Suppr超能文献

接受标准治疗的转移性ALK融合阳性实体瘤患者的真实世界特征及生存结果

Real-world characteristics and survival outcomes of patients with metastatic ALK fusion-positive solid tumors treated with standard-of-care therapies.

作者信息

Gadgeel Shirish M, Fajardo Otto, Barlesi Fabrice, Eun Kim Jeong, Kurzrock Razelle, Thomas David M, Jagtiani Ritika, Noe Johannes, Schwemmers Sven, Nikolaidis Christos

机构信息

Department of Internal Medicine, Division of Hematology/Oncology, Henry Ford Cancer Institute/Henry Ford Health, Detroit, MI 48208, United States.

Real World Data Science, Product Development Data Sciences, F. Hoffmann-La Roche Ltd, Basel 4070, Switzerland.

出版信息

Oncologist. 2025 May 8;30(5). doi: 10.1093/oncolo/oyaf005.

Abstract

BACKGROUND

Anaplastic lymphoma kinase (ALK) fusions can be found in different solid tumors. This study aims to describe the clinical characteristics and investigate survival outcomes of patients with ALK fusion-positive solid tumors (excluding non-small cell lung cancer [NSCLC]) treated with standard-of-care therapies in a real-world setting.

PATIENTS AND METHODS

Data for patients with metastatic solid tumors (excluding NSCLC) who had ≥1 Foundation Medicine comprehensive genomic profiling (CGP) test between January 1, 2011 and September 30, 2023, were obtained from a nationwide (US-based) de-identified multi-tumor clinico-genomic database. Patients with ALK wild-type (ALK-WT) tumors were matched with patients with ALK fusion-positive tumors (4:1 ratio) using pre-specified baseline characteristics. Two models were used to analyze survival outcomes: Model 1 used the CGP report date as the index date; Model 2 used the date of metastatic diagnosis as the index date (including adjustment for immortal time bias).

RESULTS

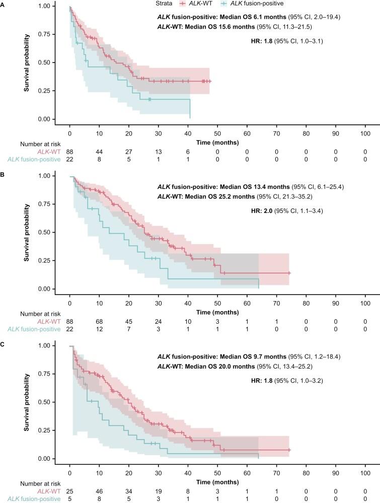
Overall, 22 and 88 patients were included in the ALK fusion-positive and ALK-WT cohorts, respectively. Co-alterations were rare in the ALK fusion-positive cohort. Median overall survival was consistently lower in patients with ALK fusion-positive tumors compared with patients with ALK-WT tumors, across all analyses (hazard ratios between 1.8 and 2.0).

CONCLUSION

Data from this study suggest that ALK fusions have a negative prognostic effect in metastatic solid tumors and highlight the need for further investigation of ALK inhibitors in the tumor-agnostic setting.

摘要

背景

间变性淋巴瘤激酶(ALK)融合可在不同实体瘤中发现。本研究旨在描述ALK融合阳性实体瘤(不包括非小细胞肺癌[NSCLC])患者在真实世界中接受标准治疗的临床特征,并调查其生存结局。

患者与方法

从一个全国性(美国)的去识别化多肿瘤临床基因组数据库中获取2011年1月1日至2023年9月30日期间接受过≥1次Foundation Medicine综合基因组分析(CGP)检测的转移性实体瘤(不包括NSCLC)患者的数据。使用预先指定的基线特征将ALK野生型(ALK-WT)肿瘤患者与ALK融合阳性肿瘤患者按4:1的比例进行匹配。采用两种模型分析生存结局:模型1以CGP报告日期作为索引日期;模型2以转移诊断日期作为索引日期(包括对不朽时间偏倚的调整)。

结果

总体而言,ALK融合阳性队列和ALK-WT队列分别纳入了22例和88例患者。ALK融合阳性队列中的共改变很少见。在所有分析中,ALK融合阳性肿瘤患者的中位总生存期始终低于ALK-WT肿瘤患者(风险比在1.8至2.0之间)。

结论

本研究数据表明,ALK融合在转移性实体瘤中具有负面预后作用,并强调了在肿瘤非特异性环境中进一步研究ALK抑制剂的必要性。

https://cdn.ncbi.nlm.nih.gov/pmc/blobs/ad09/12060714/4c4e2e45210a/oyaf005_fig1.jpg

文献检索

告别复杂PubMed语法,用中文像聊天一样搜索,搜遍4000万医学文献。AI智能推荐,让科研检索更轻松。

立即免费搜索

文件翻译

保留排版,准确专业,支持PDF/Word/PPT等文件格式,支持 12+语言互译。

免费翻译文档

深度研究

AI帮你快速写综述,25分钟生成高质量综述,智能提取关键信息,辅助科研写作。

立即免费体验