Suppr超能文献

T4期结肠癌患者手术切除后癌症特异性生存预测列线图的开发与验证:一项基于人群的研究

Development and validation of cancer-specific survival prediction nomogram for patients with T4 stage colon cancer after surgical resection: a population-based study.

作者信息

Xing Yuncan, Zhu Sirui, Zhou Liang, Tu Jiawei, Wang Zheng

机构信息

Department of Colorectal Surgery, National Cancer Center/National Clinical Research Center for Cancer/Cancer Hospital, Chinese Academy of Medical Sciences and Peking Union Medical College, No.17 Panjiayuan Nanli, Beijing, 100021, Chaoyang District, China.

出版信息

Int J Colorectal Dis. 2025 Mar 18;40(1):72. doi: 10.1007/s00384-025-04856-3.

Abstract

PURPOSE

The increasing incidence of colorectal cancer has coincided with a rise in T4 stage colon cancer (CC), yet research on its prognosis remains limited. This study aimed to identify risk factors and develop a nomogram to predict cancer-specific survival (CSS), optimizing treatment strategies for different subgroups.

METHODS

Using data from the from the Surveillance, Epidemiology, and End Results (SEER) database, we identified risk factors in T4 stage CC patients and created a nomogram to predict CSS. Patients were divided into low- and high-risk groups, and the nomogram was validated. Propensity score matching was used to evaluate the benefits of various therapies across subgroups.

RESULTS

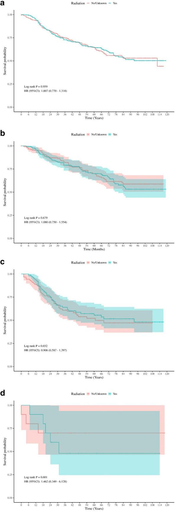
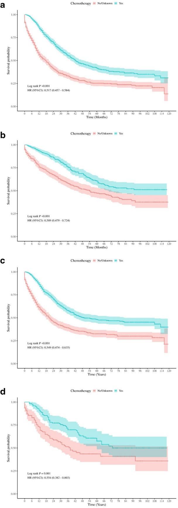
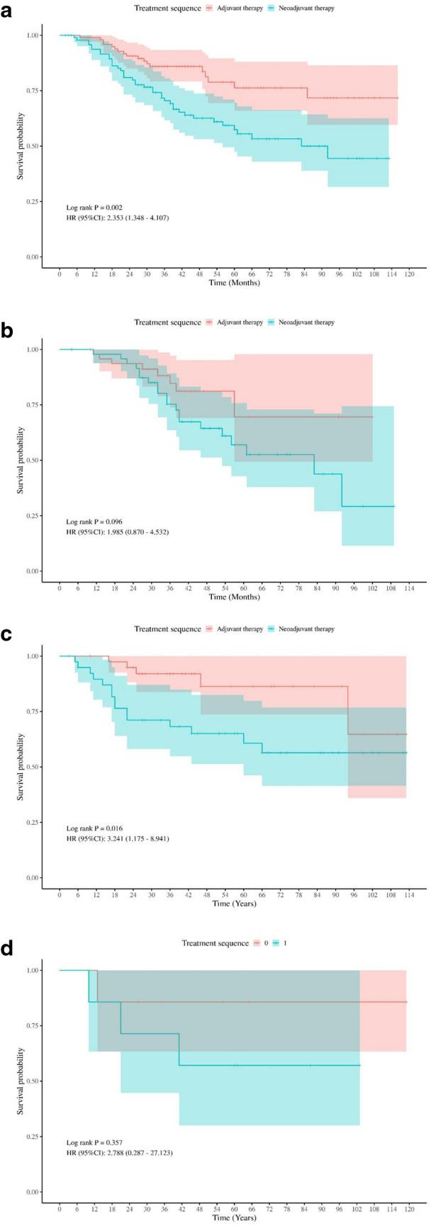
Independent risk factors, including T stage, N stage, tumor grade, age, and therapy sequence, were identified through Cox regression analyses and incorporated into the nomogram. The nomogram outperformed the American Joint Committee on Cancer (AJCC) 7th staging system, with a Concordance-index of 0.77 in both training and validation sets. The receiver operating characteristic curves showed area under the curve values of 0.81, 0.77, and 0.75 for 1-, 3-, and 5-year CSS, respectively. Calibration plots confirmed strong alignment between predicted and actual outcomes, and decision curve analysis highlighted the nomogram's superior clinical utility. Chemotherapy significantly improved CSS, while radiation did not. Adjuvant therapy was particularly beneficial in high-risk groups.

CONCLUSION

This study offered a thorough prognostic analysis of T4 stage colon cancer patients and developed nomograms for predicting CSS. Subgroup analyses highlight the potential benefits of various treatment options.

摘要

目的

结直肠癌发病率的上升与T4期结肠癌(CC)的增加同时出现,但其预后研究仍然有限。本研究旨在识别危险因素并开发一种列线图来预测癌症特异性生存(CSS),优化不同亚组的治疗策略。

方法

利用监测、流行病学和最终结果(SEER)数据库的数据,我们识别了T4期CC患者的危险因素,并创建了一个预测CSS的列线图。将患者分为低风险和高风险组,并对列线图进行验证。倾向评分匹配用于评估各亚组中各种治疗方法的益处。

结果

通过Cox回归分析确定了包括T分期、N分期、肿瘤分级、年龄和治疗顺序在内的独立危险因素,并将其纳入列线图。该列线图的表现优于美国癌症联合委员会(AJCC)第7版分期系统,训练集和验证集的一致性指数均为0.77。受试者工作特征曲线显示,1年、3年和5年CSS的曲线下面积值分别为0.81、0.77和0.75。校准图证实了预测结果与实际结果之间的高度一致性,决策曲线分析突出了列线图卓越的临床实用性。化疗显著改善了CSS,而放疗则没有。辅助治疗在高风险组中尤其有益。

结论

本研究对T4期结肠癌患者进行了全面的预后分析,并开发了预测CSS的列线图。亚组分析突出了各种治疗方案的潜在益处。

https://cdn.ncbi.nlm.nih.gov/pmc/blobs/8cb6/11920356/67d7c2a22af8/384_2025_4856_Fig1_HTML.jpg

文献检索

告别复杂PubMed语法,用中文像聊天一样搜索,搜遍4000万医学文献。AI智能推荐,让科研检索更轻松。

立即免费搜索

文件翻译

保留排版,准确专业,支持PDF/Word/PPT等文件格式,支持 12+语言互译。

免费翻译文档

深度研究

AI帮你快速写综述,25分钟生成高质量综述,智能提取关键信息,辅助科研写作。

立即免费体验