Chihab Leila Y, Burel Julie G, Miller Aaron M, Westernberg Luise, Brown Brandee, Greenbaum Jason, Korrer Michael J, Schoenberger Stephen P, Joyce Sebastian, Kim Young J, Koşaloğlu-Yalçin Zeynep, Peters Bjoern
Center for Infectious Disease and Vaccine Research, La Jolla Institute for Immunology, La Jolla, CA, United States.
Department of Chemistry and Biochemistry, University of California, San Diego, San Diego, CA, United States.
Front Immunol. 2025 Mar 4;16:1494453. doi: 10.3389/fimmu.2025.1494453. eCollection 2025.
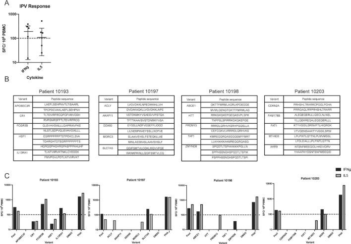
Mutations in cancer cells can result in the production of neoepitopes that can be recognized by T cells and trigger an immune response. A reliable pipeline to identify such immunogenic neoepitopes for a given tumor would be beneficial for the design of cancer immunotherapies. Current methods, such as the pipeline proposed by the Tumor Neoantigen Selection Alliance (TESLA), aim to select short peptides with the highest likelihood to be MHC-I restricted minimal epitopes. Typically, only a small percentage of these predicted epitopes are recognized by T cells when tested experimentally. This is particularly problematic as the limited amount of sample available from patients that are acutely sick restricts the number of peptides that can be tested in practice. This led our group to develop an in-house pipeline termed Identify-Prioritize-Validate (IPV) that identifies long peptides that cover both CD4 and CD8 epitopes.
Here, we systematically compared how IPV performs compared to the TESLA pipeline. Patient peripheral blood mononuclear cells were cultured with their corresponding candidate peptides, and immune recognition was measured using cytokine-secretion assays.
The IPV pipeline consistently outperformed the TESLA pipeline in predicting neoepitopes that elicited an immune response in our assay. This was primarily due to the inclusion of longer peptides in IPV compared to TESLA.
Our work underscores the improved predictive ability of IPV in comparison to TESLA in this assay system and highlights the need to clearly define which experimental metrics are used to evaluate bioinformatic epitope predictions.
癌细胞中的突变可导致新表位的产生,这些新表位可被T细胞识别并触发免疫反应。为特定肿瘤识别此类免疫原性新表位的可靠流程将有助于癌症免疫疗法的设计。当前的方法,如肿瘤新抗原选择联盟(TESLA)提出的流程,旨在选择最有可能成为MHC-I限制性最小表位的短肽。通常,在实验测试时,这些预测表位中只有一小部分能被T细胞识别。这一问题尤为突出,因为重病患者可用的样本量有限,限制了实际可测试的肽段数量。这促使我们团队开发了一种名为识别-优先排序-验证(IPV)的内部流程,该流程可识别覆盖CD4和CD8表位的长肽。
在此,我们系统地比较了IPV与TESLA流程的性能。将患者外周血单个核细胞与相应的候选肽一起培养,并使用细胞因子分泌测定法测量免疫识别。
在预测能在我们的测定中引发免疫反应的新表位方面,IPV流程始终优于TESLA流程。这主要是因为与TESLA相比,IPV纳入了更长的肽段。
我们的工作强调了在该测定系统中,IPV与TESLA相比具有更好的预测能力,并突出了明确界定用于评估生物信息学表位预测的实验指标的必要性。