Suppr超能文献

利用深度学习进行特征选择以通过红外光谱成像对肾组织微阵列进行分类

Exploring Feature Selection with Deep Learning for Kidney Tissue Microarray Classification Using Infrared Spectral Imaging.

作者信息

Caterer Zachary, Langlois Jordan, McKeown Connor, Hady Mikayla, Stumo Samuel, Setty Suman, Walsh Michael, Gomes Rahul

机构信息

Interdisciplinary Quantitative Biology PhD Program, Biofrontier's Institute, University of Colorado Boulder, Boulder, CO 80303, USA.

Department of Computer Science, University of Wisconsin Eau Claire, Eau Claire, WI 54701, USA.

出版信息

Bioengineering (Basel). 2025 Mar 31;12(4):366. doi: 10.3390/bioengineering12040366.

Abstract

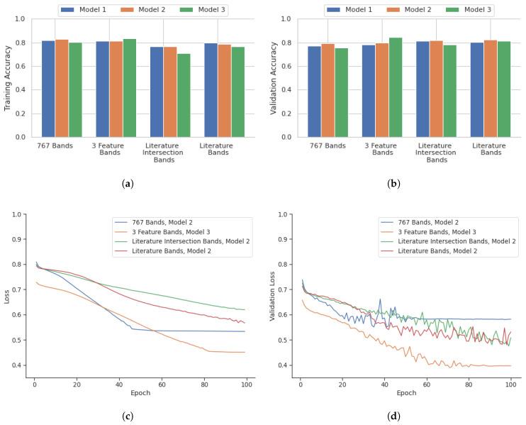
Kidney and renal pelvic cancer are a significant cause of cancer-related deaths, with the most common malignant kidney tumor being renal cell carcinoma (RCC). Chromophobe renal cell carcinoma is a rarer form of RCC that poses significant challenges to accurate diagnosis, as it shares many histologic features with Oncocytoma, a benign renal tumor. Biopsies for histopathological and immunohistochemical analysis have limitations in distinguishing chromophobe RCC from Oncocytoma. Syndromic cases may also have tumors with overlapping features. Techniques such as infrared (IR) spectroscopic imaging have shown promise as an alternative approach to tissue diagnostics. In this study, we propose a deep-learning-based framework for automating classification in kidney tumor tissue microarrays (TMAs) using an IR dataset. Feature selection algorithms reduce data dimensionality, followed by a deep learning classification approach. A classification accuracy of 91.3% was observed for validation data, even with the use of 13.6% of all wavelengths, thereby reducing training time by 21% compared to using the entire spectrum. Through the integration of scalable deep learning models coupled with feature selection, we have developed a classification pipeline with high predictive power, which could be integrated into a high-throughput real-time IR imaging system. This would create an advanced diagnostic tool for the detection and classification of renal tumors, namely chromophobe RCC and Oncocytoma. This may impact patient outcomes and treatment strategies.

摘要

肾癌和肾盂癌是癌症相关死亡的重要原因,最常见的恶性肾肿瘤是肾细胞癌(RCC)。嫌色性肾细胞癌是肾细胞癌的一种较罕见形式,由于它与良性肾肿瘤嗜酸性细胞瘤有许多组织学特征相同,因此给准确诊断带来了重大挑战。用于组织病理学和免疫组织化学分析的活检在区分嫌色性肾细胞癌和嗜酸性细胞瘤方面存在局限性。综合征病例的肿瘤特征也可能重叠。红外(IR)光谱成像等技术已显示出作为组织诊断替代方法的潜力。在本研究中,我们提出了一个基于深度学习的框架,用于使用红外数据集对肾肿瘤组织微阵列(TMA)进行自动分类。特征选择算法降低数据维度,然后采用深度学习分类方法。即使仅使用所有波长的13.6%,验证数据的分类准确率仍达到91.3%,与使用整个光谱相比,训练时间减少了21%。通过将可扩展的深度学习模型与特征选择相结合,我们开发了一种具有高预测能力的分类流程,该流程可集成到高通量实时红外成像系统中。这将创建一种先进的诊断工具,用于检测和分类肾肿瘤,即嫌色性肾细胞癌和嗜酸性细胞瘤。这可能会影响患者的治疗结果和治疗策略。

https://cdn.ncbi.nlm.nih.gov/pmc/blobs/0e44/12024776/6ad98946438e/bioengineering-12-00366-g001.jpg

文献AI研究员

20分钟写一篇综述,助力文献阅读效率提升50倍。

立即体验

用中文搜PubMed

大模型驱动的PubMed中文搜索引擎

马上搜索

文档翻译

学术文献翻译模型,支持多种主流文档格式。

立即体验