Suppr超能文献

年龄和全身炎症对牙周炎患者牙周炎严重程度与血压之间关联的影响。

Effect of age and systemic inflammation on the association between severity of periodontitis and blood pressure in periodontitis patients.

作者信息

Yang Hongjia, Qin Yixuan, Geng Jiaqi, Qu Jinyue, Cheng Qian, Li Kuibao, Zhang Dongxue

机构信息

Department of Stomatology, Beijing Chao-Yang Hospital, Capital Medical University, 8 Gongti South Road, Chaoyang District, Beijing, 100020, China.

Department of Stomatology, Beijing Tongzhou Ciqu Community Health Service Center, Beijing, 100020, China.

出版信息

BMC Oral Health. 2025 Feb 21;25(1):273. doi: 10.1186/s12903-025-05665-4.

Abstract

BACKGROUND

Periodontitis is a periodontal inflammatory disease closely related to hypertension. However, the role of age and systemic inflammation is unclear. This study examined the effect of age and systemic inflammation on the association between severity of periodontitis and blood pressure in periodontitis patients.

METHODS

This cross-sectional clinical study included periodontitis patients treated at Beijing Chaoyang Hospital, Capital Medical University from January 2020 to July 2023. Patients with periodontitis were included using inclusion and exclusion criteria, and data on basic information, blood pressure, periodontal examination indicators, and biochemical examination indicators were collected. Patients were grouped by blood pressure, and differences in basic information, blood indexes, and periodontal examination indexes between the two groups were compared by independent sample T-test. With PBOP as independent variables, systolic blood pressure (SBP) and diastolic blood pressure as dependent variables, and several indexes as covariables, the relationship between them was studied by linear regression. The interaction was used to explore the relationship between age and systemic inflammation in periodontitis and hypertension.

RESULTS

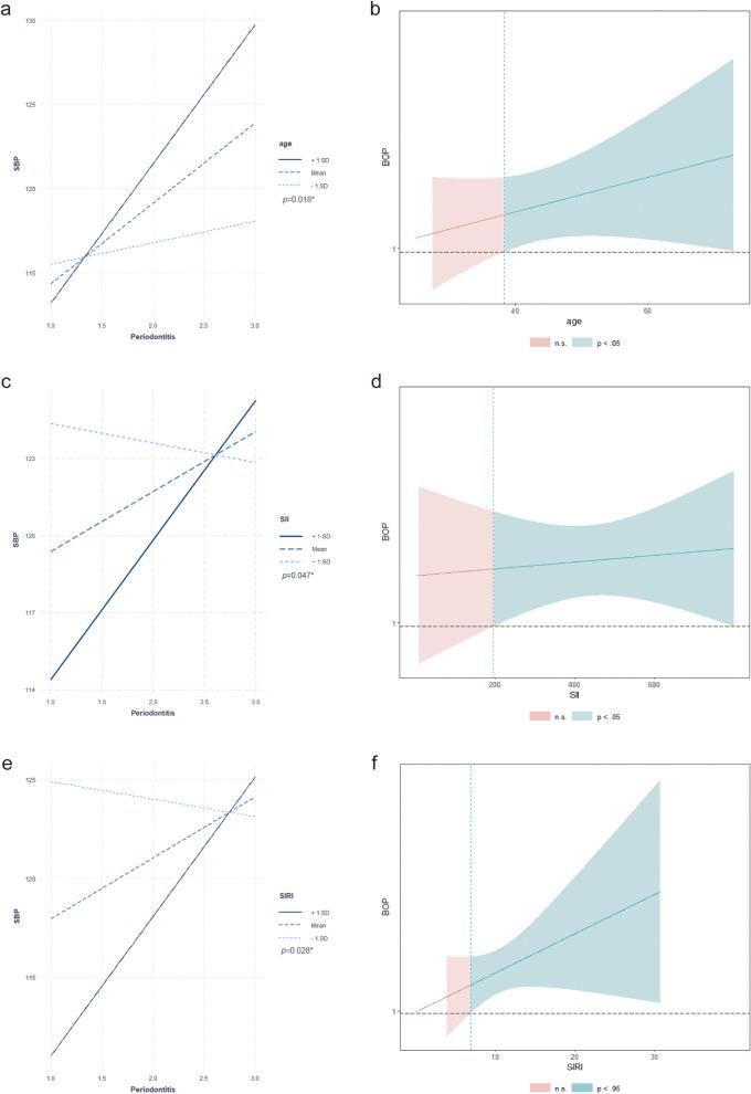
A total of 144 patients with periodontitis were enrolled. In fully adjusted analyses, the percentage of site with bleeding on probing (PBOP) was significantly associated with SBP (B = 10.08, p = 0.027) in the overall group. In patients 50 years or older, but not in those younger than 50, PBOP remained significantly associated with SBP (p = 0.018 for interaction). The strength of association between PBOP and SBP was greater in patients with higher systemic immune-inflammation index. The regression coefficients of PBOP in the systemic immune-inflammation index ≥ 400 and < 400 groups were 16.61 (95% CI, 3.32-29.90; p = 0.015) and 13.69 (95% CI, 1.15-26.23; p = 0.033), respectively (p = 0.047 for interaction). Similar results were observed in the systemic inflammation response index ≥ 9 and < 9 groups (B = 17.04 (95% CI, 2.66-31.42, p = 0.021) and 13.98 (95% CI, 1.94-26.01, p = 0.024 respectively; p = 0.028 for interaction).

CONCLUSIONS

This study indicates a significant association between the severity of periodontitis and SBP, which was modified by age and systemic inflammation.

摘要

背景

牙周炎是一种与高血压密切相关的牙周炎症性疾病。然而,年龄和全身炎症的作用尚不清楚。本研究探讨了年龄和全身炎症对牙周炎患者牙周炎严重程度与血压之间关联的影响。

方法

本横断面临床研究纳入了2020年1月至2023年7月在首都医科大学附属北京朝阳医院接受治疗的牙周炎患者。根据纳入和排除标准纳入牙周炎患者,并收集基本信息、血压、牙周检查指标和生化检查指标的数据。按血压对患者进行分组,采用独立样本t检验比较两组患者基本信息、血液指标和牙周检查指标的差异。以探诊出血位点百分比(PBOP)为自变量,收缩压(SBP)和舒张压为因变量,并将多个指标作为协变量,采用线性回归研究它们之间的关系。采用交互作用分析探讨牙周炎患者年龄与全身炎症在高血压中的关系。

结果

共纳入144例牙周炎患者。在完全调整分析中,总体组中探诊出血位点百分比(PBOP)与收缩压显著相关(B = 10.08,p = 0.027)。在50岁及以上患者中,PBOP与收缩压仍显著相关,但在50岁以下患者中并非如此(交互作用p = 0.018)。全身免疫炎症指数较高的患者中,PBOP与收缩压之间的关联强度更大。全身免疫炎症指数≥400组和<400组中PBOP的回归系数分别为16.61(95%CI,3.32 - 29.90;p = 0.015)和13.69(95%CI,1.15 - 26.23;p = 0.033)(交互作用p = 0.047)。全身炎症反应指数≥9组和<9组中也观察到类似结果(B分别为17.04(95%CI,2.66 - 31.42,p = 0.021)和13.98(95%CI,1.94 - 26.01,p = 0.024);交互作用p = 0.028)。

结论

本研究表明牙周炎严重程度与收缩压之间存在显著关联,年龄和全身炎症对其有影响。

https://cdn.ncbi.nlm.nih.gov/pmc/blobs/1d4b/11843814/981e451b0b8d/12903_2025_5665_Fig1_HTML.jpg

文献AI研究员

20分钟写一篇综述,助力文献阅读效率提升50倍。

立即体验

用中文搜PubMed

大模型驱动的PubMed中文搜索引擎

马上搜索

文档翻译

学术文献翻译模型,支持多种主流文档格式。

立即体验