Suppr超能文献

黑水虻养殖作为甲壳素和壳聚糖的来源及其在混凝土中的潜在应用:综述

Black Soldier Fly Culture as a Source of Chitin and Chitosan for Its Potential Use in Concrete: An Overview.

作者信息

González-Lara Hugo, Parra-Pacheco Benito, Rico-García Enrique, Aguirre-Becerra Humberto, Feregrino-Pérez Ana Angélica, García-Trejo Juan Fernando

机构信息

División de Investigación y Posgrado, Facultad de Ingeniería, Universidad Autónoma de Querétaro, Carretera a Chichimequillas Km. 1 s/n, Amazcala, El Marqués 76265, Querétaro, Mexico.

Cuerpo Académico de Bioingeniería Básica y Aplicada, Facultad de Ingeniería, Universidad Autónoma de Querétaro, Cerro de las Campanas s/n, Las Campanas, Santiago de Querétaro 76010, Querétaro, Mexico.

出版信息

Polymers (Basel). 2025 Mar 8;17(6):717. doi: 10.3390/polym17060717.

Abstract

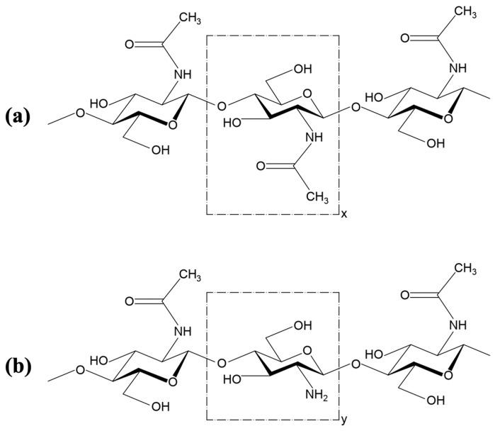
Chitin is one of the most abundant biopolymers in nature and is found mainly in the exoskeletons of crustaceans and insects, in the cell walls of fungi, and in some species of mollusks. Chitosan is a derivative of chitin; it is much more accessible and has a broader range of applications, including improving the quality of materials such as films, plastics, and concrete. The rheological properties of chitin and chitosan refer to their behavior against deformation and flow and their ability to resist structural changes under mechanical stress conditions. These properties are fundamental in applications where the aim is to control the texture, viscosity, and handling of these biopolymers. Three types of methods for the extraction of chitin and chitosan can be classified: the first is the chemical method, which presents high yields but uses reagents that generate toxic residues; the second is the biological method, which takes advantage of chemical reactions of microorganisms but in some cases has low yields compared to chemical extraction; and the third is the enzymatic method, which uses reagents with a low production of toxic residues. However, low extraction yields are also reported. One of the primary sources of chitin and chitosan is the residue of shellfish and crustaceans. However, a new source of obtaining these compounds is the black soldier fly, which has the same yields of biopolymers as shellfish. In addition, this is a residue of the black soldier fly larvae culture, where protein, oil, and biofertilizers are generated by the bioconversion of organic waste. This work proposes the black soldier fly as an alternative source for extracting chitin and chitosan, using organic methodologies that do not generate toxic residues and have high yields. Including these biopolymers in concrete elaboration could have positive results in terms of flexibility, compressive strength, and workability.

摘要

几丁质是自然界中最丰富的生物聚合物之一,主要存在于甲壳类动物和昆虫的外骨骼、真菌的细胞壁以及某些软体动物物种中。壳聚糖是几丁质的衍生物;它更容易获取且应用范围更广,包括改善薄膜、塑料和混凝土等材料的质量。几丁质和壳聚糖的流变特性是指它们在变形和流动方面的行为以及在机械应力条件下抵抗结构变化的能力。这些特性在旨在控制这些生物聚合物的质地、粘度和加工性能的应用中至关重要。几丁质和壳聚糖的提取方法可分为三类:第一类是化学方法,产量高,但使用会产生有毒残留物的试剂;第二类是生物方法,利用微生物的化学反应,但在某些情况下与化学提取相比产量较低;第三类是酶法,使用产生有毒残留物较少的试剂。然而,也有报道称提取产率较低。几丁质和壳聚糖的主要来源之一是贝类和甲壳类动物的残渣。然而,获得这些化合物的一个新来源是黑水虻,其生物聚合物的产量与贝类相同。此外,这是黑水虻幼虫养殖的残渣,其中有机废物通过生物转化产生蛋白质、油和生物肥料。这项工作提出将黑水虻作为提取几丁质和壳聚糖的替代来源,采用不产生有毒残留物且产量高的有机方法。在混凝土制备中加入这些生物聚合物在柔韧性、抗压强度和可加工性方面可能会产生积极效果。

https://cdn.ncbi.nlm.nih.gov/pmc/blobs/0d39/11945844/8b789654fd3d/polymers-17-00717-g001.jpg

文献检索

告别复杂PubMed语法,用中文像聊天一样搜索,搜遍4000万医学文献。AI智能推荐,让科研检索更轻松。

立即免费搜索

文件翻译

保留排版,准确专业,支持PDF/Word/PPT等文件格式,支持 12+语言互译。

免费翻译文档

深度研究

AI帮你快速写综述,25分钟生成高质量综述,智能提取关键信息,辅助科研写作。

立即免费体验