Suppr超能文献

Local Equilibrium Approximation in Non-Equilibrium Thermodynamics of Diffusion.

作者信息

Kristiansen Kim R, Hafskjold Bjørn

机构信息

PoreLab, Department of Chemistry, Norwegian University of Science and Technology (NTNU), N-7491 Trondheim, Norway.

出版信息

Entropy (Basel). 2025 Apr 8;27(4):400. doi: 10.3390/e27040400.

Abstract

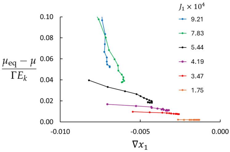
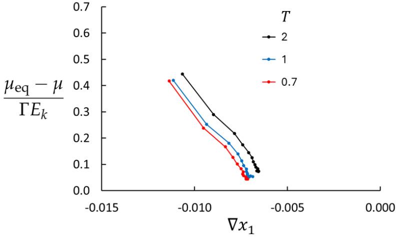
Local equilibrium approximation (LEA) is a central assumption in many applications of non-equilibrium thermodynamics involving the transport of energy, mass, and momentum. However, assessing the validity of the LEA remains challenging due to the limited development of tools for characterizing non-equilibrium states compared to equilibrium states. To address this, we have developed a theory based on kinetic theory, which provides a nonlinear extension of the telegrapher's equation commonly discussed in non-equilibrium frameworks that extend beyond LEA. A key result of this theory is a steady-state diffusion equation that accounts for the constraint imposed by available thermal energy on the diffusion flux. The theory is suitable for analysis of steady-state composition profiles and can be used to quantify the deviation from the local equilibrium. To validate the theory and test LEA, we performed molecular dynamics simulations on a two-component system where the two components had identical physical properties. The results show that deviation from the local equilibrium can be systematically quantified, and for the diffusion process we have studied here, we have confirmed that LEA remains accurate even under extreme concentration gradients in gas mixtures.

摘要
https://cdn.ncbi.nlm.nih.gov/pmc/blobs/fe91/12025999/d4da2ffc6ebf/entropy-27-00400-g001.jpg

相似文献

1
Local Equilibrium Approximation in Non-Equilibrium Thermodynamics of Diffusion.
Entropy (Basel). 2025 Apr 8;27(4):400. doi: 10.3390/e27040400.
3
Transport properties of 2F <==> F2 in a temperature gradient as studied by molecular dynamics simulations.
Phys Chem Chem Phys. 2007 Feb 28;9(8):969-81. doi: 10.1039/b614530b. Epub 2007 Jan 5.
5
Local equilibrium in liquid phase shock waves.
Phys Rev E. 2023 Mar;107(3-2):035108. doi: 10.1103/PhysRevE.107.035108.
6
Irreversible thermodynamics of multicomponent fluids and its statistical mechanics basis.
Phys Rev E. 2021 Mar;103(3-1):032121. doi: 10.1103/PhysRevE.103.032121.
7
Theory for non-equilibrium statistical mechanics.
Phys Chem Chem Phys. 2006 Aug 21;8(31):3585-611. doi: 10.1039/b604284h. Epub 2006 Jul 7.
8
Stochastic telegrapher's approach for solving the random Boltzmann-Lorentz gas.
Phys Rev E. 2022 Apr;105(4-1):044131. doi: 10.1103/PhysRevE.105.044131.
9
Nonlocal-in-time finite-velocity diffusion approach on a ring.
Phys Rev E. 2024 Aug;110(2-1):024141. doi: 10.1103/PhysRevE.110.024141.
10
Fisher and Shannon Functionals for Hyperbolic Diffusion.
Entropy (Basel). 2023 Dec 6;25(12):1627. doi: 10.3390/e25121627.

本文引用的文献

2
The entropy concept for non-equilibrium states.
Proc Math Phys Eng Sci. 2013 Oct 8;469(2158):20130408. doi: 10.1098/rspa.2013.0408.

文献AI研究员

20分钟写一篇综述,助力文献阅读效率提升50倍。

立即体验

用中文搜PubMed

大模型驱动的PubMed中文搜索引擎

马上搜索

文档翻译

学术文献翻译模型,支持多种主流文档格式。

立即体验