• 文献检索
  • 文档翻译
  • 深度研究
  • 学术资讯
  • Suppr Zotero 插件Zotero 插件
  • 邀请有礼
  • 套餐&价格
  • 历史记录
应用&插件
Suppr Zotero 插件Zotero 插件浏览器插件Mac 客户端Windows 客户端微信小程序
定价
高级版会员购买积分包购买API积分包
服务
文献检索文档翻译深度研究API 文档MCP 服务
关于我们
关于 Suppr公司介绍联系我们用户协议隐私条款
关注我们

Suppr 超能文献

核心技术专利:CN118964589B侵权必究
粤ICP备2023148730 号-1Suppr @ 2026

文献检索

告别复杂PubMed语法,用中文像聊天一样搜索,搜遍4000万医学文献。AI智能推荐,让科研检索更轻松。

立即免费搜索

文件翻译

保留排版,准确专业,支持PDF/Word/PPT等文件格式,支持 12+语言互译。

免费翻译文档

深度研究

AI帮你快速写综述,25分钟生成高质量综述,智能提取关键信息,辅助科研写作。

立即免费体验

使用现实世界行为数据验证一个关于小场景实验的分享意愿度量方法。

Validating a willingness to share measure of a vignette experiment using real-world behavioral data.

作者信息

Kmetty Zoltán, Stefkovics Ádám

机构信息

HUN-REN Centre for Social Sciences, CSS-RECENS Research Group, Budapest, 1097, Hungary.

Department of Sociology, Faculty of Social Sciences, Eötvös Loránd University, Budapest, Hungary.

出版信息

Sci Rep. 2025 Mar 18;15(1):9319. doi: 10.1038/s41598-025-92349-2.

DOI:10.1038/s41598-025-92349-2
PMID:40102494
原文链接:https://pmc.ncbi.nlm.nih.gov/articles/PMC11920269/
Abstract

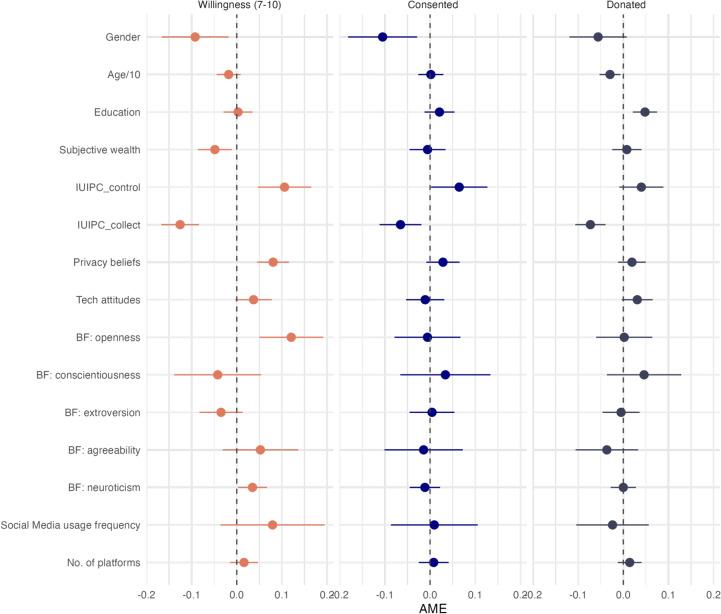
Willingness measures are widely employed in vignette and conjoint experiments. However, the predictive validity of these measures relies on the degree to which expressed intentions correspond with behavior in the real world. This study uses a unique research design that enables to validate an intention measure. In a 2022 online survey, respondents expressed their willingness to donate their social media data in hypothetical scenarios. Nine months later the same respondents were invited to participate in a genuine data donation study. The results show that the correlation between willingness and actual donation was moderate (η: 0.28). Additionally, the determinants of self-reports and sharing behavior did not overlap. The willingness to donate was more strongly associated with softer attitudinal variables, whereas actual data sharing was linked more closely to harder demographic variables. These findings challenge the predictive validity of willingness to share measures and highlight the need for realistic scenarios in survey experiments, minimizing participants' perceived risks of the task in question, and addressing social desirability bias.

摘要

意愿度量在 vignette 和联合实验中被广泛应用。然而,这些度量的预测效度取决于所表达的意图与现实世界中的行为相符的程度。本研究采用了一种独特的研究设计,能够对一种意图度量进行验证。在2022年的一项在线调查中,受访者在假设情境下表达了他们捐赠社交媒体数据的意愿。九个月后,同样的受访者被邀请参加一项真实的数据捐赠研究。结果表明,意愿与实际捐赠之间的相关性适中(η:0.28)。此外,自我报告和分享行为的决定因素并不重叠。捐赠意愿与较温和的态度变量联系更紧密,而实际数据分享则与更硬性的人口统计学变量联系更紧密。这些发现对分享意愿度量的预测效度提出了挑战,并强调了在调查实验中需要采用现实情境、尽量减少参与者对相关任务的感知风险以及应对社会期望偏差。

https://cdn.ncbi.nlm.nih.gov/pmc/blobs/18a7/11920269/609bc8eb6da8/41598_2025_92349_Fig2_HTML.jpg
https://cdn.ncbi.nlm.nih.gov/pmc/blobs/18a7/11920269/19bc58127c4f/41598_2025_92349_Fig1_HTML.jpg
https://cdn.ncbi.nlm.nih.gov/pmc/blobs/18a7/11920269/609bc8eb6da8/41598_2025_92349_Fig2_HTML.jpg
https://cdn.ncbi.nlm.nih.gov/pmc/blobs/18a7/11920269/19bc58127c4f/41598_2025_92349_Fig1_HTML.jpg
https://cdn.ncbi.nlm.nih.gov/pmc/blobs/18a7/11920269/609bc8eb6da8/41598_2025_92349_Fig2_HTML.jpg

相似文献

1
Validating a willingness to share measure of a vignette experiment using real-world behavioral data.使用现实世界行为数据验证一个关于小场景实验的分享意愿度量方法。
Sci Rep. 2025 Mar 18;15(1):9319. doi: 10.1038/s41598-025-92349-2.
2
Validating vignette and conjoint survey experiments against real-world behavior.对照现实世界行为验证案例和联合调查实验。
Proc Natl Acad Sci U S A. 2015 Feb 24;112(8):2395-400. doi: 10.1073/pnas.1416587112. Epub 2015 Feb 2.
3
Rational or altruistic: the impact of social media information exposure on Chinese youth's willingness to donate blood.理性或利他主义:社交媒体信息暴露对中国青年献血意愿的影响。
Front Public Health. 2024 May 9;12:1359362. doi: 10.3389/fpubh.2024.1359362. eCollection 2024.
4
Consumer Willingness to Share Personal Digital Information for Health-Related Uses.消费者愿意分享个人数字信息用于健康相关用途。
JAMA Netw Open. 2022 Jan 4;5(1):e2144787. doi: 10.1001/jamanetworkopen.2021.44787.
5
The effect of framing and communicating COVID-19 vaccine side-effect risks on vaccine intentions for adults in the UK and the USA: A structured summary of a study protocol for a randomized controlled trial.在英国和美国,针对成年人的 COVID-19 疫苗副作用风险的描述和沟通对疫苗接种意愿的影响:一项随机对照试验研究方案的结构化总结。
Trials. 2021 Sep 6;22(1):592. doi: 10.1186/s13063-021-05484-2.
6
Collective Value Promotes the Willingness to Share Provaccination Messages on Social Media in China: Randomized Controlled Trial.集体价值观促进中国社交媒体上分享疫苗接种信息的意愿:随机对照试验
JMIR Form Res. 2022 Oct 4;6(10):e35744. doi: 10.2196/35744.
7
Examining willingness to donate frozen oocytes among women of reproductive age.调查育龄女性对捐赠冷冻卵子的意愿。
Reprod Biomed Online. 2023 Nov;47(5):103294. doi: 10.1016/j.rbmo.2023.103294. Epub 2023 Jul 22.
8
Disposition intentions of elective egg freezers toward their surplus frozen oocytes: a systematic review and meta-analysis.选择性卵子冷冻者对其剩余冷冻卵母细胞的处置意向:一项系统评价和荟萃分析
Fertil Steril. 2021 Dec;116(6):1601-1619. doi: 10.1016/j.fertnstert.2021.07.1195. Epub 2021 Aug 25.
9
Self-reported willingness to share political news articles in online surveys correlates with actual sharing on Twitter.在线调查中自我报告的分享政治新闻文章的意愿与在 Twitter 上的实际分享相关。
PLoS One. 2020 Feb 10;15(2):e0228882. doi: 10.1371/journal.pone.0228882. eCollection 2020.
10
A preregistered vignette experiment on determinants of health data sharing behavior .一项关于健康数据共享行为决定因素的预先注册描述性实验。
Politics Life Sci. 2023 Mar;41(2):161-181. doi: 10.1017/pls.2022.15.

本文引用的文献

1
Sharing Data Collected with Smartphone Sensors: Willingness, Participation, and Nonparticipation Bias.共享通过智能手机传感器收集的数据:意愿、参与情况及不参与偏差。
Public Opin Q. 2021 Sep 3;85(Suppl 1):423-462. doi: 10.1093/poq/nfab025. eCollection 2021.
2
Attitudes towards Participation in a Passive Data Collection Experiment.参与被动数据收集实验的态度。
Sensors (Basel). 2021 Sep 10;21(18):6085. doi: 10.3390/s21186085.
3
Understanding Willingness to Share Smartphone-Sensor Data.了解分享智能手机传感器数据的意愿。
Public Opin Q. 2021 Feb 13;84(3):725-759. doi: 10.1093/poq/nfaa044. eCollection 2020 Fall.
4
Validating vignette and conjoint survey experiments against real-world behavior.对照现实世界行为验证案例和联合调查实验。
Proc Natl Acad Sci U S A. 2015 Feb 24;112(8):2395-400. doi: 10.1073/pnas.1416587112. Epub 2015 Feb 2.
5
Sensitive questions in surveys.调查中的敏感问题。
Psychol Bull. 2007 Sep;133(5):859-83. doi: 10.1037/0033-2909.133.5.859.
6
Explaining the discrepancy between intentions and actions: the case of hypothetical bias in contingent valuation.解释意图与行为之间的差异:条件价值评估中的假设偏差案例。
Pers Soc Psychol Bull. 2004 Sep;30(9):1108-21. doi: 10.1177/0146167204264079.
7
A comparison of two time intervals for test-retest reliability of health status instruments.健康状况测量工具重测信度的两个时间间隔比较。
J Clin Epidemiol. 2003 Aug;56(8):730-5. doi: 10.1016/s0895-4356(03)00084-2.