Suppr超能文献

估计的葡萄糖处置率与糖尿病性抑郁症之间的相关性:一项基于人群的研究。

Correlation between estimated glucose disposal rate and diabetic depression: a population-based study.

作者信息

Shao Xiangzhi, Dai Huifang, Zhu Lielie

机构信息

Department of Rehabilitation, Wenzhou TCM Hospital of Zhejiang Chinese Medical University, Wenzhou, Zhejiang, China.

Department of Endocrinology, The Second Affiliated Hospital and Yuying Children's Hospital of Wenzhou Medical University, Wenzhou, Zhejiang, China.

出版信息

Front Psychiatry. 2025 Mar 25;16:1507280. doi: 10.3389/fpsyt.2025.1507280. eCollection 2025.

Abstract

BACKGROUND

Emerging evidence has identified a correlation between depression and insulin resistance (IR). This study aims to explore the correlation between estimated glucose disposal rate (eGDR)-a noninvasive and practical measure of IR-and depression in patients with diabetes mellitus (DM).

METHODS

In this cross-sectional study, the data from 3,080 adults aged 18 years old or older with DM obtained from NHANES 1999-2018 were analyzed. The correlation between eGDR and depression were examined through multivariate logistic regression, subgroup analyses, restricted cubic spline (RCS) analysis, and interaction tests. Additionally, mediation analysis was conducted to assess whether leukocytes and neutrophils could mediate the effects of eGDR on depression.

RESULTS

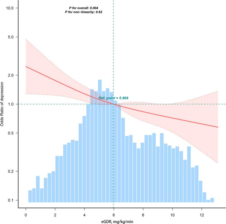
Multivariate logistic regression and RCS analyses demonstrate that eGDR was negative linearly correlated with diabetic depression (OR= 0.89; 95% CI: 0.84, 0.95). Patients with DM in Q3 and Q4 of eGDR exhibited a reduced risk of 28% and 54%, respectively, in depression, compared to those in Q1. Subgroup analyses, stratified by variables such as gender, BMI, age, education level, and medical comorbidities, consistently showed a negative correlation. Mediation analysis further indicates that neutrophils and leukocytes accounted for 4.0% and 3.6% of the correlation between eGDR and depression, respectively.

CONCLUSIONS

The results of this study demonstrated a statistically significant inverse linear correlation between eGDR and the prevalence of depression in patients with DM, with leukocytes and neutrophils acting as mediating factors in this correlation.

摘要

背景

新出现的证据表明抑郁症与胰岛素抵抗(IR)之间存在关联。本研究旨在探讨估计葡萄糖处置率(eGDR,一种非侵入性且实用的IR测量指标)与糖尿病(DM)患者抑郁症之间的相关性。

方法

在这项横断面研究中,分析了从1999 - 2018年美国国家健康与营养检查调查(NHANES)获得的3080名18岁及以上DM成年患者的数据。通过多变量逻辑回归、亚组分析、限制性立方样条(RCS)分析和交互作用检验来研究eGDR与抑郁症之间的相关性。此外,进行中介分析以评估白细胞和中性粒细胞是否可以介导eGDR对抑郁症的影响。

结果

多变量逻辑回归和RCS分析表明,eGDR与糖尿病性抑郁症呈负线性相关(OR = 0.89;95%CI:0.84,0.95)。与eGDR第一四分位数的患者相比,处于第三和第四四分位数的DM患者抑郁症风险分别降低了28%和54%。按性别、体重指数、年龄、教育水平和合并症等变量分层的亚组分析一致显示出负相关。中介分析进一步表明,中性粒细胞和白细胞分别占eGDR与抑郁症相关性的4.0%和3.6%。

结论

本研究结果表明,eGDR与DM患者抑郁症患病率之间存在统计学上显著的线性负相关,白细胞和中性粒细胞在此相关性中起中介作用。

https://cdn.ncbi.nlm.nih.gov/pmc/blobs/ee72/11975885/47d8f3cf2eaf/fpsyt-16-1507280-g001.jpg

文献检索

告别复杂PubMed语法,用中文像聊天一样搜索,搜遍4000万医学文献。AI智能推荐,让科研检索更轻松。

立即免费搜索

文件翻译

保留排版,准确专业,支持PDF/Word/PPT等文件格式,支持 12+语言互译。

免费翻译文档

深度研究

AI帮你快速写综述,25分钟生成高质量综述,智能提取关键信息,辅助科研写作。

立即免费体验