Suppr超能文献

果皮提取物在冷藏期间的计算机模拟、体外及发酵牛奶中的抗作用评估

Assessment of the Anti- Effect of Peel Extract In Silico, In Vitro, and in Fermented Cow Milk During Cold Storage.

作者信息

Mkadem Wafa, Belguith Khaoula, Indio Valentina, Oussaief Olfa, Guluzade Gulnara, ElHatmi Halima, Serraino Andrea, De Cesare Alessandra, Boudhrioua Nourhene

机构信息

Laboratory of Physiopathology, Alimentation and Biomolecules (LR17ES03), Higher Institute of Biotechnology Sidi Thabet, University of Manouba, Ariana BP-66, Manouba 2020, Tunisia.

Department of Veterinary Medical Sciences, Alma Mater Studiorum-University of Bologna, Via Tolara di Sopra 50, 40064 Ozzano dell'Emilia, BO, Italy.

出版信息

Foods. 2025 Feb 15;14(4):661. doi: 10.3390/foods14040661.

Abstract

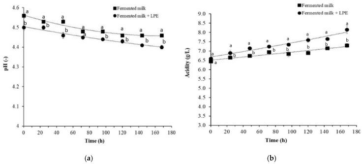
In this study, the antimicrobial effect of peel extract against was analyzed in silico, tested in vitro, and validated in fermented cow milk during cold storage. The in silico analysis revealed that 4,5-di-O-caffeoyquinic acid interacts with proteins involved in colonization and intracellular survival. The in vitro experiments demonstrated that the anti- activity of peel extract is primarily attributed to limonene and phenolic compounds. In fermented milk stored at 4 °C for 7 days, the addition of peel extract resulted in a 2 Log reduction of compared to the control. Using the Baranyi and Roberts model, a significant decrease in the maximum growth rate (-0.021 h) and the concentration of from 5.95 to 3.67 log CFU/mL was observed in fermented milk supplemented with a 2×MIC level of peel extract during storage at 4 °C. The findings from all three approaches highlighted that the inhibitory effect of peel extract against is primarily due to chlorogenic acid derivatives, especially 4,5-di-O-caffeoyquinic acid, and limonene. Beyond its antimicrobial properties, the supplementation of fermented milk with peel extract also enhances the milk antioxidant capacity and total organic acids content.

摘要

在本研究中,对果皮提取物对[具体微生物名称未给出]的抗菌作用进行了计算机模拟分析、体外测试,并在冷藏期间的发酵牛奶中进行了验证。计算机模拟分析表明,4,5-二-O-咖啡酰奎宁酸与参与定植和细胞内存活的蛋白质相互作用。体外实验表明,果皮提取物的抗[具体微生物名称未给出]活性主要归因于柠檬烯和酚类化合物。在4℃下储存7天的发酵牛奶中,添加果皮提取物导致[具体微生物名称未给出]的数量比对照组减少了2个对数级。使用巴拉尼和罗伯茨模型,在4℃储存期间,添加2倍最低抑菌浓度水平果皮提取物的发酵牛奶中,观察到最大生长速率显著降低(-0.021 h),[具体微生物名称未给出]的浓度从5.95 log CFU/mL降至3.67 log CFU/mL。这三种方法的研究结果都突出表明,果皮提取物对[具体微生物名称未给出]的抑制作用主要归因于绿原酸衍生物,尤其是4,5-二-O-咖啡酰奎宁酸和柠檬烯。除了其抗菌特性外,在发酵牛奶中添加果皮提取物还能提高牛奶的抗氧化能力和总有机酸含量。

https://cdn.ncbi.nlm.nih.gov/pmc/blobs/2be8/11854709/3d34501902f2/foods-14-00661-g001.jpg

文献AI研究员

20分钟写一篇综述,助力文献阅读效率提升50倍。

立即体验

用中文搜PubMed

大模型驱动的PubMed中文搜索引擎

马上搜索

文档翻译

学术文献翻译模型,支持多种主流文档格式。

立即体验