• 文献检索
  • 文档翻译
  • 深度研究
  • 学术资讯
  • Suppr Zotero 插件Zotero 插件
  • 邀请有礼
  • 套餐&价格
  • 历史记录
应用&插件
Suppr Zotero 插件Zotero 插件浏览器插件Mac 客户端Windows 客户端微信小程序
定价
高级版会员购买积分包购买API积分包
服务
文献检索文档翻译深度研究API 文档MCP 服务
关于我们
关于 Suppr公司介绍联系我们用户协议隐私条款
关注我们

Suppr 超能文献

核心技术专利:CN118964589B侵权必究
粤ICP备2023148730 号-1Suppr @ 2026

文献检索

告别复杂PubMed语法,用中文像聊天一样搜索,搜遍4000万医学文献。AI智能推荐,让科研检索更轻松。

立即免费搜索

文件翻译

保留排版,准确专业,支持PDF/Word/PPT等文件格式,支持 12+语言互译。

免费翻译文档

深度研究

AI帮你快速写综述,25分钟生成高质量综述,智能提取关键信息,辅助科研写作。

立即免费体验

从多个角度评估咖啡消费对心脏结构和功能的影响。

Evaluating the effects of coffee consumption on the structure and function of the heart from multiple perspectives.

作者信息

Ma Xiong-Bin, Lv Yan-Lin, Qian Lin, Yang Jing-Fen, Song Qian, Liu Yong-Ming

机构信息

The First Clinical Medical College of Lanzhou University, Lanzhou, Gansu, China.

The First Clinical Medical College of Guangdong Medical University, Zhanjiang, Guangdong, China.

出版信息

Front Cardiovasc Med. 2025 Apr 15;12:1453106. doi: 10.3389/fcvm.2025.1453106. eCollection 2025.

DOI:10.3389/fcvm.2025.1453106
PMID:40303614
原文链接:https://pmc.ncbi.nlm.nih.gov/articles/PMC12037506/
Abstract

OBJECTIVE

To assess the causal relationship between coffee consumption and cardiac structure and function in elderly European populations using multiple genetic methodologies.

METHODS

Leveraging genome-wide association study (GWAS) data from elderly European populations, we conducted linkage disequilibrium score regression (LDSC), two-step Mendelian randomization (MR), and colocalization analyses to investigate genetic associations, causal relationships, and mediating effects among these factors. Robustness of findings was verified through comprehensive sensitivity analyses.

RESULTS

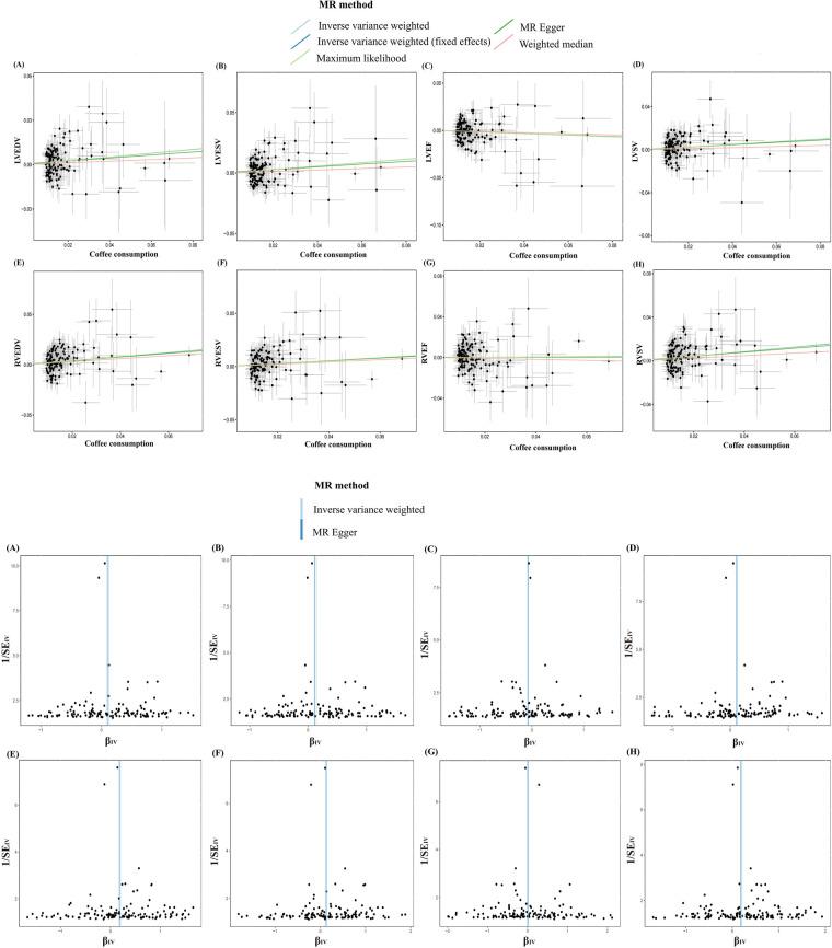
LDSC regression analysis revealed positive genetic correlations between coffee consumption and cardiac parameters, excluding left ventricular (LV) ejection fraction and right ventricular (RV) ejection fraction. MR results demonstrated favorable associations between increased coffee consumption and cardiac parameters. After applying the Bonferroni adjustment to IVW analysis, as coffee consumption increased by each 1-cup/day, LV end-diastolic volume increased ( = 0.128; 95% CI: 0.043-0.212;  = 0.002), an increase in LV end-systolic volume ( = 0.143; 95% CI: 0.053-0.232;  = 0.001), an increase in RV end-diastolic volume ( = 0.200; 95% CI: 0.095-0.305;  < 0.001), and an increase in RV stroke volume ( = 0.209; 95% CI: 0.104-0.313;  < 0.001). Mediation analyses indicated that each 1-cup/day increase in coffee consumption significantly correlated with reduced diastolic blood pressure (DBP) and elevated body mass index (BMI). Notably, higher DBP exhibited inverse associations with ventricular systolic/diastolic functional parameters, whereas increased BMI demonstrated positive associations with these parameters, collectively mitigating age-related ventricular volume loss. No U-shaped associations were detected in linear MR frameworks. Colocalization analyses confirmed shared causal genetic variants between coffee intake and cardiac remodeling phenotypes.

CONCLUSIONS

Genetically predicted coffee consumption may counteract age-associated ventricular volume loss in elderly Europeans through dual mediation pathways involving DBP reduction and BMI elevation. These structural adaptations suggest potential cardioprotective mechanisms against senile cardiac atrophy. Future studies should prioritize the integration of coffee consumption into cardiovascular risk assessment frameworks and develop personalized recommendations based on individual health profiles.

摘要

目的

运用多种遗传方法评估欧洲老年人群中咖啡摄入量与心脏结构和功能之间的因果关系。

方法

利用来自欧洲老年人群的全基因组关联研究(GWAS)数据,我们进行了连锁不平衡评分回归(LDSC)、两步孟德尔随机化(MR)和共定位分析,以研究这些因素之间的遗传关联、因果关系和中介效应。通过全面的敏感性分析验证了研究结果的稳健性。

结果

LDSC回归分析显示,除左心室(LV)射血分数和右心室(RV)射血分数外,咖啡摄入量与心脏参数之间存在正遗传相关性。MR结果表明,咖啡摄入量增加与心脏参数之间存在有益关联。在对IVW分析应用Bonferroni校正后,咖啡摄入量每增加1杯/天,左心室舒张末期容积增加(β = 0.128;95%CI:0.043 - 0.212;P = 0.002),左心室收缩末期容积增加(β = 0.143;95%CI:0.053 - 0.232;P = 0.001),右心室舒张末期容积增加(β = 0.200;95%CI:0.095 - 0.305;P < 0.001),右心室每搏输出量增加(β = 0.209;95%CI:0.104 - 0.313;P < 0.001)。中介分析表明,咖啡摄入量每增加1杯/天,与舒张压(DBP)降低和体重指数(BMI)升高显著相关。值得注意的是,较高的DBP与心室收缩/舒张功能参数呈负相关,而BMI升高与这些参数呈正相关,共同减轻了与年龄相关的心室容积损失。在线性MR框架中未检测到U型关联。共定位分析证实了咖啡摄入量与心脏重塑表型之间存在共同的因果遗传变异。

结论

遗传预测的咖啡摄入量可能通过涉及降低DBP和升高BMI的双重中介途径抵消欧洲老年人与年龄相关的心室容积损失。这些结构适应性提示了针对老年心脏萎缩的潜在心脏保护机制。未来的研究应优先将咖啡摄入量纳入心血管风险评估框架,并根据个体健康状况制定个性化建议。

https://cdn.ncbi.nlm.nih.gov/pmc/blobs/fc6b/12037506/6da7c6a3dc07/fcvm-12-1453106-g004.jpg
https://cdn.ncbi.nlm.nih.gov/pmc/blobs/fc6b/12037506/17b04a6dd610/fcvm-12-1453106-g001.jpg
https://cdn.ncbi.nlm.nih.gov/pmc/blobs/fc6b/12037506/aa12bb40fcbe/fcvm-12-1453106-g002.jpg
https://cdn.ncbi.nlm.nih.gov/pmc/blobs/fc6b/12037506/8734a6667087/fcvm-12-1453106-g003.jpg
https://cdn.ncbi.nlm.nih.gov/pmc/blobs/fc6b/12037506/6da7c6a3dc07/fcvm-12-1453106-g004.jpg
https://cdn.ncbi.nlm.nih.gov/pmc/blobs/fc6b/12037506/17b04a6dd610/fcvm-12-1453106-g001.jpg
https://cdn.ncbi.nlm.nih.gov/pmc/blobs/fc6b/12037506/aa12bb40fcbe/fcvm-12-1453106-g002.jpg
https://cdn.ncbi.nlm.nih.gov/pmc/blobs/fc6b/12037506/8734a6667087/fcvm-12-1453106-g003.jpg
https://cdn.ncbi.nlm.nih.gov/pmc/blobs/fc6b/12037506/6da7c6a3dc07/fcvm-12-1453106-g004.jpg

相似文献

1
Evaluating the effects of coffee consumption on the structure and function of the heart from multiple perspectives.从多个角度评估咖啡消费对心脏结构和功能的影响。
Front Cardiovasc Med. 2025 Apr 15;12:1453106. doi: 10.3389/fcvm.2025.1453106. eCollection 2025.
2
Associations between artificial sweetener intake from cereals, coffee, and tea and the risk of type 2 diabetes mellitus: A genetic correlation, mediation, and mendelian randomization analysis.谷物、咖啡和茶中人工甜味剂摄入与 2 型糖尿病风险的关联:遗传相关性、中介作用和孟德尔随机化分析。
PLoS One. 2024 Feb 7;19(2):e0287496. doi: 10.1371/journal.pone.0287496. eCollection 2024.
3
Genetic correlations and causal associations between BMI, HDL-C, and postoperative infections: a two-sample Mendelian randomization study.体重指数、高密度脂蛋白胆固醇与术后感染之间的遗传相关性及因果关联:一项两样本孟德尔随机化研究
Sci Rep. 2025 Apr 7;15(1):11834. doi: 10.1038/s41598-025-95812-2.
4
Effects of glycemic traits on left ventricular structure and function: a mendelian randomization study.血糖特征对左心室结构和功能的影响:一项孟德尔随机化研究。
Cardiovasc Diabetol. 2022 Jun 17;21(1):109. doi: 10.1186/s12933-022-01540-6.
5
Causal relationship between inflammatory markers and left ventricle geometry and function: A 2-sample Mendelian randomization study.炎症标志物与左心室几何形状和功能之间的因果关系:两样本孟德尔随机化研究。
Medicine (Baltimore). 2024 Jul 12;103(28):e38735. doi: 10.1097/MD.0000000000038735.
6
Coffee and tea consumption in the early adult lifespan and left ventricular function in middle age: the CARDIA study.成年早期咖啡和茶的摄入量与中年时的左心室功能:CARDIA研究
ESC Heart Fail. 2020 Aug;7(4):1510-1519. doi: 10.1002/ehf2.12684. Epub 2020 May 25.
7
Exploring new drug treatment targets for immune related bone diseases using a multi omics joint analysis strategy.使用多组学联合分析策略探索免疫相关骨疾病的新药治疗靶点。
Sci Rep. 2025 Mar 27;15(1):10618. doi: 10.1038/s41598-025-94053-7.
8
Interaction between systemic iron parameters and left ventricular structure and function in the preserved ejection fraction population: a two-sample bidirectional Mendelian randomization study.射血分数保留人群中全身铁参数与左心室结构和功能的相互作用:一项两样本双向孟德尔随机化研究
J Geriatr Cardiol. 2024 Jan 28;21(1):64-80. doi: 10.26599/1671-5411.2024.01.006.
9
Habitual Coffee Consumption Increases Risk of Primary Open-Angle Glaucoma: A Mendelian Randomization Study.习惯性喝咖啡会增加原发性开角型青光眼的风险:一项孟德尔随机研究。
Ophthalmology. 2022 Sep;129(9):1014-1021. doi: 10.1016/j.ophtha.2022.04.027. Epub 2022 May 10.
10
Association of coffee consumption and caffeine metabolism with arrhythmias and cardiac morphology: An observational, genetic, and Mendelian randomization study.咖啡摄入量和咖啡因代谢与心律失常及心脏形态的关联:一项观察性、遗传学和孟德尔随机化研究。
Heart Rhythm. 2024 Nov 27. doi: 10.1016/j.hrthm.2024.11.047.

本文引用的文献

1
Roles of flavonoids in ischemic heart disease: Cardioprotective effects and mechanisms against myocardial ischemia and reperfusion injury.黄酮类化合物在缺血性心脏病中的作用:对心肌缺血和再灌注损伤的心脏保护作用及机制
Phytomedicine. 2024 Apr;126:155409. doi: 10.1016/j.phymed.2024.155409. Epub 2024 Feb 2.
2
Mendelian randomization for cardiovascular diseases: principles and applications.孟德尔随机化在心血管疾病中的应用:原理与方法。
Eur Heart J. 2023 Dec 14;44(47):4913-4924. doi: 10.1093/eurheartj/ehad736.
3
Changes in Coffee Intake, Added Sugar and Long-Term Weight Gain - Results from Three Large Prospective US Cohort Studies.
咖啡摄入量、添加糖与长期体重增加的变化——来自三项大型前瞻性美国队列研究的结果。
Am J Clin Nutr. 2023 Dec;118(6):1164-1171. doi: 10.1016/j.ajcnut.2023.09.023. Epub 2023 Oct 1.
4
Potential Benefits of Coffee Consumption on Improving Biomarkers of Oxidative Stress and Inflammation in Healthy Individuals and Those at Increased Risk of Cardiovascular Disease.咖啡消费对改善健康个体和心血管疾病风险增加者氧化应激和炎症生物标志物的潜在益处。
Molecules. 2023 Sep 5;28(18):6440. doi: 10.3390/molecules28186440.
5
The impact of body mass index on cardiac structure and function in a cohort of obese patients without traditional cardiovascular risk factors.体重指数对一组无传统心血管危险因素的肥胖患者心脏结构和功能的影响。
Int J Cardiol Cardiovasc Risk Prev. 2023 Sep 9;19:200211. doi: 10.1016/j.ijcrp.2023.200211. eCollection 2023 Dec.
6
Sex Related Differences in the Complex Relationship between Coffee, Caffeine and Atrial Fibrillation.咖啡、咖啡因与心房颤动之间复杂关系中的性别差异
Nutrients. 2023 Jul 25;15(15):3299. doi: 10.3390/nu15153299.
7
Association between coffee and incident heart failure: A prospective cohort study from the UK Biobank.咖啡与新发心力衰竭之间的关联:一项来自英国生物银行的前瞻性队列研究。
Nutr Metab Cardiovasc Dis. 2023 Nov;33(11):2119-2127. doi: 10.1016/j.numecd.2023.07.011. Epub 2023 Jul 11.
8
Genome-wide association study and functional characterization identifies candidate genes for insulin-stimulated glucose uptake.全基因组关联研究和功能特征分析确定了胰岛素刺激葡萄糖摄取的候选基因。
Nat Genet. 2023 Jun;55(6):973-983. doi: 10.1038/s41588-023-01408-9. Epub 2023 Jun 8.
9
Coffee consumption and associations with blood pressure, LDL-cholesterol and echocardiographic measures in the general population.咖啡饮用与一般人群血压、LDL-胆固醇和超声心动图指标的关系。
Sci Rep. 2023 Mar 22;13(1):4668. doi: 10.1038/s41598-023-31857-5.
10
Deciphering genetic causes for sex differences in human health through drug metabolism and transporter genes.通过药物代谢和转运基因解码人类健康性别差异的遗传原因。
Nat Commun. 2023 Jan 12;14(1):175. doi: 10.1038/s41467-023-35808-6.