Suppr超能文献

结合光合特性和叶片高光谱反射率以早期检测水分胁迫。

Combine photosynthetic characteristics and leaf hyperspectral reflectance for early detection of water stress.

作者信息

Li Linbao, Huang Guiyun, Wu Jinhua, Yu Yunchao, Zhang Guangxin, Su Yang, Wang Xiongying, Chen Huiyuan, Wang Yeqing, Wu Di

机构信息

Yangtze River Biodiversity Research Centre, China Three Gorges Corporation, Wuhan, China.

China Three Gorges Corporation, Hubei Key Laboratory of Rare Resource Plants in Three Gorges Reservoir Area, Yichang, China.

出版信息

Front Plant Sci. 2025 Apr 9;16:1520304. doi: 10.3389/fpls.2025.1520304. eCollection 2025.

Abstract

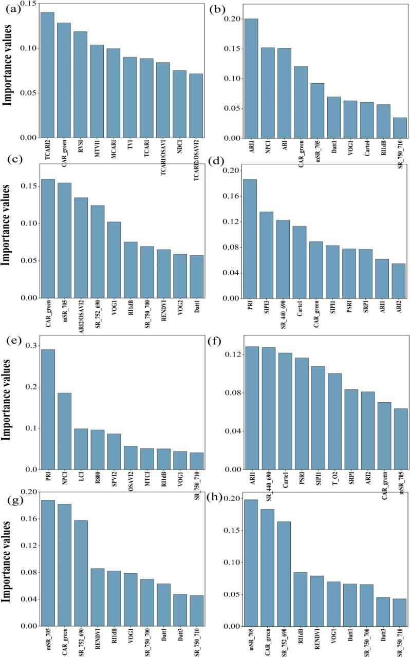
Advanced techniques capable of early and non-destructive detection of the impacts of water stress on trees and estimation of the underlying photosynthetic capacities on larger scale are necessary to meet the challenges of limiting plant growth and ecological protection caused by drought. We tested influence of continuous water stress on photosynthetic traits including Leaf Chlorophyll content (LCC) and Chlorophyll Fluorescence (ChlF) and combined hyperspectral reflectance as a high-throughput approach for early and non-destructive assessment of LCC and ChlF traits in trees. LCC and ChlF parameters (NPQ, Fv'/Fm', ETR, ETRmax, Fm', qL, qP, Y(II) were measured alongside leaf hyperspectral reflectance from suffering from constant drought during water stress. Water stress caused NPQ, Fv'/Fm', ETRmax, Fm', qL, qP, Y(II) and ETR continuous decline throughout the entire drought period. ChlF was more sensitive to drought monitoring than LCC. The original reflectance spectra and hyperspectral vegetation indices (SVIs) showed a strong correlation with LCC and ChlF. Reflectance in 540-560nm and 750-1100nm and selected SVI such as Simple Ratio (SR)752/690 can track drought responses effectively before leaves showed drought symptoms. Multivariate Linear Regression (MLR) and three machine learning algorithms, namely Random Forest (RF), Support Vector Machine (SVM), and K-Nearest Neighbor (KNN) were employed to develop models for estimating LCC and ChlF parameters. RF provided the best estimation accuracy for LCC compared to MLR, KNN and SVM, achieving an R value of 0.895 for all LCC samples. The canopy layer significantly influenced the estimation accuracy of LCC, with the middle layer yielding the highest R value. RF also demonstrated superior performance compared to MLR, KNN and SVM for estimating NPQ, Fv'/Fm', ETRmax, Fm', qL, qP, Y(II) and ETR, achieving R value of 0.854 for NPQ, 0.610 for Fv'/Fm', 0.878 for ETRmax, 0.676 for Fm', 0.604 for qL, 0.731 for qP, 0.879 for Y(II), and 0.740 for ETR. Our results indicate that photosynthetic traits combined hyperspectral reflectance can monitor the effect of drought on trees effectively with significant potential for monitoring drought over large areas.

摘要

为应对干旱导致的植物生长受限和生态保护挑战,需要先进技术来早期、无损地检测水分胁迫对树木的影响,并在更大尺度上估算潜在光合能力。我们测试了持续水分胁迫对光合特性的影响,包括叶片叶绿素含量(LCC)和叶绿素荧光(ChlF),并结合高光谱反射率作为一种高通量方法,用于早期、无损评估树木的LCC和ChlF特性。在水分胁迫期间,对遭受持续干旱的树木,同时测量LCC和ChlF参数(NPQ、Fv'/Fm'、ETR、ETRmax、Fm'、qL、qP、Y(II))以及叶片高光谱反射率。水分胁迫导致NPQ、Fv'/Fm'、ETRmax、Fm'、qL、qP、Y(II)和ETR在整个干旱期持续下降。ChlF对干旱监测比LCC更敏感。原始反射光谱和高光谱植被指数(SVIs)与LCC和ChlF显示出很强的相关性。540 - 560nm和750 - 1100nm的反射率以及选定像简单比值(SR)752/690这样的SVI可以在叶片出现干旱症状之前有效地追踪干旱响应。采用多元线性回归(MLR)和三种机器学习算法,即随机森林(RF)、支持向量机(SVM)和K近邻(KNN)来建立估算LCC和ChlF参数的模型。与MLR、KNN 和 SVM相比,RF对LCC提供了最佳估算精度:所有LCC样本的R值达到0.895。冠层显著影响LCC的估算精度,中层的R值最高。在估算NPQ、Fv'/Fm'、ETRmax、Fm'、qL、qP、Y(II)和ETR方面,RF也表现出优于MLR、KNN和SVM的性能,NPQ的R值为0.854,Fv'/Fm'为0.610,ETRmax为0.878,Fm'为0.676,qL为0.604,qP为0.731,Y(II)为0.879,ETR为0.740。我们的结果表明,光合特性结合高光谱反射率可以有效监测干旱对树木的影响,并具有大面积监测干旱的巨大潜力。

https://cdn.ncbi.nlm.nih.gov/pmc/blobs/88a6/12014561/186d152132a9/fpls-16-1520304-g001.jpg

文献AI研究员

20分钟写一篇综述,助力文献阅读效率提升50倍。

立即体验

用中文搜PubMed

大模型驱动的PubMed中文搜索引擎

马上搜索

文档翻译

学术文献翻译模型,支持多种主流文档格式。

立即体验