Suppr超能文献

新冠疫情对儿童早期发育和心理健康的影响:一项比较研究的系统评价与荟萃分析

Effects of the COVID-19 Pandemic on Early Childhood Development and Mental Health: A Systematic Review and Meta-Analysis of Comparative Studies.

作者信息

Alcon Sasha, Shen Sa, Wong Hong-Nei, Rovnaghi Cynthia R, Truong Leni, Vedelli Jordan K H, Anand Kanwaljeet J S

机构信息

Department of Pediatrics, Stanford University School of Medicine, Stanford, CA 94304, USA.

Stanford Child Wellness Lab, Maternal & Child Health Research Institute, Stanford Cancer Institute, Stanford University, Stanford, CA 94305, USA.

出版信息

Psychol Int. 2024 Dec;6(4):986-1012. doi: 10.3390/psycholint6040062. Epub 2024 Nov 25.

Abstract

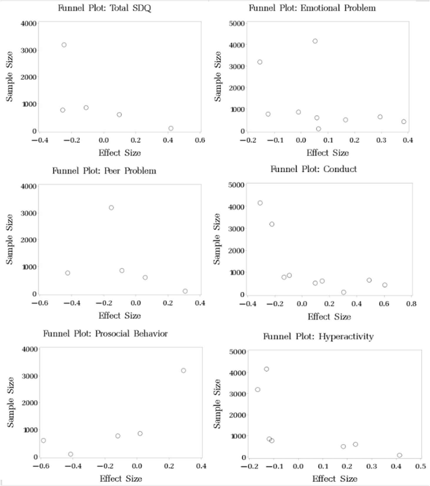
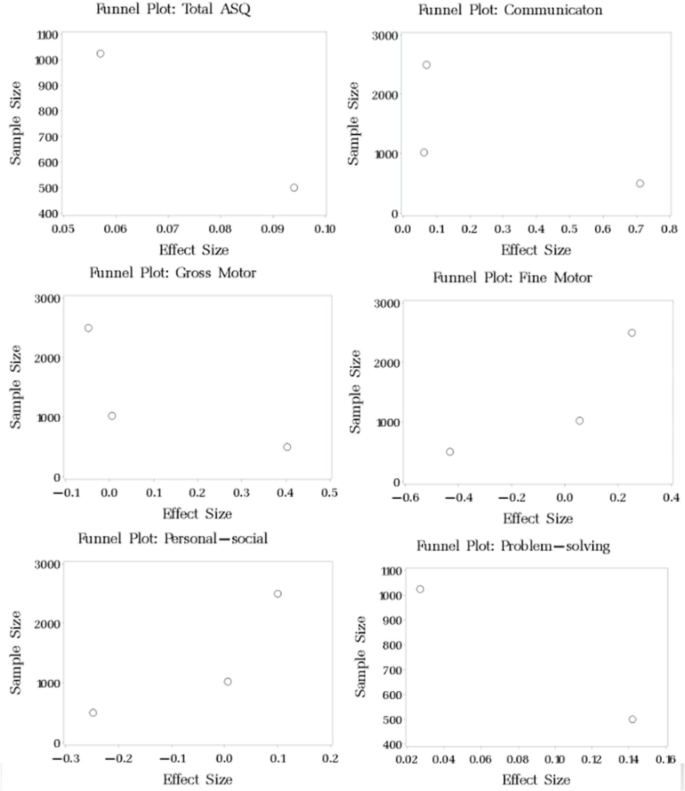
From 2020 to 2023, the coronavirus-19 (COVID-19) pandemic exposed children to a variety of adverse childhood events, including parental loss, abuse, and disruption in services, and it exacerbated societal inequities. Studies evaluating the mental health of older children and adolescents reported increases in depression and anxiety symptoms, but no reviews have addressed the effects of the pandemic on preschool children. This systematic review and meta-analysis is the first to explore these effects. The goal was to analyze and synthesize longitudinal cohort studies to determine impact of the COVID-19 pandemic on the development and mental health of young children. Searches of multiple databases were performed for studies published between 2018 and 2023 with pre- and post-pandemic evaluations of the mental health or development of preschool children (aged 0-6 years) using objective measures and according to Preferred Reporting Items for Systematic Reviews and Meta-Analysis (PRISMA) guidelines. Cohen's d effect sizes were calculated for each study that utilized the Strengths and Difficulties Questionnaire (SDQ), Ages and Stages Questionnaire (ASQ), or the Child Behavior Checklist (CBCL). Random-effects mixed models combined the estimates of effect sizes to calculate the overall mean effect size. The meta-analyses included 22,348 children from 16 countries. The analyses showed small increases in emotional symptoms and conduct problems, as well as increases in emotional reactivity, anxiety/depression, withdrawal symptoms, attention problems, and aggressive behaviors. A decrease in fine motor and personal-social skills was noted. Studies not included in these meta-analyses also showed negative effects on language and executive function. This systematic review characterizes the detrimental effects of the COVID-19 pandemic on the mental health and development of preschool children across the world. Our results suggest the vulnerability of early childhood to pandemic-related disruptions, although the heterogeneity in study design and child characteristics may limit some of these conclusions.

摘要

2020年至2023年期间,新冠疫情使儿童遭遇了各种不良童年经历,包括失去父母、遭受虐待以及服务中断,同时加剧了社会不平等。评估大龄儿童和青少年心理健康的研究报告称,抑郁和焦虑症状有所增加,但尚无综述探讨疫情对学龄前儿童的影响。这项系统综述和荟萃分析首次探究了这些影响。其目的是分析和综合纵向队列研究,以确定新冠疫情对幼儿发育和心理健康的影响。我们按照系统综述和荟萃分析的首选报告项目(PRISMA)指南,对多个数据库进行了检索,查找2018年至2023年期间发表的、使用客观测量方法对学龄前儿童(0至6岁)疫情前后的心理健康或发育情况进行评估的研究。对每项使用优势与困难问卷(SDQ)、年龄与发育进程问卷(ASQ)或儿童行为清单(CBCL)的研究计算科恩d效应量。随机效应混合模型合并效应量估计值,以计算总体平均效应量。荟萃分析纳入了来自16个国家的22348名儿童。分析结果显示,情绪症状和行为问题略有增加,情绪反应性、焦虑/抑郁、退缩症状、注意力问题和攻击行为也有所增加。精细运动和个人社交技能有所下降。未纳入这些荟萃分析的研究也显示出对语言和执行功能的负面影响。这项系统综述描述了新冠疫情对全球学龄前儿童心理健康和发育的有害影响。我们的结果表明幼儿期易受与疫情相关干扰的影响,尽管研究设计和儿童特征的异质性可能会限制其中一些结论。

https://cdn.ncbi.nlm.nih.gov/pmc/blobs/611d/11957456/6d22fcc193ac/nihms-2065247-f0005.jpg

文献AI研究员

20分钟写一篇综述,助力文献阅读效率提升50倍。

立即体验

用中文搜PubMed

大模型驱动的PubMed中文搜索引擎

马上搜索

文档翻译

学术文献翻译模型,支持多种主流文档格式。

立即体验