• 文献检索
  • 文档翻译
  • 深度研究
  • 学术资讯
  • Suppr Zotero 插件Zotero 插件
  • 邀请有礼
  • 套餐&价格
  • 历史记录
应用&插件
Suppr Zotero 插件Zotero 插件浏览器插件Mac 客户端Windows 客户端微信小程序
定价
高级版会员购买积分包购买API积分包
服务
文献检索文档翻译深度研究API 文档MCP 服务
关于我们
关于 Suppr公司介绍联系我们用户协议隐私条款
关注我们

Suppr 超能文献

核心技术专利:CN118964589B侵权必究
粤ICP备2023148730 号-1Suppr @ 2026

文献检索

告别复杂PubMed语法,用中文像聊天一样搜索,搜遍4000万医学文献。AI智能推荐,让科研检索更轻松。

立即免费搜索

文件翻译

保留排版,准确专业,支持PDF/Word/PPT等文件格式,支持 12+语言互译。

免费翻译文档

深度研究

AI帮你快速写综述,25分钟生成高质量综述,智能提取关键信息,辅助科研写作。

立即免费体验

从天然森林中分离出的可培养野生酵母的多样性、分布及表型特征

Diversity, Distribution, and Phenotypic Characterization of Cultivable Wild Yeasts Isolated from Natural Forest.

作者信息

Tadesse Teshome, Dese Degife, Dabassa Anbessa, Bacha Ketema

机构信息

Biology, Mettu University, Metu, Oromia, 318, Ethiopia.

Biology, Jimma University College of Natural Sciences, Jimma, Oromia, 378, Ethiopia.

出版信息

F1000Res. 2025 Apr 8;14:105. doi: 10.12688/f1000research.160250.3. eCollection 2025.

DOI:10.12688/f1000research.160250.3
PMID:40291468
原文链接:https://pmc.ncbi.nlm.nih.gov/articles/PMC12033980/
Abstract

BACKGROUND

Yeasts are unicellular fungi that inhabit a variety of environments including plant surfaces, water, soil, and animal hosts. However, limited research has been conducted on soil and plant associated yeasts in Africa, with most studies originating from developed regions.

METHODS

This study explored the diversity, distribution, and phenotypic characterization of cultivable wild yeast in samples from rhizosphere soil, leaves, litter, and tree bark collected from South West Ethiopia. Yeast isolates were characterized using morphological, physiological and biochemical methods, Stress-tolerant yeast species were identified using Matrix-Assisted Laser Desorption Ionization-Time of Flight (MALDI-TOF).

RESULTS

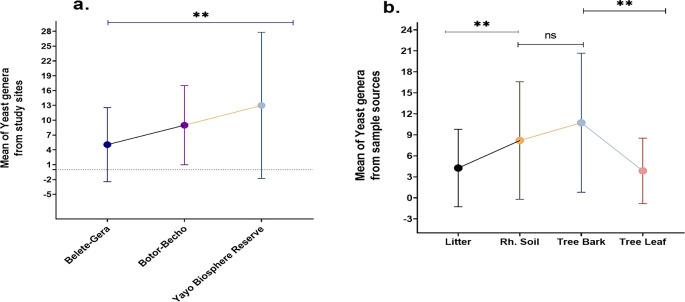
Based on morphological, physiological, and biochemical analyses, a total of 15 yeast genera were identified from 23 plant species. Predominant yeast species included spp., spp., spp., spp., spp., and spp. Plant species with the highest yeast diversity were , , , , and Bark samples yielded more yeast isolates than rhizosphere soil, litter, and leaves. Stress-tolerant species such as , , , , and were identified using MALDI-TOF. Correlation analysis revealed no significant relationship between yeast populations in bark and leaf samples or between rhizosphere soil and leaves, though a weak positive correlation was found between rhizosphere soil and bark or litter. Seasonal analysis showed a strong positive correlation between yeast abundance in spring and summer, but no association between autumn and spring.

CONCLUSION

Ethiopian forests are home for various yeast species including the stress-tolerant wild yeasts. This study highlights the significant yeast diversity in Ethiopian forests, with potential applications in improving industrial fermentation processes that operate under stressful conditions.

摘要

背景

酵母是单细胞真菌,存在于多种环境中,包括植物表面、水、土壤和动物宿主。然而,非洲关于土壤和与植物相关的酵母的研究有限,大多数研究来自发达地区。

方法

本研究探索了从埃塞俄比亚西南部采集的根际土壤、树叶、凋落物和树皮样本中可培养野生酵母的多样性、分布和表型特征。使用形态学、生理学和生化方法对酵母分离株进行表征,使用基质辅助激光解吸电离飞行时间质谱(MALDI-TOF)鉴定耐胁迫酵母物种。

结果

基于形态学、生理学和生化分析,从23种植物中鉴定出总共15个酵母属。主要的酵母物种包括……属、……属、……属、……属、……属和……属。酵母多样性最高的植物物种是……、……、……、……和……。树皮样本产生的酵母分离株比根际土壤、凋落物和树叶更多。使用MALDI-TOF鉴定出了……、……、……、……和……等耐胁迫物种。相关性分析显示,树皮和树叶样本中的酵母种群之间,以及根际土壤和树叶之间没有显著关系,不过在根际土壤与树皮或凋落物之间发现了微弱的正相关。季节性分析表明,春季和夏季的酵母丰度之间存在强正相关,但秋季和春季之间没有关联。

结论

埃塞俄比亚森林是各种酵母物种的家园,包括耐胁迫的野生酵母。本研究突出了埃塞俄比亚森林中显著的酵母多样性,在改善在胁迫条件下运行的工业发酵过程方面具有潜在应用价值。

https://cdn.ncbi.nlm.nih.gov/pmc/blobs/5a63/12034024/8d5cb1166cd1/f1000research-14-179817-g0011.jpg
https://cdn.ncbi.nlm.nih.gov/pmc/blobs/5a63/12034024/c25b73647033/f1000research-14-179817-g0000.jpg
https://cdn.ncbi.nlm.nih.gov/pmc/blobs/5a63/12034024/0f3d9307f127/f1000research-14-179817-g0001.jpg
https://cdn.ncbi.nlm.nih.gov/pmc/blobs/5a63/12034024/233ccb4cc049/f1000research-14-179817-g0002.jpg
https://cdn.ncbi.nlm.nih.gov/pmc/blobs/5a63/12034024/115f4c776140/f1000research-14-179817-g0003.jpg
https://cdn.ncbi.nlm.nih.gov/pmc/blobs/5a63/12034024/e05c9b2ec75f/f1000research-14-179817-g0004.jpg
https://cdn.ncbi.nlm.nih.gov/pmc/blobs/5a63/12034024/d97b4d27a982/f1000research-14-179817-g0005.jpg
https://cdn.ncbi.nlm.nih.gov/pmc/blobs/5a63/12034024/17d051e72749/f1000research-14-179817-g0006.jpg
https://cdn.ncbi.nlm.nih.gov/pmc/blobs/5a63/12034024/10ca6fda5b01/f1000research-14-179817-g0007.jpg
https://cdn.ncbi.nlm.nih.gov/pmc/blobs/5a63/12034024/7da675e43c36/f1000research-14-179817-g0008.jpg
https://cdn.ncbi.nlm.nih.gov/pmc/blobs/5a63/12034024/2a8693b4c8ee/f1000research-14-179817-g0009.jpg
https://cdn.ncbi.nlm.nih.gov/pmc/blobs/5a63/12034024/25d553f10107/f1000research-14-179817-g0010.jpg
https://cdn.ncbi.nlm.nih.gov/pmc/blobs/5a63/12034024/8d5cb1166cd1/f1000research-14-179817-g0011.jpg
https://cdn.ncbi.nlm.nih.gov/pmc/blobs/5a63/12034024/c25b73647033/f1000research-14-179817-g0000.jpg
https://cdn.ncbi.nlm.nih.gov/pmc/blobs/5a63/12034024/0f3d9307f127/f1000research-14-179817-g0001.jpg
https://cdn.ncbi.nlm.nih.gov/pmc/blobs/5a63/12034024/233ccb4cc049/f1000research-14-179817-g0002.jpg
https://cdn.ncbi.nlm.nih.gov/pmc/blobs/5a63/12034024/115f4c776140/f1000research-14-179817-g0003.jpg
https://cdn.ncbi.nlm.nih.gov/pmc/blobs/5a63/12034024/e05c9b2ec75f/f1000research-14-179817-g0004.jpg
https://cdn.ncbi.nlm.nih.gov/pmc/blobs/5a63/12034024/d97b4d27a982/f1000research-14-179817-g0005.jpg
https://cdn.ncbi.nlm.nih.gov/pmc/blobs/5a63/12034024/17d051e72749/f1000research-14-179817-g0006.jpg
https://cdn.ncbi.nlm.nih.gov/pmc/blobs/5a63/12034024/10ca6fda5b01/f1000research-14-179817-g0007.jpg
https://cdn.ncbi.nlm.nih.gov/pmc/blobs/5a63/12034024/7da675e43c36/f1000research-14-179817-g0008.jpg
https://cdn.ncbi.nlm.nih.gov/pmc/blobs/5a63/12034024/2a8693b4c8ee/f1000research-14-179817-g0009.jpg
https://cdn.ncbi.nlm.nih.gov/pmc/blobs/5a63/12034024/25d553f10107/f1000research-14-179817-g0010.jpg
https://cdn.ncbi.nlm.nih.gov/pmc/blobs/5a63/12034024/8d5cb1166cd1/f1000research-14-179817-g0011.jpg

相似文献

1
Diversity, Distribution, and Phenotypic Characterization of Cultivable Wild Yeasts Isolated from Natural Forest.从天然森林中分离出的可培养野生酵母的多样性、分布及表型特征
F1000Res. 2025 Apr 8;14:105. doi: 10.12688/f1000research.160250.3. eCollection 2025.
2
Occurrence and Molecular Identification of Wild Yeasts from Jimma Zone, South West Ethiopia.埃塞俄比亚西南部吉马地区野生酵母的发生情况及分子鉴定
Microorganisms. 2019 Nov 30;7(12):633. doi: 10.3390/microorganisms7120633.
3
Diversity and distribution of yeasts in indigenous fermented foods and beverages of Ethiopia.埃塞俄比亚本土发酵食品和饮料中的酵母多样性及分布。
J Sci Food Agric. 2020 Jul;100(9):3630-3638. doi: 10.1002/jsfa.10391. Epub 2020 May 3.
4
Yeasts and yeast-like fungi associated with tree bark: diversity and identification of yeasts producing extracellular endoxylanases.与树皮相关的酵母和类酵母真菌:产生胞外内切木聚糖酶的酵母的多样性与鉴定
Curr Microbiol. 2008 May;56(5):489-94. doi: 10.1007/s00284-008-9108-x. Epub 2008 Jan 25.
5
Characterization of antagonistic yeasts for biocontrol applications on apples or in soil by quantitative analyses of synthetic yeast communities.通过对合成酵母群落的定量分析来表征用于苹果或土壤生物防治应用的拮抗性酵母。
Yeast. 2018 Oct;35(10):559-566. doi: 10.1002/yea.3321. Epub 2018 Jun 1.
6
Occultifur mephitis f.a., sp. nov. and other yeast species from hypoxic and elevated CO2 mofette environments.隐匿毛皮臭霉(新种)及来自缺氧和高二氧化碳矿坑环境的其他酵母物种。
Int J Syst Evol Microbiol. 2018 Jul;68(7):2285-2298. doi: 10.1099/ijsem.0.002824. Epub 2018 May 29.
7
Competition assays and physiological experiments of soil and phyllosphere yeasts identify Candida subhashii as a novel antagonist of filamentous fungi.土壤和叶际酵母的竞争试验及生理学实验表明,苏巴希念珠菌是一种新型丝状真菌拮抗剂。
BMC Microbiol. 2017 Jan 5;17(1):4. doi: 10.1186/s12866-016-0908-z.
8
Local climatic conditions constrain soil yeast diversity patterns in Mediterranean forests, woodlands and scrub biome.当地气候条件限制了地中海森林、林地和灌丛生物群落中土壤酵母的多样性模式。
FEMS Yeast Res. 2016 Feb;16(1):fov103. doi: 10.1093/femsyr/fov103. Epub 2015 Nov 13.
9
The environmental and intrinsic yeast diversity of Cuban cocoa bean heap fermentations.古巴可可豆堆发酵过程中的环境酵母多样性和内在酵母多样性
Int J Food Microbiol. 2016 Sep 16;233:34-43. doi: 10.1016/j.ijfoodmicro.2016.06.012. Epub 2016 Jun 14.
10
Matrix-assisted laser desorption ionization-time of flight mass spectrometry for fast and reliable identification of clinical yeast isolates.基质辅助激光解吸电离飞行时间质谱法用于快速可靠地鉴定临床酵母分离株。
J Clin Microbiol. 2009 Sep;47(9):2912-7. doi: 10.1128/JCM.00389-09. Epub 2009 Jul 1.

本文引用的文献

1
Evolution and functional diversification of yeast sugar transporters.酵母糖转运蛋白的进化和功能多样化。
Essays Biochem. 2023 Sep 13;67(5):811-827. doi: 10.1042/EBC20220233.
2
Comparison of Autof Ms1000 and EXS3000 MALDI-TOF MS Platforms for Routine Identification of Microorganisms.用于微生物常规鉴定的Autof Ms1000和EXS3000基质辅助激光解吸电离飞行时间质谱平台的比较
Infect Drug Resist. 2023 Feb 15;16:913-921. doi: 10.2147/IDR.S352307. eCollection 2023.
3
Diversity of fermentative yeasts with probiotic potential isolated from Thai fermented food products.
从泰国发酵食品中分离出的具有益生菌潜力的发酵酵母的多样性。
AIMS Microbiol. 2022 Dec 26;8(4):575-594. doi: 10.3934/microbiol.2022037. eCollection 2022.
4
Genetic, Phenotypic and Metabolic Diversity of Yeasts From Wheat Flag Leaves.小麦旗叶酵母的遗传、表型和代谢多样性
Front Plant Sci. 2022 Jul 7;13:908628. doi: 10.3389/fpls.2022.908628. eCollection 2022.
5
Isolation of wild yeasts from Olympic National Park and Moniliella megachiliensis ONP131 physiological characterization for beer fermentation.从奥林匹克国家公园和 Moniliella megachiliensis ONP131 中分离野生酵母,并对其进行啤酒发酵的生理特性表征。
Food Microbiol. 2022 Jun;104:103974. doi: 10.1016/j.fm.2021.103974. Epub 2021 Dec 28.
6
Patterns of yeast diversity distribution and its drivers in rhizosphere soil of Hami melon orchards in different regions of Xinjiang.新疆不同地区哈密瓜果园根际土壤中酵母多样性分布模式及其驱动因素。
BMC Microbiol. 2021 Jun 6;21(1):170. doi: 10.1186/s12866-021-02222-1.
7
Bioethanolic yeasts from dung beetles: tapping the potential of extremophilic yeasts for improvement of lignocellulolytic feedstock fermentation.来自蜣螂的生物乙醇酵母:挖掘嗜极端环境酵母在改善木质纤维素原料发酵方面的潜力
Biotechnol Biofuels. 2021 Apr 7;14(1):86. doi: 10.1186/s13068-021-01940-y.
8
Functional Biodiversity of Yeasts Isolated from Colombian Fermented and Dry Cocoa Beans.从哥伦比亚发酵和干燥可可豆中分离出的酵母的功能多样性
Microorganisms. 2020 Jul 21;8(7):1086. doi: 10.3390/microorganisms8071086.
9
Isolation of xylose-assimilating yeasts and optimization of xylitol production by a new Meyerozyma guilliermondii strain.木糖同化酵母的分离及其新型毕赤酵母菌株木糖醇生产的优化。
Int Microbiol. 2020 May;23(2):325-334. doi: 10.1007/s10123-019-00105-0. Epub 2019 Dec 7.
10
Occurrence and Molecular Identification of Wild Yeasts from Jimma Zone, South West Ethiopia.埃塞俄比亚西南部吉马地区野生酵母的发生情况及分子鉴定
Microorganisms. 2019 Nov 30;7(12):633. doi: 10.3390/microorganisms7120633.