Suppr超能文献

基于机器学习预测退行性颈椎脊髓病的术后神经学结果

Predicting postoperative neurological outcomes of degenerative cervical myelopathy based on machine learning.

作者信息

Zhou Shuai, Liu Zexiang, Huang Haoge, Xi Hanxu, Fan Xiao, Zhao Yanbin, Chen Xin, Diao Yinze, Sun Yu, Ji Hong, Zhou Feifei

机构信息

Department of Orthopaedics, Peking University Third Hospital, Beijing, China.

Engineering Research Center of Bone and Joint Precision Medicine, Ministry of Education, Beijing, China.

出版信息

Front Bioeng Biotechnol. 2025 Mar 4;13:1529545. doi: 10.3389/fbioe.2025.1529545. eCollection 2025.

Abstract

INTRODUCTION

This study aimed to develop machine learning models to predict neurological outcomes in patients with degenerative cervical myelopathy (DCM) after surgical decompression and identify key factors that contribute to a better outcome, providing a reference for patient consultation and surgical decision-making.

METHODS

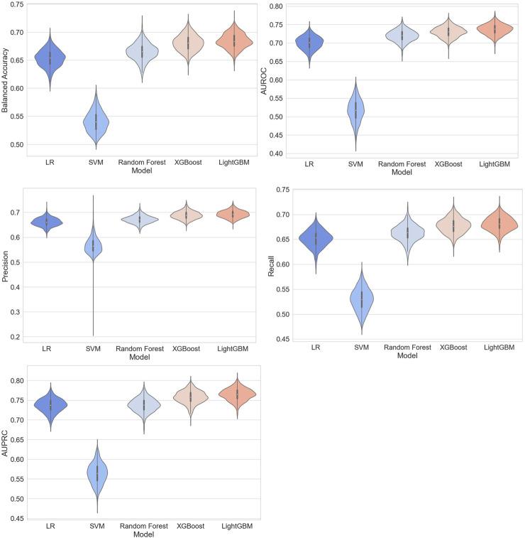
This retrospective study reviewed 1,895 patients who underwent cervical decompression surgery for DCM at Peking University Third Hospital from 2011 to 2020, with 672 patients included in the final analysis. Five machine learning methods, namely, linear regression (LR), support vector machines (SVM), random forest (RF), XGBoost, and Light Gradient Boosting Machine (LightGBM), were used to predict whether patients achieved the minimal clinically important difference (MCID) in the improvement in the Japanese Orthopedic Association (JOA) score, which was based on basic information, symptoms, physical examination signs, intramedullary high signals on T2-weighted (T2WI) magnetic resonance imaging (MRI), and various scale scores. After training and optimizing multiple ML algorithms, we generated a model with the highest area under the receiver operating characteristic curve (AUROC) to predict short-term outcomes following DCM surgery. We evaluated the importance of the features and created a feature-reduced model. The model's performance was assessed using an external dataset.

RESULTS

The LightGBM algorithm performed the best in predicting short-term neurological outcomes in the testing dataset, achieving an AUROC value of 0.745 and an area under the precisionrecall curve (AUPRC) value of 0.810. The important features influencing performance in the short-term model included the preoperative JOA score, age, SF-36-GH, SF-36-BP, and SF-36-PF. The feature-reduced LightGBM model, which achieved an AUROC value of 0.734, also showed favorable performance. Moreover, the feature-reduced model showed an AUROC value of 0.785 for predicting the MCID of postoperative JOA in the external dataset, which included 58 patients from other hospitals.

CONCLUSION

We developed models based on machine learning to predict postoperative neurological outcomes. The LightGBM model presented the best predictive power regarding the surgical outcomes of DCM patients. Feature importance analysis revealed that variables, including age, preoperative JOA score, SF-36-PF, SF-36-GH, and SF-36-BP, were essential factors in the model. The feature-reduced LightGBM model, designed for ease of application, achieved nearly the same predictive power with fewer variables.

摘要

引言

本研究旨在开发机器学习模型,以预测退行性颈椎脊髓病(DCM)患者手术减压后的神经功能结局,并确定有助于获得更好结局的关键因素,为患者咨询和手术决策提供参考。

方法

这项回顾性研究对2011年至2020年在北京大学第三医院接受DCM颈椎减压手术的1895例患者进行了回顾,最终分析纳入了672例患者。使用五种机器学习方法,即线性回归(LR)、支持向量机(SVM)、随机森林(RF)、XGBoost和轻量级梯度提升机(LightGBM),根据基本信息、症状、体格检查体征、T2加权(T2WI)磁共振成像(MRI)上的脊髓内高信号以及各种量表评分,预测患者是否在日本骨科协会(JOA)评分改善方面达到最小临床重要差异(MCID)。在对多种机器学习算法进行训练和优化后,我们生成了一个具有最高受试者工作特征曲线下面积(AUROC)的模型,以预测DCM手术后的短期结局。我们评估了特征的重要性,并创建了一个特征简化模型。使用外部数据集评估该模型的性能。

结果

LightGBM算法在测试数据集中预测短期神经功能结局方面表现最佳,AUROC值为0.745,精确召回率曲线下面积(AUPRC)值为0.810。影响短期模型性能的重要特征包括术前JOA评分、年龄、SF-36-躯体健康(GH)、SF-36-血压(BP)和SF-36-生理功能(PF)。特征简化的LightGBM模型AUROC值为0.734,也显示出良好的性能。此外,该特征简化模型在包含来自其他医院的58例患者的外部数据集中,预测术后JOA的MCID时AUROC值为0.785。

结论

我们开发了基于机器学习的模型来预测术后神经功能结局。LightGBM模型在预测DCM患者手术结局方面表现出最佳的预测能力。特征重要性分析表明,年龄、术前JOA评分、SF-36-PF、SF-36-GH和SF-36-BP等变量是模型中的关键因素。为便于应用而设计的特征简化LightGBM模型,以较少的变量实现了几乎相同的预测能力。

https://cdn.ncbi.nlm.nih.gov/pmc/blobs/7c95/11913819/e04383d98470/fbioe-13-1529545-g001.jpg

文献检索

告别复杂PubMed语法,用中文像聊天一样搜索,搜遍4000万医学文献。AI智能推荐,让科研检索更轻松。

立即免费搜索

文件翻译

保留排版,准确专业,支持PDF/Word/PPT等文件格式,支持 12+语言互译。

免费翻译文档

深度研究

AI帮你快速写综述,25分钟生成高质量综述,智能提取关键信息,辅助科研写作。

立即免费体验