Zhang Song, Tang Jiahui, Cui Pin, He Weihuang, Lin Xiaohui, Wang Shubing, Liu Yuanxian, Tan Xiaohua, Xu Shu, Feng Mingji, Lai Hanming
Department of Otolaryngology, Shenzhen Guangming District People's Hospital, Shenzhen, China.
Shenzhen Rapha Biotechnology Incorporate, Shenzhen, China.
Head Neck. 2025 Sep;47(9):2499-2506. doi: 10.1002/hed.28154. Epub 2025 Apr 21.
The incidence of Nasopharyngeal carcinoma (NPC) is rising in recent years, especially in some non-developed parts of the world. Hence, cost-efficient means for sensitive detection of NPC are vital.
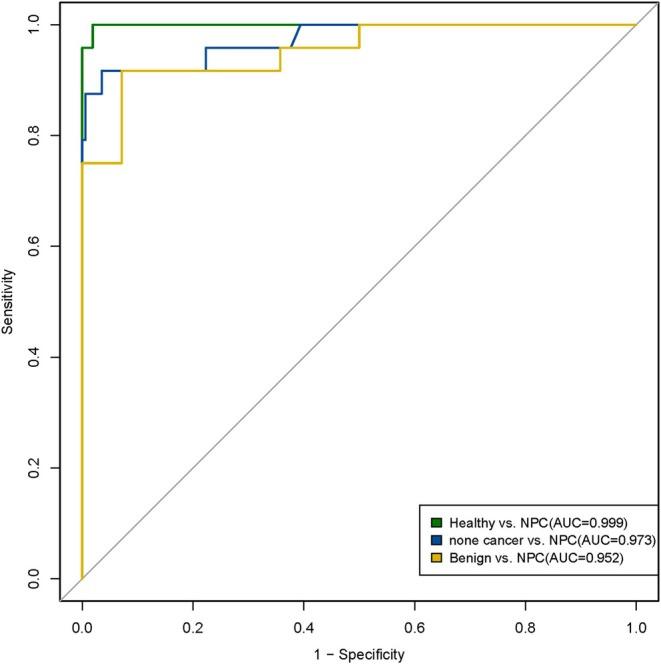
We recruited 646 participants, including healthy individuals, patients with benign nasopharyngeal diseases, and NPC patients for plasma cell-free DNA(cfDNA), which underwent low-depth whole-genome sequencing (WGS) to extract multi-dimensional molecular features, including fragmentation pattern, end motif, copy number variation(CNV), and transcription factors(TF). Based on these features, we employed a machine learning algorithm to build prediction models for NPC detection.
We achieved a sensitivity of 95.8% and a specificity of 99.4% to discriminate NPC patients from healthy individuals.
This study can be a proof-of-concept for these multi-dimensional molecular features to be implemented as a noninvasive approach for the detection and even early detection of NPC.
近年来,鼻咽癌(NPC)的发病率呈上升趋势,尤其是在世界上一些不发达地区。因此,采用具有成本效益的方法来灵敏检测鼻咽癌至关重要。
我们招募了646名参与者,包括健康个体、鼻咽良性疾病患者和鼻咽癌患者,对其血浆游离DNA(cfDNA)进行低深度全基因组测序(WGS),以提取多维度分子特征,包括片段化模式、末端基序、拷贝数变异(CNV)和转录因子(TF)。基于这些特征,我们采用机器学习算法构建用于鼻咽癌检测的预测模型。
在区分鼻咽癌患者与健康个体方面,我们实现了95.8%的灵敏度和99.4%的特异性。
本研究可为将这些多维度分子特征作为鼻咽癌检测甚至早期检测的非侵入性方法提供概念验证。