Suppr超能文献

用于伤寒结合疫苗的微阵列贴片疫苗:一项全球成本效益分析。

Microarray patch vaccines for typhoid conjugate vaccines: A global cost-effectiveness analysis.

作者信息

Antillon Marina, Verjans Anna, El Sheikh Fayad, Scarna Tiziana, Mvundura Mercy

机构信息

Swiss Tropical and Public Health Institute, Kreuzstrasse 2, 4123 Allschwil, Switzerland; University of Basel, Petersplatz 1, P. O. Box, 4001, Basel, Switzerland.

Gavi, The Vaccine Alliance, Global Health Campus, Chemin du Pommier 40, 1218 Le Grand-Saconnex, Geneva, Switzerland.

出版信息

Vaccine. 2025 Apr 19;53:127055. doi: 10.1016/j.vaccine.2025.127055. Epub 2025 Apr 3.

Abstract

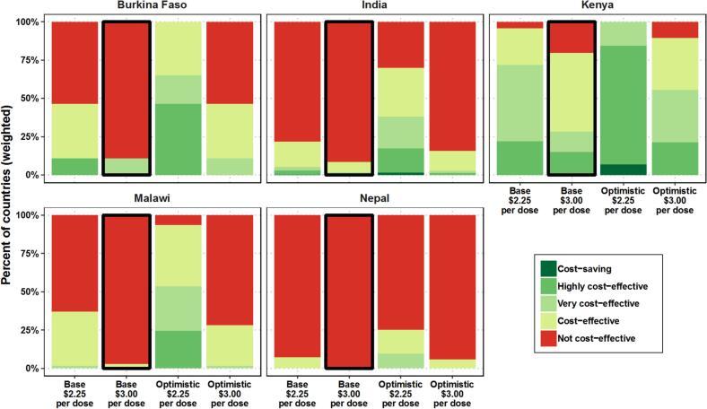
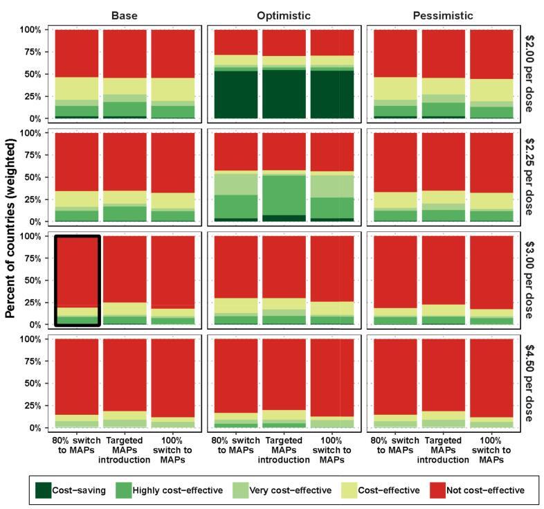
A novel typhoid conjugate vaccine (TCV) presentation, the microarray patch (MAP), is in early-stage development and could potentially help to increase coverage in hard-to-reach populations beyond what is being achieved with the current TCV in a vial presentation administered with a needle and syringe (TCV-N&S). However, TCV-MAPs may come at a higher price per dose than TCV-N&S. Our analysis evaluated the potential cost-effectiveness of TCV-MAPs alongside TCV-N&S compared to TCV-N&S alone. A global extended cost-effectiveness analysis, taking a health care perspective, was conducted for 133 low- to upper-middle-income countries for a time horizon of 20 years (2033-2052). Health outcomes were expressed in disability-adjusted life years (DALYs) and costs in 2021 US dollars, both discounted at 3 %. We assumed TCV-MAP would cost 1.33 to 3 times the price of the TCV-N&S vaccine. We calculated incremental cost-effectiveness ratios and evaluated them against various cost-effectiveness thresholds. For five selected countries, we conducted an additional subnational analysis to understand the potential value of a district-specific TCV-MAP implementation instead of a national rollout. Across the 133 low- to upper-middle-income countries, national rollout of TCV-MAPs could avert an additional 5.2 million cases, 47,000 deaths, and 2.4 million DALYs compared to TCV-N&S only, at an additional cost of US$3.5 billion over 20 years. The largest proportion of the averted burden would be in the sub-Saharan African region. TCV-MAPs could be cost-effective in 33 % of the countries but in 78 % of sub-Saharan African countries. A subnational implementation could benefit some countries for which a national implementation may not be cost-effective, averting 2-15 % of cases for less than 1-3 % of the additional cost as compared to a national rollout. MAP price was a key driver of the results. Regional or subnational implementation, coupled with a lower price point, could significantly improve the TCV-MAP value proposition.

摘要

一种新型伤寒结合疫苗(TCV)的呈现形式——微阵列贴片(MAP),正处于早期开发阶段,它有可能帮助扩大在难以触及人群中的疫苗接种覆盖率,超过目前通过针头和注射器注射的瓶装TCV(TCV-N&S)所能达到的覆盖率。然而,每剂TCV-MAP的价格可能高于TCV-N&S。我们的分析评估了与单独的TCV-N&S相比,TCV-MAP与TCV-N&S的潜在成本效益。从医疗保健角度进行了一项全球扩展成本效益分析,针对133个低收入至中高收入国家,时间跨度为20年(2033 - 2052年)。健康结果以伤残调整生命年(DALYs)表示,成本以2021年美元计,均按3%的贴现率贴现。我们假设TCV-MAP的成本是TCV-N&S疫苗价格的1.33至3倍。我们计算了增量成本效益比,并根据各种成本效益阈值对其进行评估。对于五个选定的国家,我们进行了额外的次国家级分析,以了解针对特定地区实施TCV-MAP而非全国推广的潜在价值。在133个低收入至中高收入国家中,与仅使用TCV-N&S相比,全国推广TCV-MAP可额外避免520万例病例、4.7万例死亡和240万DALYs,20年内额外成本为35亿美元。避免的负担中最大比例将在撒哈拉以南非洲地区。TCV-MAP在33%的国家可能具有成本效益,但在78%的撒哈拉以南非洲国家具有成本效益。次国家级实施可能使一些国家受益,对于这些国家,全国实施可能不具有成本效益,与全国推广相比,可避免2%至15%的病例,而额外成本不到1%至3%。MAP价格是结果的关键驱动因素。区域或次国家级实施,再加上较低的价格点,可显著改善TCV-MAP的价值主张。

https://cdn.ncbi.nlm.nih.gov/pmc/blobs/7d69/12042820/d4e507887c66/gr1.jpg

文献AI研究员

20分钟写一篇综述,助力文献阅读效率提升50倍。

立即体验

用中文搜PubMed

大模型驱动的PubMed中文搜索引擎

马上搜索

文档翻译

学术文献翻译模型,支持多种主流文档格式。

立即体验