• 文献检索
  • 文档翻译
  • 深度研究
  • 学术资讯
  • Suppr Zotero 插件Zotero 插件
  • 邀请有礼
  • 套餐&价格
  • 历史记录
应用&插件
Suppr Zotero 插件Zotero 插件浏览器插件Mac 客户端Windows 客户端微信小程序
定价
高级版会员购买积分包购买API积分包
服务
文献检索文档翻译深度研究API 文档MCP 服务
关于我们
关于 Suppr公司介绍联系我们用户协议隐私条款
关注我们

Suppr 超能文献

核心技术专利:CN118964589B侵权必究
粤ICP备2023148730 号-1Suppr @ 2026

文献检索

告别复杂PubMed语法,用中文像聊天一样搜索,搜遍4000万医学文献。AI智能推荐,让科研检索更轻松。

立即免费搜索

文件翻译

保留排版,准确专业,支持PDF/Word/PPT等文件格式,支持 12+语言互译。

免费翻译文档

深度研究

AI帮你快速写综述,25分钟生成高质量综述,智能提取关键信息,辅助科研写作。

立即免费体验

计算机断层扫描影像组学联合临床参数用于肝细胞癌分化:一项机器学习研究

Computed tomography radiomics combined with clinical parameters for hepatocellular carcinoma differentiation: a machine learning investigation.

作者信息

Ma Shijing, Zhu Yingying, Pu Changhong, Li Jin, Zhong Bin

机构信息

School of Basic Medical Sciences, Youjiang Medical University for Nationalities, Baise City, China.

Department of Radiology, Affiliated Hospital of Youjiang Medical University for Nationalities, Baise City, China.

出版信息

Pol J Radiol. 2025 Mar 24;90:e140-e150. doi: 10.5114/pjr/200631. eCollection 2025.

DOI:10.5114/pjr/200631
PMID:40321709
原文链接:https://pmc.ncbi.nlm.nih.gov/articles/PMC12049157/
Abstract

PURPOSE

To evaluate the performance of a combined clinical-radiomics model using multiple machine learning approaches for predicting pathological differentiation in hepatocellular carcinoma (HCC).

MATERIAL AND METHODS

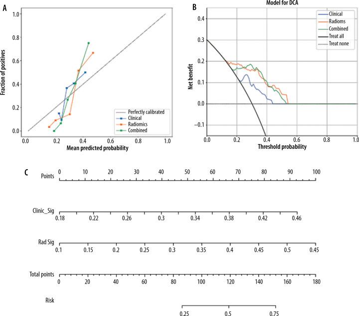
A total of 196 patients with pathologically confirmed HCC, who underwent preoperative computed tomography (CT) were retrospectively enrolled (training: = 156; validation: = 40). The modelling process included the folowing: (1) clinical model construction through logistic regression analysis of risk factors; (2) radiomics model development by comparing 6 machine learning classifiers; and (3) integration of optimal clinical and radiomic features into a combined model. Model performance was assessed using the area under the curve (AUC), calibration curves, and decision curve analysis (DCA). A nomogram was constructed for clinical implementation.

RESULTS

Two clinical risk factors (BMI and CA153) were identified as independent predictors of differentiated HCC. The clinical model showed moderate performance (AUC: training = 0.705, validation = 0.658). The radiomics model demonstrated improved prediction capability (AUC: training = 0.840, validation = 0.716). The combined model achieved the best performance in differentiating HCC pathological grades (AUC: training = 0.878, validation = 0.747).

CONCLUSIONS

The integration of CT radiomics features with clinical parameters through machine learning provides a promising non-invasive approach for predicting HCC pathological differentiation. This combined model could serve as a valuable tool for preoperative treatment planning.

摘要

目的

评估使用多种机器学习方法的临床-放射组学联合模型预测肝细胞癌(HCC)病理分化的性能。

材料与方法

回顾性纳入196例经病理证实的HCC患者,这些患者均接受了术前计算机断层扫描(CT)(训练组:n = 156;验证组:n = 40)。建模过程包括以下内容:(1)通过对危险因素进行逻辑回归分析构建临床模型;(2)通过比较6种机器学习分类器开发放射组学模型;(3)将最佳临床和放射组学特征整合到联合模型中。使用曲线下面积(AUC)、校准曲线和决策曲线分析(DCA)评估模型性能。构建列线图用于临床应用。

结果

确定了两个临床危险因素(BMI和CA153)为分化型HCC的独立预测因子。临床模型表现中等(AUC:训练组 = 0.705,验证组 = 0.658)。放射组学模型显示出更好的预测能力(AUC:训练组 = 0.840,验证组 = 0.716)。联合模型在区分HCC病理分级方面表现最佳(AUC:训练组 = 0.878,验证组 = 0.747)。

结论

通过机器学习将CT放射组学特征与临床参数相结合,为预测HCC病理分化提供了一种有前景的非侵入性方法。这种联合模型可作为术前治疗规划的有价值工具。

https://cdn.ncbi.nlm.nih.gov/pmc/blobs/5748/12049157/77126d741678/PJR-90-200631-g005.jpg
https://cdn.ncbi.nlm.nih.gov/pmc/blobs/5748/12049157/b13611ee7d7a/PJR-90-200631-g001.jpg
https://cdn.ncbi.nlm.nih.gov/pmc/blobs/5748/12049157/b7bac299889d/PJR-90-200631-g002.jpg
https://cdn.ncbi.nlm.nih.gov/pmc/blobs/5748/12049157/86f446be968b/PJR-90-200631-g003.jpg
https://cdn.ncbi.nlm.nih.gov/pmc/blobs/5748/12049157/6abc66db6208/PJR-90-200631-g004.jpg
https://cdn.ncbi.nlm.nih.gov/pmc/blobs/5748/12049157/77126d741678/PJR-90-200631-g005.jpg
https://cdn.ncbi.nlm.nih.gov/pmc/blobs/5748/12049157/b13611ee7d7a/PJR-90-200631-g001.jpg
https://cdn.ncbi.nlm.nih.gov/pmc/blobs/5748/12049157/b7bac299889d/PJR-90-200631-g002.jpg
https://cdn.ncbi.nlm.nih.gov/pmc/blobs/5748/12049157/86f446be968b/PJR-90-200631-g003.jpg
https://cdn.ncbi.nlm.nih.gov/pmc/blobs/5748/12049157/6abc66db6208/PJR-90-200631-g004.jpg
https://cdn.ncbi.nlm.nih.gov/pmc/blobs/5748/12049157/77126d741678/PJR-90-200631-g005.jpg

相似文献

1
Computed tomography radiomics combined with clinical parameters for hepatocellular carcinoma differentiation: a machine learning investigation.计算机断层扫描影像组学联合临床参数用于肝细胞癌分化:一项机器学习研究
Pol J Radiol. 2025 Mar 24;90:e140-e150. doi: 10.5114/pjr/200631. eCollection 2025.
2
Preoperative prediction for pathological grade of hepatocellular carcinoma via machine learning-based radiomics.基于机器学习的放射组学术前预测肝细胞癌的病理分级。
Eur Radiol. 2020 Dec;30(12):6924-6932. doi: 10.1007/s00330-020-07056-5. Epub 2020 Jul 22.
3
Preoperative contrast-enhanced computed tomography-based radiomics model for overall survival prediction in hepatocellular carcinoma.基于术前增强 CT 的影像组学模型预测肝细胞癌患者总生存期。
World J Gastroenterol. 2022 Aug 21;28(31):4376-4389. doi: 10.3748/wjg.v28.i31.4376.
4
Machine learning based on clinico-biological features integrated F-FDG PET/CT radiomics for distinguishing squamous cell carcinoma from adenocarcinoma of lung.基于临床生物学特征整合 F-FDG PET/CT 影像组学的机器学习鉴别肺鳞癌与腺癌。
Eur J Nucl Med Mol Imaging. 2021 May;48(5):1538-1549. doi: 10.1007/s00259-020-05065-6. Epub 2020 Oct 15.
5
Prediction of initial objective response to drug-eluting beads transcatheter arterial chemoembolization for hepatocellular carcinoma using CT radiomics-based machine learning model.基于CT影像组学的机器学习模型预测药物洗脱微球经动脉化疗栓塞治疗肝细胞癌的初始客观反应
Front Pharmacol. 2024 Jan 25;15:1315732. doi: 10.3389/fphar.2024.1315732. eCollection 2024.
6
Development and validation of a CT based radiomics nomogram for preoperative prediction of ISUP/WHO grading in renal clear cell carcinoma.基于CT的影像组学列线图在肾透明细胞癌术前预测ISUP/WHO分级中的开发与验证
Abdom Radiol (NY). 2025 Mar;50(3):1228-1239. doi: 10.1007/s00261-024-04576-2. Epub 2024 Sep 23.
7
Machine learning-based CT radiomics enhances bladder cancer staging predictions: A comparative study of clinical, radiomics, and combined models.基于机器学习的 CT 放射组学增强膀胱癌分期预测:临床、放射组学和联合模型的比较研究。
Med Phys. 2024 Sep;51(9):5965-5977. doi: 10.1002/mp.17288. Epub 2024 Jul 8.
8
Preoperatively predicting vessels encapsulating tumor clusters in hepatocellular carcinoma: Machine learning model based on contrast-enhanced computed tomography.术前预测肝细胞癌中包裹肿瘤簇的血管:基于对比增强计算机断层扫描的机器学习模型
World J Gastrointest Oncol. 2024 Mar 15;16(3):857-874. doi: 10.4251/wjgo.v16.i3.857.
9
Nomogram Based on CT Radiomics Features Combined With Clinical Factors to Predict Ki-67 Expression in Hepatocellular Carcinoma.基于CT影像组学特征联合临床因素的列线图预测肝细胞癌中Ki-67的表达
Front Oncol. 2022 Jul 6;12:943942. doi: 10.3389/fonc.2022.943942. eCollection 2022.
10
MRI-based clinical-radiomics nomogram model for predicting microvascular invasion in hepatocellular carcinoma.基于 MRI 的临床放射组学列线图模型预测肝细胞癌微血管侵犯。
Med Phys. 2024 Jul;51(7):4673-4686. doi: 10.1002/mp.17087. Epub 2024 Apr 20.

本文引用的文献

1
Ultrasound-based Radiomics Analysis for Assessing Risk Factors Associated With Early Recurrence Following Surgical Resection of Hepatocellular Carcinoma.基于超声的放射组学分析评估肝癌手术后早期复发相关的危险因素。
Ultrasound Med Biol. 2024 Dec;50(12):1964-1972. doi: 10.1016/j.ultrasmedbio.2024.09.002. Epub 2024 Sep 26.
2
MRI Radiomics Combined with Clinicopathological Factors for Predicting 3-Year Overall Survival of Hepatocellular Carcinoma After Hepatectomy.MRI影像组学联合临床病理因素预测肝癌肝切除术后3年总生存率
J Hepatocell Carcinoma. 2024 Jul 18;11:1445-1457. doi: 10.2147/JHC.S464916. eCollection 2024.
3
Radiomic analysis based on magnetic resonance imaging for the prediction of VEGF expression in hepatocellular carcinoma patients.
基于磁共振成像的影像组学分析预测肝细胞癌患者 VEGF 表达。
Abdom Radiol (NY). 2024 Nov;49(11):3824-3833. doi: 10.1007/s00261-024-04427-0. Epub 2024 Jun 19.
4
CT-based radiomics for predicting pathological grade in hepatocellular carcinoma.基于CT的放射组学在预测肝细胞癌病理分级中的应用
Front Oncol. 2024 Apr 16;14:1295575. doi: 10.3389/fonc.2024.1295575. eCollection 2024.
5
Exploring the Link between BMI and Aggressive Histopathological Subtypes in Differentiated Thyroid Carcinoma-Insights from a Multicentre Retrospective Study.探索分化型甲状腺癌中BMI与侵袭性组织病理学亚型之间的联系——一项多中心回顾性研究的见解
Cancers (Basel). 2024 Apr 7;16(7):1429. doi: 10.3390/cancers16071429.
6
Multiparametric MRI-based intratumoral and peritumoral radiomics for predicting the pathological differentiation of hepatocellular carcinoma.基于多参数磁共振成像的肿瘤内及肿瘤周围影像组学用于预测肝细胞癌的病理分化
Insights Imaging. 2024 Mar 27;15(1):97. doi: 10.1186/s13244-024-01623-w.
7
Machine Learning-Based CEMRI Radiomics Integrating LI-RADS Features Achieves Optimal Evaluation of Hepatocellular Carcinoma Differentiation.基于机器学习的结合LI-RADS特征的CEMRI影像组学实现了对肝细胞癌分化的最佳评估。
J Hepatocell Carcinoma. 2023 Nov 29;10:2103-2115. doi: 10.2147/JHC.S434895. eCollection 2023.
8
A model based on adipose and muscle-related indicators evaluated by CT images for predicting microvascular invasion in HCC patients.一种基于CT图像评估的脂肪和肌肉相关指标的模型,用于预测肝癌患者的微血管侵犯。
Biomark Res. 2023 Oct 4;11(1):87. doi: 10.1186/s40364-023-00527-z.
9
Biomarkers for immunotherapy of hepatocellular carcinoma.用于肝细胞癌免疫治疗的生物标志物。
Nat Rev Clin Oncol. 2023 Nov;20(11):780-798. doi: 10.1038/s41571-023-00816-4. Epub 2023 Sep 19.
10
Intratumoral and peritumoral radiomics model based on abdominal ultrasound for predicting Ki-67 expression in patients with hepatocellular cancer.基于腹部超声的肿瘤内及肿瘤周围放射组学模型用于预测肝细胞癌患者的Ki-67表达
Front Oncol. 2023 Aug 24;13:1209111. doi: 10.3389/fonc.2023.1209111. eCollection 2023.