Fan Yunpeng, Gao Qiang, Cheng Haihua, Li Xilian, Xu Yang, Yuan Huwei, Yuan Xiudan, Bao Songsong, Kuan Chu, Zhang Haiqi
Agriculture Ministry Key Laboratory of Healthy Freshwater Aquaculture, Key Laboratory of Fish Health and Nutrition of Zhejiang Province, Zhejiang Institute of Freshwater Fisheries, Huzhou 313001, China.
School of Marine Science, Ningbo University, Ningbo 315211, China.
Int J Mol Sci. 2025 Apr 8;26(8):3465. doi: 10.3390/ijms26083465.
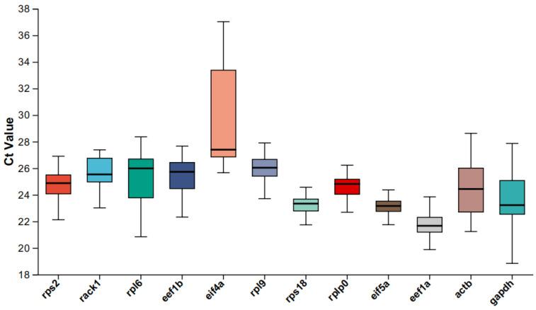
Functional gene expression is closely linked to an organism's physiology and can be quantified using Real-Time Quantitative Reverse Transcription PCR (RT-qPCR). However, the stability of reference gene expression is not absolute, which may impact the accuracy of RT-qPCR results. In this study, we evaluated the suitability of nine genes including receptor for activated protein kinase c1 (), ribosomal protein L6 (), ribosomal protein L9 (), ribosomal protein S2 (), ribosomal protein S18 (), ribosomal protein lateral stalk subunit P0 (), eukaryotic translation elongation factor 1β (), eukaryotic translation initiation factor 4a (), eukaryotic translation initiation factor 5a () analyzed from RNA sequencing (RNA-Seq) data in addition to three genes including eukaryotic elongation factor 1α (), β-actin (), and glyceraldehyde 3-phosphate dehydrogenase () selected from the literature to obtain the best internal controls in the RT-qPCR analysis of under overmating stress and natural aging. RefFinder was used to comprehensively evaluate the stability of the candidate reference genes. The initial results showed that three genes (, , and ) from the RNA-Seq data had relatively stable expression levels, which were more stable than those of the three commonly used reference genes. and were the best combination for the RT-qPCR analysis of under overmating stress and aging. Further analysis indicated that might be the best reference gene for the study of
功能基因表达与生物体的生理密切相关,可使用实时定量逆转录聚合酶链反应(RT-qPCR)进行定量。然而,内参基因表达的稳定性并非绝对,这可能会影响RT-qPCR结果的准确性。在本研究中,我们评估了9个基因的适用性,包括从RNA测序(RNA-Seq)数据中分析得到的活化蛋白激酶C1受体()、核糖体蛋白L6()、核糖体蛋白L9()、核糖体蛋白S2()、核糖体蛋白S18()、核糖体蛋白侧柄亚基P0()、真核翻译延伸因子1β()、真核翻译起始因子4a()、真核翻译起始因子5a(),此外还评估了从文献中选取的3个基因,即真核延伸因子1α()、β-肌动蛋白()和甘油醛-3-磷酸脱氢酶(),以在过度交配应激和自然衰老条件下的RT-qPCR分析中获得最佳内参。使用RefFinder综合评估候选内参基因的稳定性。初步结果表明,RNA-Seq数据中的3个基因(、和)表达水平相对稳定,比3个常用内参基因更稳定。和是过度交配应激和衰老条件下RT-qPCR分析的最佳组合。进一步分析表明,可能是研究的最佳内参基因