Suppr超能文献

青少年职业足球运动员不同规模的定位球练习和正式比赛。

Different sizes of position games and official matches in youth professional soccer player.

作者信息

Asian-Clemente Jose A, Beltran-Garrido Jose Vicente, Requena Bernardo

机构信息

Football Science Institute, FSI lab, Granada, Spain.

Department of Sport sciences, Universidad Pablo de Olavide, Seville, Spain.

出版信息

Biol Sport. 2025 Apr;42(2):177-185. doi: 10.5114/biolsport.2025.144297. Epub 2024 Oct 23.

Abstract

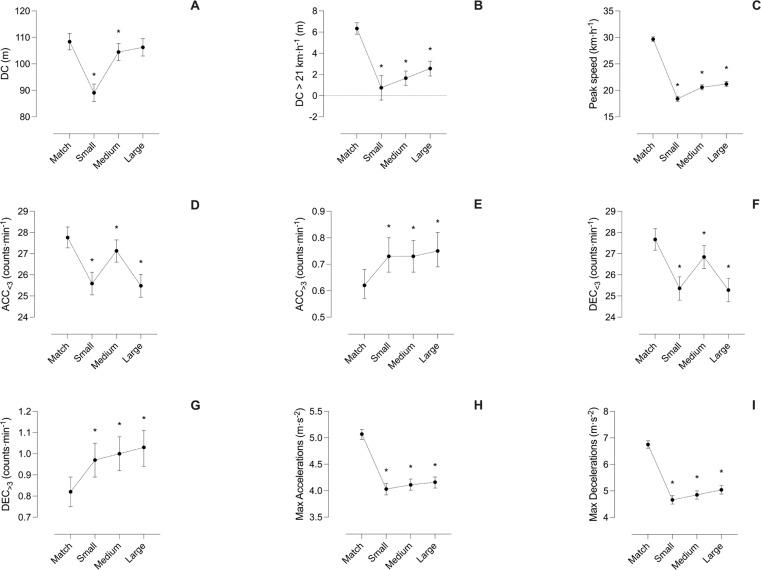
The objectives of this study were to compare the external load of position games and matches in soccer players and to assess the effect of different pitch sizes on position games in relation to competition. Twenty-five players (age: 21.9 ± 1.9 years; height: 177.9 ± 5.2 cm; weight: 75.5 ± 4.8 kg) were evaluated during 37 official matches and 18 position games classified according to their pitch sizes: Small, Medium and Large (50.8 ± 6.6 m, 80.5 ± 4.6 m and 115.9 ± 25.2 m relative area per player, respectively). Using a GPS system, total distance (DC), DC > 21 km · h, peak speed, and maximal accelerations and decelerations lower and higher than 3 m · s (Acc; Acc; Dec and Dec, respectively) were recorded. Mixed model analyses were used to compare the effects of the game condition and of space dimensions on the dependent parameters. During the position games, lower values of DC, DC > 21 km · h, peak speed, Acc, Dec, maximal accelerations and maximal decelerations were reported than in matches. Position games showed higher values than matches for the Acc and Dec. All analysed variables reached statistical significance (all < 0.001). Small, Medium and Large position games significantly achieved lower DC > 21 km · h, peak speed, Acc, Dec, maximal accelerations and maximal decelerations, but significantly higher Acc and Dec (all < 0.05) than matches. The data showed that position games of 9 vs. 9 + 2 with a relative area per player ≤ 115.9 m present a different external load than matches.

摘要

本研究的目的是比较足球运动员在定位比赛和正式比赛中的外部负荷,并评估不同场地尺寸对与比赛相关的定位比赛的影响。对25名球员(年龄:21.9±1.9岁;身高:177.9±5.2厘米;体重:75.5±4.8千克)在37场正式比赛和18场定位比赛中进行了评估,这些定位比赛根据场地尺寸分为:小、中、大(每名球员的相对面积分别为50.8±6.6米、80.5±4.6米和115.9±25.2米)。使用GPS系统,记录总距离(DC)、DC>21千米·小时、峰值速度以及低于和高于3米·秒的最大加速度和减速度(分别为Acc、Acc、Dec和Dec)。采用混合模型分析来比较比赛条件和空间维度对相关参数的影响。在定位比赛期间,报告的DC、DC>21千米·小时、峰值速度、Acc、Dec、最大加速度和最大减速度的值低于正式比赛。定位比赛的Acc和Dec值高于正式比赛。所有分析变量均达到统计学显著性(均P<0.001)。小、中、大尺寸的定位比赛中,DC>21千米·小时、峰值速度、Acc、Dec、最大加速度和最大减速度显著低于正式比赛,但Acc和Dec显著高于正式比赛(均P<0.05)。数据表明,每球员相对面积≤115.9米的9对9+2定位比赛呈现出与正式比赛不同的外部负荷。

https://cdn.ncbi.nlm.nih.gov/pmc/blobs/d752/11963131/6ba9e2f484d5/JBS-42-55011-g001.jpg

文献AI研究员

20分钟写一篇综述,助力文献阅读效率提升50倍。

立即体验

用中文搜PubMed

大模型驱动的PubMed中文搜索引擎

马上搜索

文档翻译

学术文献翻译模型,支持多种主流文档格式。

立即体验