Suppr超能文献

利用临床数据提升儿童头孢曲松群体药代动力学模型的性能评估

Leveraging Clinical Data to Enhance the Performance Evaluation of Ceftriaxone Population Pharmacokinetic Models in Children.

作者信息

Schouwenburg Stef, Preijers Tim, Abdulla Alan, Wildschut Enno D, Koch Birgit C P, de Hoog Matthijs

机构信息

Department of Hospital Pharmacy, Erasmus University Medical Centre, Postal Box 2040, 3000 CA, Rotterdam, The Netherlands.

Rotterdam Clinical Pharmacometrics Group, Erasmus University Medical Centre, Rotterdam, The Netherlands.

出版信息

Clin Pharmacokinet. 2025 Apr;64(4):585-598. doi: 10.1007/s40262-025-01486-4. Epub 2025 Mar 18.

Abstract

INTRODUCTION

Sepsis affects approximately 8% of pediatric intensive care unit (PICU) admissions in high-income countries. Ceftriaxone, a broad-spectrum beta-lactam antibiotic, is widely used for treating severe infections and bacterial meningitis in children. Despite its frequent use, limited studies address the population pharmacokinetic (popPK) of ceftriaxone in pediatrics. External validation of popPK models is essential to confirm their suitability for individualized dosing in PICU patients, enabling selection of the model best suited to this population.

METHODS

This study used data from the EXPAT Kids study, a prospective pharmacokinetics /pharmacodynamics (PK/PD) study. The included popPK models were implemented in NONMEM, with diagnostic goodness-of-fit and visual predictive check analyses performed to assess model accuracy. Predictive performance was evaluated using the relative prediction error, relative root mean square error, and mean (absolute) percentage error.

RESULTS

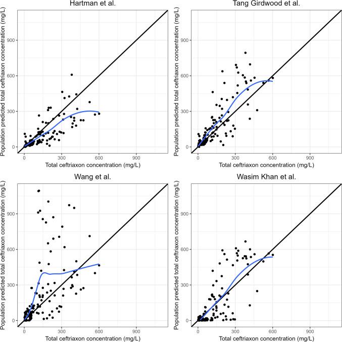
The predictive performance of the evaluated models varied widely. The included models showed only modest performance and generally seemed to overpredict ceftriaxone concentrations. Unbound ceftriaxone popPK models did not perform adequately. None of the models met all the predefined thresholds for accuracy and precision.

CONCLUSIONS

Our external dataset comprised high ceftriaxone trough concentrations, indicating re-evaluation of current ceftriaxone dosing regimens to minimize the risk of overdosing and prevent toxicity. Future research should focus on the fine dosing balance for ceftriaxone, especially in patients with meningitis, by considering adequate exposure while preventing high trough concentrations. Model-informed precision dosing may enhance the use of the optimal individual dosage for critically ill children. However, our findings highlight the importance of externally evaluating ceftriaxone popPK models in the PICU population.

摘要

引言

在高收入国家,脓毒症影响了约8%的儿科重症监护病房(PICU)入院患儿。头孢曲松是一种广谱β-内酰胺类抗生素,广泛用于治疗儿童严重感染和细菌性脑膜炎。尽管其使用频繁,但针对儿科患者头孢曲松群体药代动力学(popPK)的研究有限。popPK模型的外部验证对于确认其在PICU患者个体化给药中的适用性至关重要,有助于选择最适合该群体的模型。

方法

本研究使用了EXPAT Kids研究的数据,这是一项前瞻性药代动力学/药效学(PK/PD)研究。纳入的popPK模型在NONMEM中实现,进行诊断拟合优度和可视化预测检查分析以评估模型准确性。使用相对预测误差、相对均方根误差和平均(绝对)百分比误差评估预测性能。

结果

评估模型的预测性能差异很大。纳入的模型表现一般,通常似乎高估了头孢曲松浓度。游离头孢曲松的popPK模型表现不佳。没有一个模型达到所有预定义的准确性和精密度阈值。

结论

我们的外部数据集显示头孢曲松谷浓度较高,表明需要重新评估当前的头孢曲松给药方案,以尽量减少过量用药风险并预防毒性。未来的研究应关注头孢曲松的精确给药平衡,特别是在脑膜炎患者中,要在预防高谷浓度的同时考虑足够的药物暴露。模型指导的精准给药可能会提高危重症儿童最佳个体剂量的使用。然而,我们的研究结果凸显了在PICU人群中对头孢曲松popPK模型进行外部评估的重要性。

https://cdn.ncbi.nlm.nih.gov/pmc/blobs/5aea/12041135/40323ce2955a/40262_2025_1486_Fig1_HTML.jpg

文献检索

告别复杂PubMed语法,用中文像聊天一样搜索,搜遍4000万医学文献。AI智能推荐,让科研检索更轻松。

立即免费搜索

文件翻译

保留排版,准确专业,支持PDF/Word/PPT等文件格式,支持 12+语言互译。

免费翻译文档

深度研究

AI帮你快速写综述,25分钟生成高质量综述,智能提取关键信息,辅助科研写作。

立即免费体验