• 文献检索
  • 文档翻译
  • 深度研究
  • 学术资讯
  • Suppr Zotero 插件Zotero 插件
  • 邀请有礼
  • 套餐&价格
  • 历史记录
应用&插件
Suppr Zotero 插件Zotero 插件浏览器插件Mac 客户端Windows 客户端微信小程序
定价
高级版会员购买积分包购买API积分包
服务
文献检索文档翻译深度研究API 文档MCP 服务
关于我们
关于 Suppr公司介绍联系我们用户协议隐私条款
关注我们

Suppr 超能文献

核心技术专利:CN118964589B侵权必究
粤ICP备2023148730 号-1Suppr @ 2026

文献检索

告别复杂PubMed语法,用中文像聊天一样搜索,搜遍4000万医学文献。AI智能推荐,让科研检索更轻松。

立即免费搜索

文件翻译

保留排版,准确专业,支持PDF/Word/PPT等文件格式,支持 12+语言互译。

免费翻译文档

深度研究

AI帮你快速写综述,25分钟生成高质量综述,智能提取关键信息,辅助科研写作。

立即免费体验

集成先进的深度学习技术以增强柑橘叶部和果实病害的检测与分类。

Integrating advanced deep learning techniques for enhanced detection and classification of citrus leaf and fruit diseases.

作者信息

Goyal Archna, Lakhwani Kamlesh

机构信息

Department of Computer Science and Engineering, JECRC University, Jaipur, 303905, Rajsthan, India.

出版信息

Sci Rep. 2025 Apr 12;15(1):12659. doi: 10.1038/s41598-025-97159-0.

DOI:10.1038/s41598-025-97159-0
PMID:40221550
原文链接:https://pmc.ncbi.nlm.nih.gov/articles/PMC11993616/
Abstract

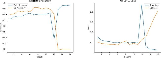
In this study, we evaluate the performance of four deep learning models, EfficientNetB0, ResNet50, DenseNet121, and InceptionV3, for the classification of citrus diseases from images. Extensive experiments were conducted on a dataset of 759 images distributed across 9 disease classes, including Black spot, Canker, Greening, Scab, Melanose, and healthy examples of fruits and leaves. Both InceptionV3 and DenseNet121 achieved a test accuracy of 99.12%, with a macro average F1-score of approximately 0.986 and a weighted average F1-score of 0.991, indicating exceptional performance in terms of precision and recall across the majority of the classes. ResNet50 and EfficientNetB0 attained test accuracies of 84.58% and 80.18%, respectively, reflecting moderate performance in comparison. These research results underscore the promise of modern convolutional neural networks for accurate and timely detection of citrus diseases, thereby providing effective tools for farmers and agricultural professionals to implement proactive disease management, reduce crop losses, and improve yield quality.

摘要

在本研究中,我们评估了四种深度学习模型EfficientNetB0、ResNet50、DenseNet121和InceptionV3从图像中对柑橘病害进行分类的性能。我们在一个包含759张图像的数据集上进行了广泛实验,这些图像分布在9个病害类别中,包括黑斑病、溃疡病、黄龙病、疮痂病、黑星病,以及果实和叶片的健康样本。InceptionV3和DenseNet121的测试准确率均达到99.12%,宏平均F1分数约为0.986,加权平均F1分数为0.991,这表明在大多数类别中,它们在精度和召回率方面表现出色。ResNet50和EfficientNetB0的测试准确率分别为84.58%和80.18%,相比之下表现适中。这些研究结果强调了现代卷积神经网络在准确及时检测柑橘病害方面的前景,从而为农民和农业专业人员提供了有效的工具,以实施主动的病害管理、减少作物损失并提高产量质量。

https://cdn.ncbi.nlm.nih.gov/pmc/blobs/fe70/11993616/8ba1fedd9710/41598_2025_97159_Fig27_HTML.jpg
https://cdn.ncbi.nlm.nih.gov/pmc/blobs/fe70/11993616/0cec224520aa/41598_2025_97159_Fig1_HTML.jpg
https://cdn.ncbi.nlm.nih.gov/pmc/blobs/fe70/11993616/4fe9964a5026/41598_2025_97159_Fig2_HTML.jpg
https://cdn.ncbi.nlm.nih.gov/pmc/blobs/fe70/11993616/801cd0ad793c/41598_2025_97159_Fig3_HTML.jpg
https://cdn.ncbi.nlm.nih.gov/pmc/blobs/fe70/11993616/27d46b958bfe/41598_2025_97159_Fig4_HTML.jpg
https://cdn.ncbi.nlm.nih.gov/pmc/blobs/fe70/11993616/c30bde2aca42/41598_2025_97159_Fig5_HTML.jpg
https://cdn.ncbi.nlm.nih.gov/pmc/blobs/fe70/11993616/cdc5224991aa/41598_2025_97159_Fig6_HTML.jpg
https://cdn.ncbi.nlm.nih.gov/pmc/blobs/fe70/11993616/2e38f25c9e27/41598_2025_97159_Fig7_HTML.jpg
https://cdn.ncbi.nlm.nih.gov/pmc/blobs/fe70/11993616/388cf7311af4/41598_2025_97159_Fig8_HTML.jpg
https://cdn.ncbi.nlm.nih.gov/pmc/blobs/fe70/11993616/543fcc61fbcc/41598_2025_97159_Fig9_HTML.jpg
https://cdn.ncbi.nlm.nih.gov/pmc/blobs/fe70/11993616/dfce96a6f881/41598_2025_97159_Fig10_HTML.jpg
https://cdn.ncbi.nlm.nih.gov/pmc/blobs/fe70/11993616/bc4c0af30414/41598_2025_97159_Fig11_HTML.jpg
https://cdn.ncbi.nlm.nih.gov/pmc/blobs/fe70/11993616/71122c3baf68/41598_2025_97159_Fig12_HTML.jpg
https://cdn.ncbi.nlm.nih.gov/pmc/blobs/fe70/11993616/a125f79f1e09/41598_2025_97159_Fig13_HTML.jpg
https://cdn.ncbi.nlm.nih.gov/pmc/blobs/fe70/11993616/92485d5cb5f0/41598_2025_97159_Fig14_HTML.jpg
https://cdn.ncbi.nlm.nih.gov/pmc/blobs/fe70/11993616/263bab778cf2/41598_2025_97159_Fig15_HTML.jpg
https://cdn.ncbi.nlm.nih.gov/pmc/blobs/fe70/11993616/1be6de602cfd/41598_2025_97159_Fig16_HTML.jpg
https://cdn.ncbi.nlm.nih.gov/pmc/blobs/fe70/11993616/39e99cb7fe1a/41598_2025_97159_Fig17_HTML.jpg
https://cdn.ncbi.nlm.nih.gov/pmc/blobs/fe70/11993616/4646224ccd82/41598_2025_97159_Fig18_HTML.jpg
https://cdn.ncbi.nlm.nih.gov/pmc/blobs/fe70/11993616/9518190d06a4/41598_2025_97159_Fig19_HTML.jpg
https://cdn.ncbi.nlm.nih.gov/pmc/blobs/fe70/11993616/71b443940e2a/41598_2025_97159_Fig20_HTML.jpg
https://cdn.ncbi.nlm.nih.gov/pmc/blobs/fe70/11993616/0cb855b10235/41598_2025_97159_Fig21_HTML.jpg
https://cdn.ncbi.nlm.nih.gov/pmc/blobs/fe70/11993616/066d3ce64d9d/41598_2025_97159_Fig22_HTML.jpg
https://cdn.ncbi.nlm.nih.gov/pmc/blobs/fe70/11993616/2f3e510cf85d/41598_2025_97159_Fig23_HTML.jpg
https://cdn.ncbi.nlm.nih.gov/pmc/blobs/fe70/11993616/1dacfbbc4dd7/41598_2025_97159_Fig24_HTML.jpg
https://cdn.ncbi.nlm.nih.gov/pmc/blobs/fe70/11993616/c1b6fc4f0cbd/41598_2025_97159_Fig25_HTML.jpg
https://cdn.ncbi.nlm.nih.gov/pmc/blobs/fe70/11993616/f7a0c47b9ae5/41598_2025_97159_Fig26_HTML.jpg
https://cdn.ncbi.nlm.nih.gov/pmc/blobs/fe70/11993616/8ba1fedd9710/41598_2025_97159_Fig27_HTML.jpg
https://cdn.ncbi.nlm.nih.gov/pmc/blobs/fe70/11993616/0cec224520aa/41598_2025_97159_Fig1_HTML.jpg
https://cdn.ncbi.nlm.nih.gov/pmc/blobs/fe70/11993616/4fe9964a5026/41598_2025_97159_Fig2_HTML.jpg
https://cdn.ncbi.nlm.nih.gov/pmc/blobs/fe70/11993616/801cd0ad793c/41598_2025_97159_Fig3_HTML.jpg
https://cdn.ncbi.nlm.nih.gov/pmc/blobs/fe70/11993616/27d46b958bfe/41598_2025_97159_Fig4_HTML.jpg
https://cdn.ncbi.nlm.nih.gov/pmc/blobs/fe70/11993616/c30bde2aca42/41598_2025_97159_Fig5_HTML.jpg
https://cdn.ncbi.nlm.nih.gov/pmc/blobs/fe70/11993616/cdc5224991aa/41598_2025_97159_Fig6_HTML.jpg
https://cdn.ncbi.nlm.nih.gov/pmc/blobs/fe70/11993616/2e38f25c9e27/41598_2025_97159_Fig7_HTML.jpg
https://cdn.ncbi.nlm.nih.gov/pmc/blobs/fe70/11993616/388cf7311af4/41598_2025_97159_Fig8_HTML.jpg
https://cdn.ncbi.nlm.nih.gov/pmc/blobs/fe70/11993616/543fcc61fbcc/41598_2025_97159_Fig9_HTML.jpg
https://cdn.ncbi.nlm.nih.gov/pmc/blobs/fe70/11993616/dfce96a6f881/41598_2025_97159_Fig10_HTML.jpg
https://cdn.ncbi.nlm.nih.gov/pmc/blobs/fe70/11993616/bc4c0af30414/41598_2025_97159_Fig11_HTML.jpg
https://cdn.ncbi.nlm.nih.gov/pmc/blobs/fe70/11993616/71122c3baf68/41598_2025_97159_Fig12_HTML.jpg
https://cdn.ncbi.nlm.nih.gov/pmc/blobs/fe70/11993616/a125f79f1e09/41598_2025_97159_Fig13_HTML.jpg
https://cdn.ncbi.nlm.nih.gov/pmc/blobs/fe70/11993616/92485d5cb5f0/41598_2025_97159_Fig14_HTML.jpg
https://cdn.ncbi.nlm.nih.gov/pmc/blobs/fe70/11993616/263bab778cf2/41598_2025_97159_Fig15_HTML.jpg
https://cdn.ncbi.nlm.nih.gov/pmc/blobs/fe70/11993616/1be6de602cfd/41598_2025_97159_Fig16_HTML.jpg
https://cdn.ncbi.nlm.nih.gov/pmc/blobs/fe70/11993616/39e99cb7fe1a/41598_2025_97159_Fig17_HTML.jpg
https://cdn.ncbi.nlm.nih.gov/pmc/blobs/fe70/11993616/4646224ccd82/41598_2025_97159_Fig18_HTML.jpg
https://cdn.ncbi.nlm.nih.gov/pmc/blobs/fe70/11993616/9518190d06a4/41598_2025_97159_Fig19_HTML.jpg
https://cdn.ncbi.nlm.nih.gov/pmc/blobs/fe70/11993616/71b443940e2a/41598_2025_97159_Fig20_HTML.jpg
https://cdn.ncbi.nlm.nih.gov/pmc/blobs/fe70/11993616/0cb855b10235/41598_2025_97159_Fig21_HTML.jpg
https://cdn.ncbi.nlm.nih.gov/pmc/blobs/fe70/11993616/066d3ce64d9d/41598_2025_97159_Fig22_HTML.jpg
https://cdn.ncbi.nlm.nih.gov/pmc/blobs/fe70/11993616/2f3e510cf85d/41598_2025_97159_Fig23_HTML.jpg
https://cdn.ncbi.nlm.nih.gov/pmc/blobs/fe70/11993616/1dacfbbc4dd7/41598_2025_97159_Fig24_HTML.jpg
https://cdn.ncbi.nlm.nih.gov/pmc/blobs/fe70/11993616/c1b6fc4f0cbd/41598_2025_97159_Fig25_HTML.jpg
https://cdn.ncbi.nlm.nih.gov/pmc/blobs/fe70/11993616/f7a0c47b9ae5/41598_2025_97159_Fig26_HTML.jpg
https://cdn.ncbi.nlm.nih.gov/pmc/blobs/fe70/11993616/8ba1fedd9710/41598_2025_97159_Fig27_HTML.jpg

相似文献

1
Integrating advanced deep learning techniques for enhanced detection and classification of citrus leaf and fruit diseases.集成先进的深度学习技术以增强柑橘叶部和果实病害的检测与分类。
Sci Rep. 2025 Apr 12;15(1):12659. doi: 10.1038/s41598-025-97159-0.
2
Classification of Citrus Diseases Using Optimization Deep Learning Approach.基于优化深度学习方法的柑橘病害分类。
Comput Intell Neurosci. 2022 Feb 10;2022:9153207. doi: 10.1155/2022/9153207. eCollection 2022.
3
Automatic Classification Service System for Citrus Pest Recognition Based on Deep Learning.基于深度学习的柑橘虫害识别自动分类服务系统。
Sensors (Basel). 2022 Nov 18;22(22):8911. doi: 10.3390/s22228911.
4
Supervised Hyperspectral Band Selection Using Texture Features for Classification of Citrus Leaf Diseases with YOLOv8.使用纹理特征进行监督式高光谱波段选择以利用YOLOv8对柑橘叶部病害进行分类
Sensors (Basel). 2025 Feb 9;25(4):1034. doi: 10.3390/s25041034.
5
Citrus diseases detection using innovative deep learning approach and Hybrid Meta-Heuristic.利用创新深度学习方法和混合元启发式算法进行柑橘病害检测。
PLoS One. 2025 Jan 22;20(1):e0316081. doi: 10.1371/journal.pone.0316081. eCollection 2025.
6
A citrus fruits and leaves dataset for detection and classification of citrus diseases through machine learning.一个用于通过机器学习检测和分类柑橘类疾病的柑橘果实和叶片数据集。
Data Brief. 2019 Aug 22;26:104340. doi: 10.1016/j.dib.2019.104340. eCollection 2019 Oct.
7
Detection of citrus diseases in complex backgrounds based on image-text multimodal fusion and knowledge assistance.基于图像-文本多模态融合与知识辅助的复杂背景下柑橘病害检测
Front Plant Sci. 2023 Nov 27;14:1280365. doi: 10.3389/fpls.2023.1280365. eCollection 2023.
8
Advancing plant leaf disease detection integrating machine learning and deep learning.融合机器学习与深度学习推进植物叶片病害检测
Sci Rep. 2025 Apr 4;15(1):11552. doi: 10.1038/s41598-024-72197-2.
9
Deep learning based ensemble model for accurate tomato leaf disease classification by leveraging ResNet50 and MobileNetV2 architectures.基于深度学习的集成模型,通过利用ResNet50和MobileNetV2架构实现番茄叶病的准确分类。
Sci Rep. 2025 Apr 22;15(1):13904. doi: 10.1038/s41598-025-98015-x.
10
Development of a handheld GPU-assisted DSC-TransNet model for the real-time classification of plant leaf disease using deep learning approach.基于深度学习方法开发用于植物叶片病害实时分类的手持式GPU辅助DSC-TransNet模型。
Sci Rep. 2025 Jan 28;15(1):3579. doi: 10.1038/s41598-024-82629-8.

引用本文的文献

1
DBA-ViNet: an effective deep learning framework for fruit disease detection and classification using explainable AI.DBA-ViNet:一种使用可解释人工智能进行水果疾病检测和分类的有效深度学习框架。
BMC Plant Biol. 2025 Jul 28;25(1):965. doi: 10.1186/s12870-025-07015-6.

本文引用的文献

1
Text Data Augmentation for Deep Learning.用于深度学习的文本数据增强
J Big Data. 2021;8(1):101. doi: 10.1186/s40537-021-00492-0. Epub 2021 Jul 19.
2
Early Detection of Plant Viral Disease Using Hyperspectral Imaging and Deep Learning.利用高光谱成像和深度学习技术早期检测植物病毒病
Sensors (Basel). 2021 Jan 22;21(3):742. doi: 10.3390/s21030742.
3
Causability and explainability of artificial intelligence in medicine.人工智能在医学中的可归因性与可解释性。
Wiley Interdiscip Rev Data Min Knowl Discov. 2019 Jul-Aug;9(4):e1312. doi: 10.1002/widm.1312. Epub 2019 Apr 2.
4
A citrus fruits and leaves dataset for detection and classification of citrus diseases through machine learning.一个用于通过机器学习检测和分类柑橘类疾病的柑橘果实和叶片数据集。
Data Brief. 2019 Aug 22;26:104340. doi: 10.1016/j.dib.2019.104340. eCollection 2019 Oct.
5
Using Deep Learning for Image-Based Plant Disease Detection.利用深度学习进行基于图像的植物病害检测。
Front Plant Sci. 2016 Sep 22;7:1419. doi: 10.3389/fpls.2016.01419. eCollection 2016.
6
Deep learning.深度学习。
Nature. 2015 May 28;521(7553):436-44. doi: 10.1038/nature14539.
7
Digital image processing techniques for detecting, quantifying and classifying plant diseases.用于检测、量化和分类植物病害的数字图像处理技术。
Springerplus. 2013 Dec 7;2(1):660. doi: 10.1186/2193-1801-2-660.
8
Current epidemiological understanding of citrus Huanglongbing .目前对柑橘黄龙病的流行病学认识。
Annu Rev Phytopathol. 2010;48:119-39. doi: 10.1146/annurev-phyto-073009-114418.