Cui Shuang, Dasgupta Subrata, Yagi Sota, Kimura Madoka, Furukawa Ryutaro, Tagami Shunsuke, Akanuma Satoshi
Faculty of Human Sciences, Waseda University, Tokorozawa, Japan.
RIKEN Center for Biosystems Dynamics Research, Yokohama, Japan.
Protein Sci. 2025 Mar;34(3):e70071. doi: 10.1002/pro.70071.
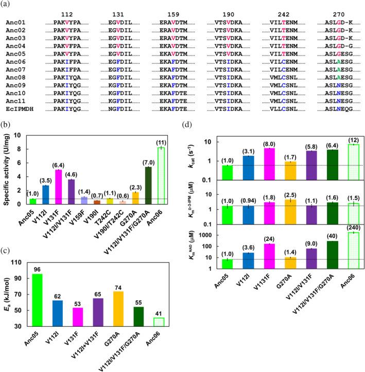
For billions of years, enzymes have evolved in response to the changing environments in which their host organisms lived. Various lines of evidence suggest the earliest primitive organisms inhabited high-temperature environments and possessed enzymes adapted to such conditions. Consequently, extant mesophilic and psychrophilic enzymes are believed to have adapted to lower temperatures during the evolutionary process. Herein, we analyzed this low-temperature adaptation using ancestral sequence reconstruction. Previously, we generated the phylogenetic tree of 3-isopropylmalate dehydrogenases (IPMDHs) and reconstructed the sequence of the last bacterial common ancestor. The corresponding ancestral enzyme displayed high thermostability and catalytic activity at elevated temperatures but moderate activity at low temperatures (Furukawa et al., Sci. Rep., 2020;10:15493). Here, to identify amino acid residues that are responsible for the low-temperature adaptation, we reconstructed and characterized all 11 evolutionary intermediates that sequentially connect the last bacterial common ancestor with extant mesophilic IPMDH from Escherichia coli. A remarkable change in catalytic properties, from those suited for high reaction temperatures to those adapted for low temperatures, occurred between two consecutive evolutionary intermediates. Using a combination of sequence comparisons between ancestral proteins and site-directed mutagenesis analyses, three key amino acid substitutions were identified that enhance low-temperature catalytic activity. Intriguingly, amino acid substitutions that had the most significant impact on activity at low temperatures displayed no discernable effect on thermostability. However, these substitutions markedly reduced the activation energy for catalysis, thereby improving low-temperature activity. The results were further investigated by molecular dynamics simulations of the predicted structures of the ancestral enzymes. Our findings exemplify how ancestral sequence reconstruction can identify residues crucial for adaptation to low temperatures.
数十亿年来,酶随着其宿主生物所处不断变化的环境而进化。各种证据表明,最早的原始生物栖息在高温环境中,并拥有适应此类条件的酶。因此,现存的嗜温酶和嗜冷酶被认为是在进化过程中适应了较低温度。在此,我们使用祖先序列重建分析了这种低温适应性。此前,我们构建了3-异丙基苹果酸脱氢酶(IPMDHs)的系统发育树,并重建了最后一个细菌共同祖先的序列。相应的祖先酶在高温下表现出高耐热性和催化活性,但在低温下活性适中(古川等人,《科学报告》,2020年;10:15493)。在此,为了确定负责低温适应的氨基酸残基,我们重建并表征了将最后一个细菌共同祖先与来自大肠杆菌的现存嗜温IPMDH依次连接起来的所有11个进化中间体。在两个连续的进化中间体之间,催化特性发生了显著变化,从适合高反应温度的特性转变为适应低温的特性。通过结合祖先蛋白之间的序列比较和定点诱变分析,确定了三个增强低温催化活性的关键氨基酸替换。有趣的是,对低温活性影响最大的氨基酸替换对耐热性没有明显影响。然而,这些替换显著降低了催化的活化能,从而提高了低温活性。通过对祖先酶预测结构的分子动力学模拟进一步研究了这些结果。我们的发现例证了祖先序列重建如何能够识别对适应低温至关重要的残基。