Zhang Jun, Dai Limin
School of Mechanical and Electrical Engineering, Jiaxing Nanhu University, 572 Yuexiu South Road, Jiaxing 314001, China.
School of Agricultural Engineering, Jiangsu University, 301 Xuefu Road, Zhenjiang 212013, China.
Foods. 2025 Feb 15;14(4):659. doi: 10.3390/foods14040659.
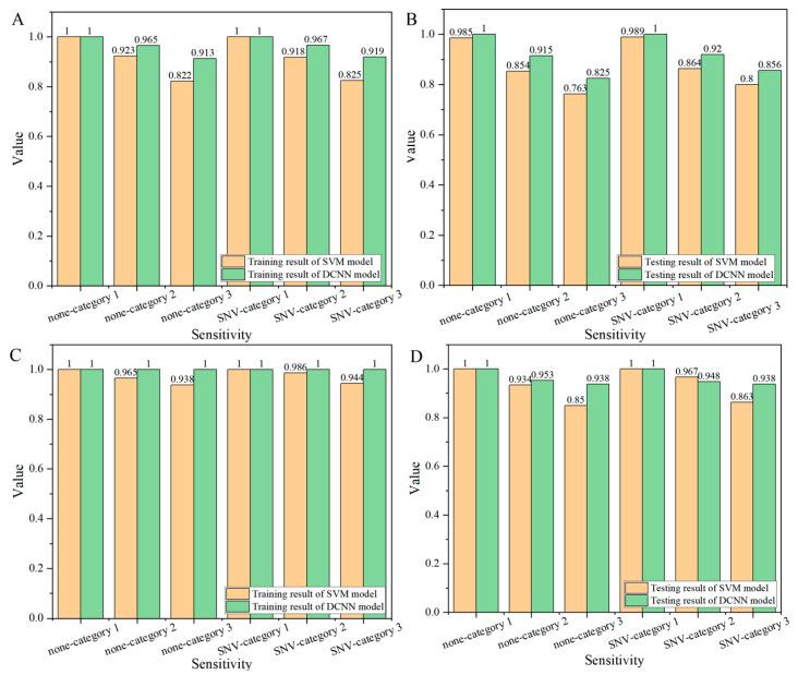
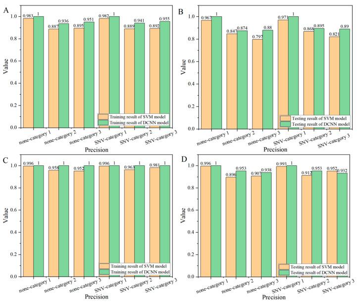
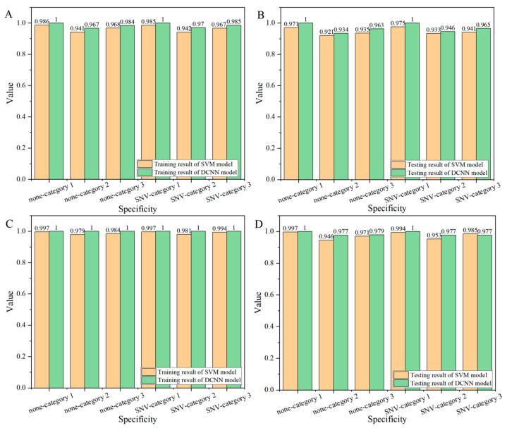
In this paper, the feasibility of identifying freezing damage on the endosperm side and embryo side of single corn seeds was studied by combining hyperspectral imaging technology and the deep convolutional neural network (DCNN) method. Firstly, hyperspectral image data of the endosperm and embryo side of three freezing-damage categories of corn seeds were collected, and the average spectra of the endosperm part and embryo part were obtained with the range of 450-979 nm. After the spectral data were pre-processed by non-pretreatment or standard normal variation (SNV) pretreatment, a support vector machine (SVM) and a DCNN model were established for freezing-damage identification. Finally, multiple evaluation indexes (including accuracy, sensitivity, specificity, and precision) were used to comprehensively evaluate the performance of the SVM and DCNN models in the whole waveband. The results showed that the DCNN model obtained better performance in accuracy, sensitivity, specificity, and accuracy. The values of each category, especially for the category-2 and category-3 testing sets of the SVM model, were lower than those of the DCNN model. The classification results of the embryo-side corn seeds were better than those of the endosperm side. The accuracy value of the testing set of the DCNN model on the embryo side was higher than 96.7%, while the accuracy value of the DCNN model on the endosperm side was lower than 93.8%. The specificity values of the SVM and DCNN models were both higher than 94%. In addition, the sensitivity and precision values of the category-2 testing set of the embryo-side DCNN model increased by at least 2.8% and 4.8%. The sensitivity value of the category-3 testing set of the DCNN model was improved by at least 8.2% and 4.4%. These results of the embryo side of the corn seed showed significant improvement in the training and testing set. This study proved that the DCNN model can accurately and quickly identify single freezing-damage corn seeds, which provided a theoretical basis for constructing an end-to-end recognition and classification model of frozen corn seeds.
本文结合高光谱成像技术和深度卷积神经网络(DCNN)方法,研究了识别单个玉米种子胚乳侧和胚侧冻害的可行性。首先,采集了三类冻害玉米种子胚乳侧和胚侧的高光谱图像数据,获得了450 - 979 nm范围内胚乳部分和胚部分的平均光谱。对光谱数据进行无预处理或标准正态变量(SNV)预处理后,建立了支持向量机(SVM)和DCNN模型用于冻害识别。最后,使用多个评价指标(包括准确率、灵敏度、特异性和精确率)综合评价SVM和DCNN模型在全波段的性能。结果表明,DCNN模型在准确率、灵敏度、特异性和精确率方面表现更好。各类别的值,特别是SVM模型的2类和3类测试集的值,低于DCNN模型。玉米种子胚侧的分类结果优于胚乳侧。DCNN模型在胚侧测试集的准确率值高于96.7%,而在胚乳侧DCNN模型的准确率值低于93.8%。SVM和DCNN模型的特异性值均高于94%。此外,胚侧DCNN模型2类测试集的灵敏度和精确率值至少提高了2.8%和4.8%。DCNN模型3类测试集的灵敏度值至少提高了8.2%和4.4%。玉米种子胚侧的这些结果在训练集和测试集中均有显著改善。本研究证明,DCNN模型能够准确快速地识别单个冻害玉米种子,为构建冻害玉米种子的端到端识别分类模型提供了理论依据。