Liu Sijia, Luo Jiawei, He Chengqi
Institute of Orthopedics, West China Hospital, Sichuan University, Chengdu, 610041, Sichuan, China.
West China Biomedical Big Data Center, West China Hospital, Sichuan University, Chengdu, 610041, Sichuan, China.
J Neuroeng Rehabil. 2025 May 8;22(1):107. doi: 10.1186/s12984-025-01609-9.
Knee osteoarthritis (KOA) is a prevalent chronic disease worldwide, and traditional treatment methods lack personalized adjustment for individual patient differences and cannot meet the needs of personalized treatment.
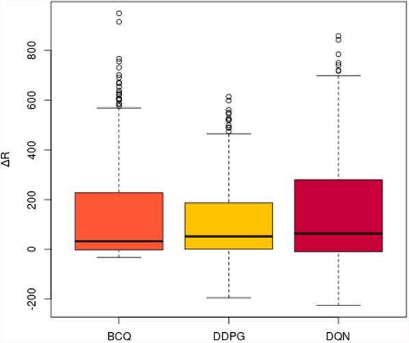
In this study, a dedicated knee osteoarthritis bank (KOADB) was constructed by collecting extensive clinical data from patients. Random forest was used to select the features that had the greatest impact on treatment decisions from 122 questionnaire items. The questionnaire design was optimized to reduce the burden on patients and ensure the validity of data collection. Then, based on the key features screened out, a dynamic treatment recommendation system was constructed by using deep reinforcement learning algorithms, including Deep Deterministic Policy Gradien(DDPG), Deep Q-Network(DQN) and Batch-Constrained Q-learning(BCQ). A large number of simulation experiments have verified the effectiveness of these algorithms in optimizing the treatment strategy of KOA. Finally, the applicability and accuracy of the model were evaluated by comparing the treatment behaviors with actual patients.
In the application of deep reinforcement learning algorithms to treatment optimization, the BCQ algorithm achieves the highest success rate (79.1%), outperforming both DQN (68.1%) and DDPG (76.2%). These algorithms significantly outperform the treatment strategies that patients actually receive, demonstrating their advantages in dealing with dynamic and complex decisions.
In this study, a deep learning-based KOA treatment optimization model was developed, which was able to adjust the treatment plan in real time and respond to changes in patient status. By integrating feature selection and reinforcement learning techniques, this study proposes an innovative method for treatment optimization, which offers new possibilities for chronic disease management and demonstrates certain feasibility in the development of personalized medicine and precision treatment strategies.
膝关节骨关节炎(KOA)是一种在全球范围内普遍存在的慢性疾病,传统治疗方法缺乏针对个体患者差异的个性化调整,无法满足个性化治疗的需求。
在本研究中,通过收集患者的大量临床数据构建了一个专门的膝关节骨关节炎数据库(KOADB)。使用随机森林从122个问卷项目中选择对治疗决策影响最大的特征。对问卷设计进行了优化,以减轻患者负担并确保数据收集的有效性。然后,基于筛选出的关键特征,使用深度强化学习算法构建了一个动态治疗推荐系统,包括深度确定性策略梯度(DDPG)、深度Q网络(DQN)和批量约束Q学习(BCQ)。大量的模拟实验验证了这些算法在优化KOA治疗策略方面的有效性。最后,通过将治疗行为与实际患者进行比较,评估了模型的适用性和准确性。
在将深度强化学习算法应用于治疗优化时,BCQ算法实现了最高成功率(79.1%),优于DQN(68.1%)和DDPG(76.2%)。这些算法显著优于患者实际接受的治疗策略,证明了它们在处理动态和复杂决策方面的优势。
在本研究中,开发了一种基于深度学习的KOA治疗优化模型,该模型能够实时调整治疗方案并应对患者状态的变化。通过整合特征选择和强化学习技术,本研究提出了一种创新的治疗优化方法,为慢性病管理提供了新的可能性,并在个性化医疗和精准治疗策略的发展中展示了一定的可行性。