• 文献检索
  • 文档翻译
  • 深度研究
  • 学术资讯
  • Suppr Zotero 插件Zotero 插件
  • 邀请有礼
  • 套餐&价格
  • 历史记录
应用&插件
Suppr Zotero 插件Zotero 插件浏览器插件Mac 客户端Windows 客户端微信小程序
定价
高级版会员购买积分包购买API积分包
服务
文献检索文档翻译深度研究API 文档MCP 服务
关于我们
关于 Suppr公司介绍联系我们用户协议隐私条款
关注我们

Suppr 超能文献

核心技术专利:CN118964589B侵权必究
粤ICP备2023148730 号-1Suppr @ 2026

文献检索

告别复杂PubMed语法,用中文像聊天一样搜索,搜遍4000万医学文献。AI智能推荐,让科研检索更轻松。

立即免费搜索

文件翻译

保留排版,准确专业,支持PDF/Word/PPT等文件格式,支持 12+语言互译。

免费翻译文档

深度研究

AI帮你快速写综述,25分钟生成高质量综述,智能提取关键信息,辅助科研写作。

立即免费体验

1990年至2021年204个国家和地区结肠癌和直肠癌的全球负担及可归因风险因素

Global burden of colon and rectal cancer and attributable risk factors in 204 countries and territories from 1990 to 2021.

作者信息

Zhang Xuyuan, Fan Haoyu, Han Sen, Zhang Ting, Sun Yanxia, Yang Liuyang, Li Wenliang

机构信息

School of Clinical Medicine, Bengbu Medical University, Bengbu, 233030, China.

Key Laboratory of Carcinogenesis and Translational Research (Ministry of Education), Department of Thoracic Oncology II, Peking University Cancer Hospital and Institute, Beijing, 100142, China.

出版信息

BMC Gastroenterol. 2025 May 2;25(1):332. doi: 10.1186/s12876-025-03948-2.

DOI:10.1186/s12876-025-03948-2
PMID:40316922
原文链接:https://pmc.ncbi.nlm.nih.gov/articles/PMC12048922/
Abstract

OBJECTIVE

Colon and rectal cancers (CRCs) are among the most common malignancies worldwide. While previous studies have examined the disease burden and risk factors of CRC at regional levels, they lack the granularity needed for country-specific policy development. Using updated data from the Global Burden of Disease (GBD) 2021 study, this research explores the national-level spatial distribution of CRC burdens linked to key risk factors and analyzes temporal trends in their contributions. The findings aim to support the formulation of precise public health policies to effectively reduce CRC incidence.

METHODS

Based on data from the GBD study 2021, we examined CRC-related incidence, prevalence, mortality, disability-adjusted life years (DALYs), and associated risk factors. Age-standardized incidence rate (ASIR), age-standardized mortality rate (ASMR), and DALY rate (ASDR) were obtained and analyzed from 1990 to 2021. We used regression analysis and stratification across the four World Bank regions to assess geographical variations and the effect of economic development levels. We further assessed the contribution of various risk factors to CRC-related deaths and DALYs, while analyzing the distribution and temporal trends of the top three contributing risk factors.

RESULTS

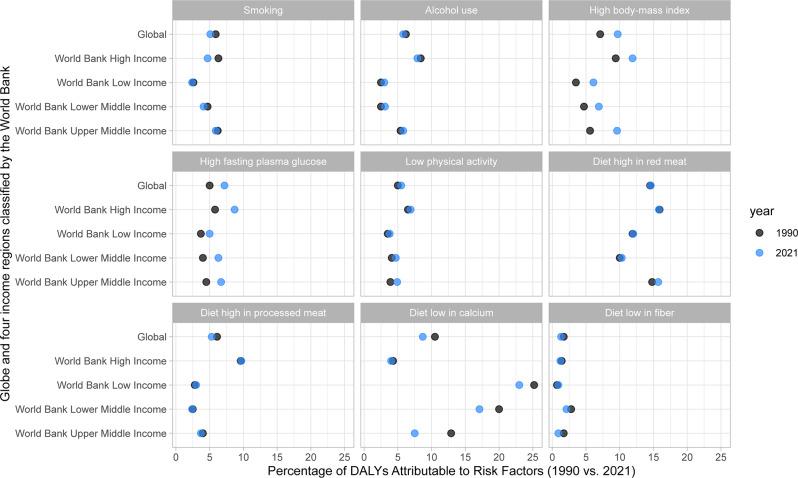
On a global scale, the ASDR for CRC declined from 357.33 per 100,000 in 1990 to 283.24 per 100,000 in 2021 (95% confidence interval [CI]: -0.82 to -0.64). In 2021, the regions classified by the World Bank as high income exhibited the highest ASDR in 2021, at 347.35 per 100,000, while the lower-middle-income regions reported the lowest ASDR, at 179.48 per 100,000. During this period, the global ASMR fell from 15.56 to 12.40 per 100,000, while the ASIR rose from 24.04 to 25.60 per 100,000. However, these trends were not consistent across different World Bank income regions. Key risk factors contributing to CRC included high red meat consumption, obesity, insufficient calcium intake, and alcohol consumption, with variations observed among the World Bank income groups.

CONCLUSION

Although the global burden of colorectal cancer (CRC) has declined from 1990 to 2021, particularly in high-income regions, the incidence rate continues to rise. The increase is more pronounced among individuals aged 50 years and older, who also bear a higher absolute incidence than younger populations. High red meat consumption, high body mass index (BMI), and low calcium intake remain the leading global risk factors for CRC. Effective weight management and the promotion of healthy lifestyles are essential strategies for reducing CRC risk across sexes, while smoking and alcohol control are particularly critical for alleviating the burden among males.

摘要

目的

结直肠癌(CRC)是全球最常见的恶性肿瘤之一。尽管先前的研究已在区域层面探讨了结直肠癌的疾病负担和风险因素,但它们缺乏制定针对特定国家政策所需的详细程度。本研究利用《2021年全球疾病负担(GBD)》研究的最新数据,探索与关键风险因素相关的结直肠癌负担在国家层面的空间分布,并分析其贡献的时间趋势。研究结果旨在支持制定精确的公共卫生政策,以有效降低结直肠癌发病率。

方法

基于《2021年全球疾病负担》研究的数据,我们研究了结直肠癌相关的发病率、患病率、死亡率、伤残调整生命年(DALYs)以及相关风险因素。获取并分析了1990年至2021年的年龄标准化发病率(ASIR)、年龄标准化死亡率(ASMR)和伤残调整生命年率(ASDR)。我们使用回归分析和世界银行四个区域的分层分析来评估地理差异和经济发展水平的影响。我们进一步评估了各种风险因素对结直肠癌相关死亡和伤残调整生命年的贡献,同时分析了前三大贡献风险因素的分布和时间趋势。

结果

在全球范围内,结直肠癌的伤残调整生命年率从1990年的每10万人357.33降至2021年的每10万人283.24(95%置信区间[CI]:-0.82至-0.64)。2021年,世界银行分类为高收入的地区在2021年的伤残调整生命年率最高,为每10万人347.35,而中低收入地区报告的伤残调整生命年率最低,为每10万人179.48。在此期间,全球年龄标准化死亡率从每10万人15.56降至12.40,而年龄标准化发病率从每10万人24.04升至25.60。然而,这些趋势在不同的世界银行收入区域并不一致。导致结直肠癌的关键风险因素包括红肉高消费、肥胖、钙摄入不足和饮酒,在世界银行收入群体中存在差异。

结论

尽管1990年至2021年期间全球结直肠癌负担有所下降,特别是在高收入地区,但发病率仍在继续上升。这种上升在50岁及以上的人群中更为明显,他们的绝对发病率也高于年轻人群。红肉高消费、高体重指数(BMI)和低钙摄入仍然是全球结直肠癌的主要风险因素。有效的体重管理和促进健康的生活方式是降低男女结直肠癌风险的重要策略,而控制吸烟和饮酒对减轻男性负担尤为关键。

https://cdn.ncbi.nlm.nih.gov/pmc/blobs/1956/12048922/9351cd737a0a/12876_2025_3948_Fig13_HTML.jpg
https://cdn.ncbi.nlm.nih.gov/pmc/blobs/1956/12048922/e8d0e5220d1a/12876_2025_3948_Fig1_HTML.jpg
https://cdn.ncbi.nlm.nih.gov/pmc/blobs/1956/12048922/7839ebb44f9f/12876_2025_3948_Fig2a_HTML.jpg
https://cdn.ncbi.nlm.nih.gov/pmc/blobs/1956/12048922/a9730407d5a3/12876_2025_3948_Fig3_HTML.jpg
https://cdn.ncbi.nlm.nih.gov/pmc/blobs/1956/12048922/a55e4311b185/12876_2025_3948_Fig4_HTML.jpg
https://cdn.ncbi.nlm.nih.gov/pmc/blobs/1956/12048922/83e06aaeeb47/12876_2025_3948_Fig5_HTML.jpg
https://cdn.ncbi.nlm.nih.gov/pmc/blobs/1956/12048922/da06c8845255/12876_2025_3948_Fig6_HTML.jpg
https://cdn.ncbi.nlm.nih.gov/pmc/blobs/1956/12048922/8e46e7a78ad5/12876_2025_3948_Fig7_HTML.jpg
https://cdn.ncbi.nlm.nih.gov/pmc/blobs/1956/12048922/78efdbeece7c/12876_2025_3948_Fig8_HTML.jpg
https://cdn.ncbi.nlm.nih.gov/pmc/blobs/1956/12048922/013b2e394087/12876_2025_3948_Fig9_HTML.jpg
https://cdn.ncbi.nlm.nih.gov/pmc/blobs/1956/12048922/1c052ea07adc/12876_2025_3948_Fig10_HTML.jpg
https://cdn.ncbi.nlm.nih.gov/pmc/blobs/1956/12048922/4c89a59d20b2/12876_2025_3948_Fig11_HTML.jpg
https://cdn.ncbi.nlm.nih.gov/pmc/blobs/1956/12048922/b67d44fca246/12876_2025_3948_Fig12a_HTML.jpg
https://cdn.ncbi.nlm.nih.gov/pmc/blobs/1956/12048922/9351cd737a0a/12876_2025_3948_Fig13_HTML.jpg
https://cdn.ncbi.nlm.nih.gov/pmc/blobs/1956/12048922/e8d0e5220d1a/12876_2025_3948_Fig1_HTML.jpg
https://cdn.ncbi.nlm.nih.gov/pmc/blobs/1956/12048922/7839ebb44f9f/12876_2025_3948_Fig2a_HTML.jpg
https://cdn.ncbi.nlm.nih.gov/pmc/blobs/1956/12048922/a9730407d5a3/12876_2025_3948_Fig3_HTML.jpg
https://cdn.ncbi.nlm.nih.gov/pmc/blobs/1956/12048922/a55e4311b185/12876_2025_3948_Fig4_HTML.jpg
https://cdn.ncbi.nlm.nih.gov/pmc/blobs/1956/12048922/83e06aaeeb47/12876_2025_3948_Fig5_HTML.jpg
https://cdn.ncbi.nlm.nih.gov/pmc/blobs/1956/12048922/da06c8845255/12876_2025_3948_Fig6_HTML.jpg
https://cdn.ncbi.nlm.nih.gov/pmc/blobs/1956/12048922/8e46e7a78ad5/12876_2025_3948_Fig7_HTML.jpg
https://cdn.ncbi.nlm.nih.gov/pmc/blobs/1956/12048922/78efdbeece7c/12876_2025_3948_Fig8_HTML.jpg
https://cdn.ncbi.nlm.nih.gov/pmc/blobs/1956/12048922/013b2e394087/12876_2025_3948_Fig9_HTML.jpg
https://cdn.ncbi.nlm.nih.gov/pmc/blobs/1956/12048922/1c052ea07adc/12876_2025_3948_Fig10_HTML.jpg
https://cdn.ncbi.nlm.nih.gov/pmc/blobs/1956/12048922/4c89a59d20b2/12876_2025_3948_Fig11_HTML.jpg
https://cdn.ncbi.nlm.nih.gov/pmc/blobs/1956/12048922/b67d44fca246/12876_2025_3948_Fig12a_HTML.jpg
https://cdn.ncbi.nlm.nih.gov/pmc/blobs/1956/12048922/9351cd737a0a/12876_2025_3948_Fig13_HTML.jpg

相似文献

1
Global burden of colon and rectal cancer and attributable risk factors in 204 countries and territories from 1990 to 2021.1990年至2021年204个国家和地区结肠癌和直肠癌的全球负担及可归因风险因素
BMC Gastroenterol. 2025 May 2;25(1):332. doi: 10.1186/s12876-025-03948-2.
2
Burden of Stomach Cancer Incidence, Mortality, Disability-Adjusted Life Years, and Risk Factors in 204 Countries, 1990-2019: An Examination of Global Burden of Disease 2019.204 个国家 1990-2019 年胃癌发病、死亡、伤残调整生命年及危险因素负担:2019 年全球疾病负担研究
J Gastrointest Cancer. 2024 Jun;55(2):787-799. doi: 10.1007/s12029-023-01005-3. Epub 2024 Jan 24.
3
Burden of colorectal cancer attributable to high body-mass index in 204 countries and territories, 1990-2021: Results from the Global Burden of Disease Study 2021.1990年至2021年204个国家和地区因高体重指数导致的结直肠癌负担:全球疾病负担研究2021结果
Public Health. 2025 May;242:388-398. doi: 10.1016/j.puhe.2025.02.040. Epub 2025 Apr 7.
4
Disparities in the global burden of tracheal, bronchus, and lung cancer from 1990 to 2019.1990年至2019年全球气管、支气管和肺癌负担的差异。
Chin Med J Pulm Crit Care Med. 2023 Mar 28;1(1):36-45. doi: 10.1016/j.pccm.2023.02.001. eCollection 2023 Mar.
5
Burden of uterine cancer in China from 1990 to 2021 and 15-year projection: a systematic analysis and comparison with global levels.中国 1990 年至 2021 年以及 15 年预测的子宫癌负担:系统分析与全球水平的比较。
Reprod Health. 2024 Oct 10;21(1):144. doi: 10.1186/s12978-024-01882-2.
6
The burden of colorectal cancer attributable to diet low in whole grains from 1990 to 2021: a global, regional and national analysis.1990年至2021年期间,因全谷物摄入量低的饮食导致的结直肠癌负担:一项全球、区域和国家层面的分析。
Front Nutr. 2025 Apr 9;12:1527522. doi: 10.3389/fnut.2025.1527522. eCollection 2025.
7
Rising Burden of Colon and Rectum Cancer in China: An Analysis of Trends, Gender Disparities, and Projections to 2030.中国结直肠癌负担上升:趋势、性别差异及2030年预测分析
Ann Surg Oncol. 2025 May;32(5):3361-3371. doi: 10.1245/s10434-025-16905-w. Epub 2025 Jan 21.
8
Evolving landscape of colorectal cancer: Global and regional burden, risk factor dynamics, and future scenarios (the Global Burden of Disease 1990-2050).结直肠癌不断演变的格局:全球和区域负担、风险因素动态变化及未来情景(1990 - 2050年全球疾病负担)
Ageing Res Rev. 2025 Feb;104:102666. doi: 10.1016/j.arr.2025.102666. Epub 2025 Jan 18.
9
Global Trends of Early, Middle, and Late-Onset Lung Cancer From 1990 to 2021: Results From the Global Burden of Disease Study 2021.1990年至2021年全球早发、中发和晚发肺癌的趋势:2021年全球疾病负担研究结果
Cancer Med. 2025 Feb;14(3):e70639. doi: 10.1002/cam4.70639.
10
Global burden of prostate cancer attributable to smoking among males in 204 countries and territories, 1990-2019.204 个国家和地区 1990-2019 年男性归因于吸烟的前列腺癌全球负担。
BMC Cancer. 2023 Jan 26;23(1):92. doi: 10.1186/s12885-023-10552-8.

引用本文的文献

1
Efficacy of non-pharmacological interventions for the restoration of postoperative intestinal motility of patients with colorectal cancer: a systematic review and meta-analysis of randomized controlled trials.非药物干预对结直肠癌患者术后肠道动力恢复的疗效:一项随机对照试验的系统评价和荟萃分析
Int J Colorectal Dis. 2025 Aug 12;40(1):176. doi: 10.1007/s00384-025-04968-w.
2
Global, regional and national burden of inflammatory bowel disease in females from 1990 to 2021: an analysis of the global burden of disease study 2021.1990年至2021年全球女性炎症性肠病的全球、区域和国家负担:全球疾病负担研究2021分析
Front Glob Womens Health. 2025 May 29;6:1580451. doi: 10.3389/fgwh.2025.1580451. eCollection 2025.

本文引用的文献

1
Global, regional, and national prevalence of adult overweight and obesity, 1990-2021, with forecasts to 2050: a forecasting study for the Global Burden of Disease Study 2021.1990年至2021年全球、区域和国家成人超重和肥胖患病率及到2050年的预测:全球疾病负担研究2021的一项预测研究
Lancet. 2025 Mar 8;405(10481):813-838. doi: 10.1016/S0140-6736(25)00355-1. Epub 2025 Mar 3.
2
Drinking pattern and time lag of alcohol consumption with colorectal cancer risk in US men and women.美国男性和女性饮酒模式及饮酒与结直肠癌风险的时间间隔
J Natl Cancer Inst. 2025 May 1;117(5):971-979. doi: 10.1093/jnci/djae330.
3
Association between visceral adiposity index and cancer risk in the UK Biobank cohort.
英国生物银行队列中内脏脂肪指数与癌症风险的关联。
Cancer. 2025 Jan 1;131(1):e35576. doi: 10.1002/cncr.35576. Epub 2024 Oct 3.
4
Global burden and strength of evidence for 88 risk factors in 204 countries and 811 subnational locations, 1990-2021: a systematic analysis for the Global Burden of Disease Study 2021.全球疾病负担研究 2021 年在 204 个国家和地区、811 个次国家级地点对 88 种风险因素的全球负担和证据强度:系统分析。
Lancet. 2024 May 18;403(10440):2162-2203. doi: 10.1016/S0140-6736(24)00933-4.
5
Global, regional, and national burden of thalassemia, 1990-2021: a systematic analysis for the global burden of disease study 2021.1990 - 2021年全球、区域和国家的地中海贫血负担:全球疾病负担研究2021的系统分析
EClinicalMedicine. 2024 May 6;72:102619. doi: 10.1016/j.eclinm.2024.102619. eCollection 2024 Jun.
6
Global burden of 288 causes of death and life expectancy decomposition in 204 countries and territories and 811 subnational locations, 1990-2021: a systematic analysis for the Global Burden of Disease Study 2021.全球 204 个国家和地区及 811 个亚级行政区 1990 年至 2021 年 288 种死因及预期寿命的归因分析:全球疾病负担研究 2021 系统分析。
Lancet. 2024 May 18;403(10440):2100-2132. doi: 10.1016/S0140-6736(24)00367-2. Epub 2024 Apr 3.
7
The underestimated impact of excess body weight on colorectal cancer risk: Evidence from the UK Biobank cohort.超重对结直肠癌风险的低估影响:来自英国生物库队列的证据。
Br J Cancer. 2023 Sep;129(5):829-837. doi: 10.1038/s41416-023-02351-6. Epub 2023 Jul 13.
8
Trends of Colorectal Cancer Incidence, Prevalence and Mortality in Worldwide From 1990 to 2017.1990年至2017年全球结直肠癌发病率、患病率和死亡率趋势
Iran J Public Health. 2023 Feb;52(2):436-445. doi: 10.18502/ijph.v52i2.11897.
9
The Burden of Early-Onset Colorectal Cancer and Its Risk Factors from 1990 to 2019: A Systematic Analysis for the Global Burden of Disease Study 2019.1990年至2019年早发性结直肠癌的负担及其危险因素:全球疾病负担研究2019的系统分析
Cancers (Basel). 2022 Jul 19;14(14):3502. doi: 10.3390/cancers14143502.
10
Population-level risks of alcohol consumption by amount, geography, age, sex, and year: a systematic analysis for the Global Burden of Disease Study 2020.人群水平的饮酒量、地理位置、年龄、性别和年份风险:2020 年全球疾病负担研究的系统分析。
Lancet. 2022 Jul 16;400(10347):185-235. doi: 10.1016/S0140-6736(22)00847-9.