Non-small cell lung cancer in China.中国的非小细胞肺癌。
Cancer Commun (Lond). 2022 Oct;42(10):937-970. doi: 10.1002/cac2.12359. Epub 2022 Sep 8.