Suppr超能文献

使用基于CT影像组学和临床病理因素的列线图预测接受新辅助放化疗的食管鳞状细胞癌患者的吻合口漏。

Predicting anastomotic leak in patients with esophageal squamous cell cancer treated with neoadjuvant chemoradiotherapy using a nomogram based on CT radiomic and clinicopathologic factors.

作者信息

Zhao Junfeng, Yang Guanli, Li Ying, Li Shanshan, Luo Haining, Han Dan, Li Baosheng, Cao Qiang

机构信息

Department of Radiation Oncology, Shandong Cancer Hospital and Institute, Shandong First Medical University, Shandong Academy of Medical Sciences, No.440 Jiyan Road, Huaiyin District, Jinan, Shandong, People's Republic of China.

Department of Radiation Oncology, Shandong Second Provincial General Hospital, Jinan, Shandong, People's Republic of China.

出版信息

BMC Cancer. 2025 Mar 15;25(1):484. doi: 10.1186/s12885-025-13884-9.

Abstract

BACKGROUND

Anastomotic leak (AL) is a common complication in patients with operable esophageal squamous cell carcinoma (ESCC) treated with neoadjuvant chemoradiotherapy (NCRT) and radical esophagectomy. Therefore, this study aimed to establish and validate a nomogram to predict the occurrence of AL.

METHODS

Between March 2016 and December 2022, ESCC patients undergoing NCRT and radical esophagectomy were retrospectively collected in China. Clinicopathologic and radiomics characteristics were included in the univariate logistic regression analysis, and statistically significant factors were enrolled to develop the nomogram, which was evaluated by the area under the curve (AUC) of the receiver operating characteristic curve, calibration curve, and decision curve analysis (DCA).

RESULTS

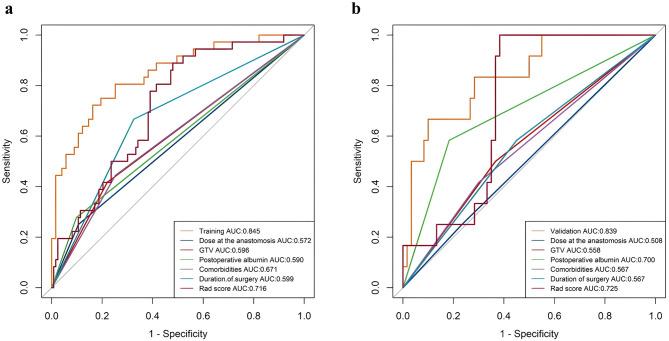
231 eligible patients were divided into training (n = 159) and validation cohorts (n = 72). Univariate and multivariate analyses revealed that dose at the anastomosis ≥ 24 Gy, gross tumor volume ≥ 60 cm3, postoperative albumin < 35 g/L, comorbidities, duration of surgery ≥ 270 min, and computed tomography-based radiomics characteristics were independent predictors of AL. The nomogram AUC in the training and validation cohorts was 0.845 (95% confidence interval [CI]: 0.770-0.920) and 0.839 (95% CI: 0.718-0.960), respectively, indicating good discriminatory ability. The calibration curves showed good agreement between the predicted and actual AL occurrence and the DCA demonstrated favorable clinical outcomes.

CONCLUSIONS

We developed and validated a nomogram based on radiomics and clinicopathologic characteristics. This predictive model could be a powerful tool to predict AL occurrence in patients with ESCC treated with NCRT.

摘要

背景

吻合口漏(AL)是接受新辅助放化疗(NCRT)和根治性食管切除术的可手术切除食管鳞状细胞癌(ESCC)患者的常见并发症。因此,本研究旨在建立并验证一种预测吻合口漏发生的列线图。

方法

回顾性收集2016年3月至2022年12月在中国接受NCRT和根治性食管切除术的ESCC患者。单因素逻辑回归分析纳入临床病理和影像组学特征,将具有统计学意义的因素纳入列线图的构建,通过受试者操作特征曲线的曲线下面积(AUC)、校准曲线和决策曲线分析(DCA)对其进行评估。

结果

231例符合条件的患者被分为训练组(n = 159)和验证组(n = 72)。单因素和多因素分析显示,吻合口处剂量≥24 Gy、肿瘤总体积≥60 cm³、术后白蛋白<35 g/L、合并症、手术时间≥270分钟以及基于计算机断层扫描的影像组学特征是吻合口漏的独立预测因素。训练组和验证组列线图的AUC分别为0.845(95%置信区间[CI]:0.770 - 0.920)和0.839(95%CI:0.718 - 0.960),表明具有良好的区分能力。校准曲线显示预测的和实际的吻合口漏发生率之间具有良好的一致性,DCA显示出良好的临床结果。

结论

我们基于影像组学和临床病理特征开发并验证了一种列线图。这种预测模型可能是预测接受NCRT治疗的ESCC患者吻合口漏发生的有力工具。

https://cdn.ncbi.nlm.nih.gov/pmc/blobs/005a/11910853/a6d80a16a3d3/12885_2025_13884_Fig1_HTML.jpg

文献AI研究员

20分钟写一篇综述,助力文献阅读效率提升50倍。

立即体验

用中文搜PubMed

大模型驱动的PubMed中文搜索引擎

马上搜索

文档翻译

学术文献翻译模型,支持多种主流文档格式。

立即体验