Liu Min, Wang Xueyan, Yang Yong, Tu Fengqin, Yu Li, Ma Fei, Wang Xuefang, Jiang Xiaoming, Dou Xinjing, Li Peiwu, Zhang Liangxiao
Key Laboratory of Edible Oil Quality and Safety, State Administration for Market Regulation, Key Laboratory of Biology and Genetic Improvement of Oil Crops, Ministry of Agriculture and Rural Affairs, Quality Inspection and Test Center for Oilseed Products, Ministry of Agriculture and Rural Affairs, Oil Crops Research Institute, Chinese Academy of Agricultural Sciences, Wuhan 430062, China.
Wuhan Institute for Food and Cosmetic Control, Wuhan 430040, China.
Foods. 2025 Apr 1;14(7):1235. doi: 10.3390/foods14071235.
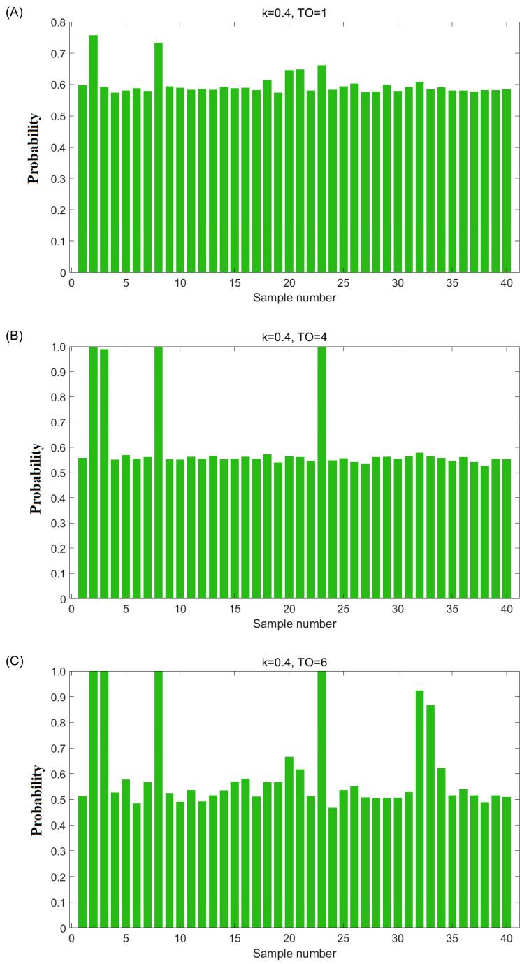
Adulteration detection or authentication is considered a type of one-class classification (OCC) in chemometrics. An effective OCC model requires representative samples. However, it is challenging to collect representative samples from all over the world. Moreover, it is also very hard to evaluate the representativeness of collected samples. In this study, we blazed a new trail to propose an authentication method to identify adulterated edible oils without building a prediction model beforehand. An authentication method developed by real-time one-class classification modeling, and model population analysis was designed to identify adulterated oils in the market without building a classification model beforehand. The underlying philosophy of the method is that the sum of the absolute centered residual (ACR) of the good model built by only authentic samples is higher than that of the bad model built by authentic and adulterated samples. In detail, a large number of OCC models were built by selecting partial samples out of inspected samples using Monte Carlo sampling. Then, adulterated samples involved in the test of these good models were identified. Taking the inspected samples of avocado oils as an example, as a result, 6 out of 40 avocado oils were identified as adulterated and then validated by chemical markers. The successful identification of avocado oils adulterated with soybean oil, corn oil, or rapeseed oil validated the effectiveness of our method. The proposed method provides a novel idea for oils as well as other high-value food adulteration detection.
掺假检测或认证在化学计量学中被视为一类分类(OCC)问题。一个有效的OCC模型需要有代表性的样本。然而,从世界各地收集有代表性的样本具有挑战性。此外,评估所收集样本的代表性也非常困难。在本研究中,我们开辟了一条新路径,提出了一种无需预先建立预测模型即可识别掺假食用油的认证方法。通过实时一类分类建模开发的认证方法以及模型总体分析旨在无需预先建立分类模型即可识别市场上的掺假油。该方法的基本原理是,仅由正品样本构建的良好模型的绝对中心化残差(ACR)之和高于由正品和掺假样本构建的不良模型的ACR之和。具体而言,通过蒙特卡洛采样从检验样本中选择部分样本构建大量OCC模型。然后,识别参与这些良好模型测试的掺假样本。以鳄梨油的检验样本为例,结果,40种鳄梨油中有6种被鉴定为掺假,随后通过化学标记物进行了验证。成功鉴定出掺有大豆油、玉米油或菜籽油的鳄梨油,验证了我们方法的有效性。所提出的方法为油脂以及其他高价值食品掺假检测提供了新思路。