Suppr超能文献

功能正常的老年人血压指标与脑老化的流体生物标志物之间的关系。

Relationships between blood pressure indicators and fluid biomarkers of brain aging in functionally intact older adults.

作者信息

VandeBunte Anna M, Ortiz Bailey L, Paolillo Emily W, Saloner Rowan, Diaz Valentina, Dutt Shubir, Cadwallader Claire J, Chen Coty, Lago Argentina Lario, Rojas Julio C, Chan Brandon, Sible Isabel, Kramer Joel H, Casaletto Kaitlin B

机构信息

Memory and Aging Center, Department of Neurology, University of California, San Francisco, 675 Nelson Rising Lane, Suite 190, San Francisco, CA, 94158, USA.

Palo Alto University, Palo Alto, CA, 94304, USA.

出版信息

Alzheimers Res Ther. 2025 Apr 21;17(1):85. doi: 10.1186/s13195-025-01731-9.

Abstract

BACKGROUND

Dementia risk is significantly shaped by cardiovascular health, with elevated blood pressure emerging as a key risk factor for adverse brain aging. Blood biomarkers such as pTau181, Aβ42/40, NfL, and GFAP have improved our understanding of dementia pathophysiology, however, few studies have explored how specific blood pressure metrics relate to biomarker levels, which could inform personalized dementia prevention strategies as these biomarkers move into clinic. We examined how different blood pressure metrics associated with molecular markers of astrocytic activation (GFAP), neuronal axon breakdown (NfL), and Alzheimer's disease pathobiology (pTau181, Aβ42/40) in plasma.

METHODS

109 functionally intact (Clinical Dementia Rating Scale = 0) older adults completed blood draws with plasma assayed for Aβ42/40, GFAP, NfL, and pTau181 (Quanterix Simoa) and in-lab blood pressure quantification. Blood pressure metrics included diastolic blood pressure, systolic blood pressure, and pulse pressure (systolic minus diastolic). Separate regression models evaluated plasma biomarkers as a function of each blood pressure metric, adjusting for age and biological sex. Interaction models tested whether relationships between blood pressure metrics and plasma biomarkers differed by sex, age, or APOE-ε4 status.

RESULTS

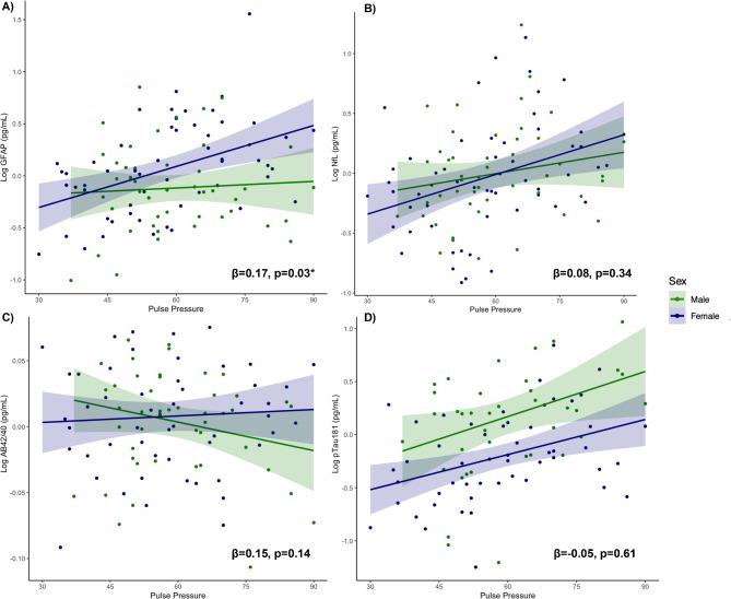
With the exception of Aβ42/40, higher pulse pressure related to higher levels of all plasma biomarkers examined (pTau181, NfL, GFAP). Additionally, higher systolic blood pressure related to higher pTau181, while diastolic blood pressure did not meaningfully associate with any biomarker. Interaction models revealed a significantly stronger relationship between elevated pulse pressure and higher GFAP concentrations in females compared to males, as well as a significantly stronger association between elevated pulse pressure and lower Aβ42/40 plasma concentrations in APOE-ε4 carriers compared to non-carriers.

CONCLUSIONS

Our findings suggest that elevated pulse pressure, and to a lesser extent systolic blood pressure, are associated with increased Alzheimer's disease and neurodegenerative (axonal and astrocytic health) biology among typically aging adults. These associations underscore the importance of blood pressure management, particularly pulse pressure, for reducing dementia risk. Cardiovascular health may be incorporated with biomarkers to further personalize dementia prevention and management strategies.

摘要

背景

痴呆风险受心血管健康的显著影响,血压升高已成为不良脑老化的关键风险因素。诸如磷酸化tau蛋白181(pTau181)、淀粉样蛋白β42/40(Aβ42/40)、神经丝轻链(NfL)和胶质纤维酸性蛋白(GFAP)等血液生物标志物增进了我们对痴呆病理生理学的理解,然而,很少有研究探讨特定血压指标与生物标志物水平之间的关系,随着这些生物标志物进入临床应用,这可能为个性化痴呆预防策略提供依据。我们研究了不同的血压指标与血浆中星形胶质细胞激活分子标志物(GFAP)、神经元轴突分解标志物(NfL)以及阿尔茨海默病病理生物学标志物(pTau181、Aβ42/40)之间的关联。

方法

109名功能完好(临床痴呆评定量表=0)的老年人完成了血液采集,检测血浆中的Aβ42/40、GFAP、NfL和pTau181(Quanterix Simoa),并进行了实验室血压定量检测。血压指标包括舒张压、收缩压和脉压(收缩压减去舒张压)。分别采用回归模型评估血浆生物标志物作为各血压指标的函数,并对年龄和生物学性别进行校正。交互模型检验血压指标与血浆生物标志物之间的关系是否因性别、年龄或载脂蛋白E-ε4(APOE-ε4)状态而异。

结果

除Aβ42/40外,较高的脉压与所检测的所有血浆生物标志物(pTau181、NfL、GFAP)水平升高相关。此外,较高的收缩压与较高的pTau181相关,而舒张压与任何生物标志物均无显著关联。交互模型显示,与男性相比,女性中脉压升高与较高的GFAP浓度之间的关系显著更强,与非携带者相比,APOE-ε4携带者中脉压升高与较低的Aβ42/40血浆浓度之间的关联也显著更强。

结论

我们的研究结果表明,脉压升高以及在较小程度上收缩压升高,与典型衰老成年人中阿尔茨海默病和神经退行性变(轴突和星形胶质细胞健康)生物学的增加有关。这些关联强调了血压管理,尤其是脉压管理对于降低痴呆风险的重要性。心血管健康可与生物标志物相结合,以进一步个性化痴呆预防和管理策略。

https://cdn.ncbi.nlm.nih.gov/pmc/blobs/4240/12010523/284d74626e34/13195_2025_1731_Fig1_HTML.jpg

文献AI研究员

20分钟写一篇综述,助力文献阅读效率提升50倍。

立即体验

用中文搜PubMed

大模型驱动的PubMed中文搜索引擎

马上搜索

文档翻译

学术文献翻译模型,支持多种主流文档格式。

立即体验