Suppr超能文献

嗜酸性食管炎患者报告的疾病负担相当大,堪比更多全身性免疫介导疾病。

Eosinophilic esophagitis patients report substantial disease burden comparable to more systemic immune-mediated diseases.

作者信息

Theswet Eva, Brücker Chiara, Kreienbühl Andrea, Greuter Thomas, Schoepfer Alain M, Straumann Alex, Biedermann Luc

机构信息

Department of Gastroenterology & Hepatology, Universitäts Spital Zurich, Zurich, Switzerland.

GZO, Zurich Regional Health Center, Wetzikon, ZH, Switzerland.

出版信息

BMC Gastroenterol. 2025 May 6;25(1):336. doi: 10.1186/s12876-025-03942-8.

Abstract

BACKGROUND

Eosinophilic esophagitis (EoE) is a chronic Type 2 inflammation. One might assume that the disease-related impact on daily life is significantly smaller, given the relatively localized disease distribution, compared to more systemic immune-mediated diseases. This study aimed to evaluate the disease burden among various immune-mediated diseases, including EoE, inflammatory bowel disease (IBD), systemic sclerosis (SSC) and lupus erythematosus (SLE).

METHODS

A web-based questionnaire assessed baseline characteristics, general quality of life and disease-related impairment across several subdomains, including work, leisure and social life. The surveys were distributed by the respective Swiss patient organizations.

RESULTS

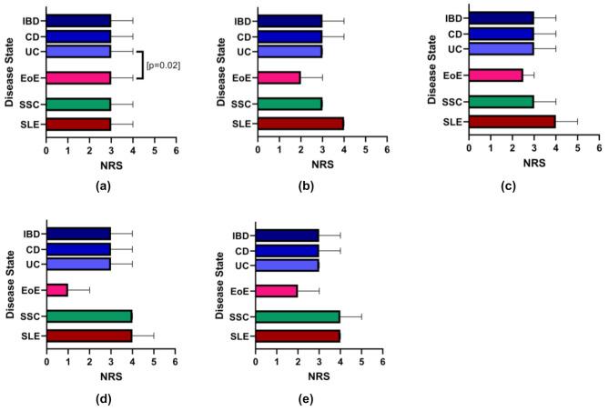
Overall, 608 patients participated in the survey (EoE: 92; IBD: 407; SSC: 69; and SLE: 40). Although the overall perceived general impairment in everyday life, measured on a numeric rating scale (NRS), was higher in Crohn's disease (CD), SSC, and SLE patients compared to EoE (median 3, IQR 2-6), there was no significant difference compared to ulcerative colitis (UC) (median 4, IQR 2-6, p = 0.31) or IBD patients overall (median 5, IQR 3-6; p = 0.05; Fig. 1a). Impairment in EoE was most pronounced and in the subdomain of leisure, consistent with other investigated diseases. Disease-related impairment was higher in women versus men and in patients with a longer diagnostic delay across all diseases.

CONCLUSIONS

EoE patients' perceived impairment in everyday life, particularly within subdomains such as leisure, is substantial and comparable to that experienced by patients with other immune-mediated disease states, including IBD. Notably, patient-perceived impairment was higher among female EoE patients and those with a longer diagnostic delay.

摘要

背景

嗜酸性食管炎(EoE)是一种慢性2型炎症。鉴于与更具全身性的免疫介导疾病相比,该疾病的分布相对局限,人们可能会认为其对日常生活的疾病相关影响要小得多。本研究旨在评估包括EoE、炎症性肠病(IBD)、系统性硬化症(SSC)和红斑狼疮(SLE)在内的各种免疫介导疾病的疾病负担。

方法

通过基于网络的问卷评估基线特征、总体生活质量以及在包括工作、休闲和社交生活等几个子领域的疾病相关损害。调查由瑞士各自的患者组织进行分发。

结果

总体而言,608名患者参与了调查(EoE:92例;IBD:407例;SSC:69例;SLE:40例)。尽管在数字评分量表(NRS)上测量的总体日常生活中感知到的一般损害在克罗恩病(CD)、SSC和SLE患者中高于EoE(中位数3,四分位间距2 - 6),但与溃疡性结肠炎(UC)(中位数4,四分位间距2 - 6,p = 0.31)或总体IBD患者(中位数5,四分位间距3 - 6;p = 0.05;图1a)相比无显著差异。EoE的损害在休闲子领域最为明显,这与其他所研究疾病一致。在所有疾病中,女性患者和诊断延迟较长的患者的疾病相关损害更高。

结论

EoE患者在日常生活中感知到的损害,特别是在休闲等子领域,是相当大的,并且与包括IBD在内的其他免疫介导疾病状态的患者所经历的损害相当。值得注意的是,女性EoE患者和诊断延迟较长的患者中患者感知到的损害更高。

https://cdn.ncbi.nlm.nih.gov/pmc/blobs/c40f/12057134/77b0e6d9abe3/12876_2025_3942_Fig1_HTML.jpg

文献检索

告别复杂PubMed语法,用中文像聊天一样搜索,搜遍4000万医学文献。AI智能推荐,让科研检索更轻松。

立即免费搜索

文件翻译

保留排版,准确专业,支持PDF/Word/PPT等文件格式,支持 12+语言互译。

免费翻译文档

深度研究

AI帮你快速写综述,25分钟生成高质量综述,智能提取关键信息,辅助科研写作。

立即免费体验