Suppr超能文献

甘油三酯与高密度脂蛋白比值作为泰国糖尿病患者10年心血管疾病的预测指标。

Triglyceride to high-density lipoprotein ratio as a predictor for 10-year cardiovascular disease in individuals with diabetes in Thailand.

作者信息

Poochanasri Methavee, Lertsakulbunlue Sethapong, Kookanok Chutawat, Rangsin Ram, Kaewput Wisit, Mungthin Mathirut, Samakkarnthai Parinya

机构信息

Phramongkutklao College of Medicine, Bangkok, 10400, Thailand.

Department of Pharmacology, Phramongkutklao College of Medicine, Bangkok, 10400, Thailand.

出版信息

J Health Popul Nutr. 2025 May 9;44(1):147. doi: 10.1186/s41043-025-00835-0.

Abstract

BACKGROUND

Cardiovascular disease (CVD) remains the leading cause of morbidity and mortality worldwide. The triglyceride to high-density lipoprotein cholesterol (TG/HDL) ratio has emerged as a potential marker for CVD risk. However, its predictive value for high 10-year predicted Cardiovascular (CV) risk remains unclear; This study evaluates the predictive value of the TG/HDL-C ratio for 10-year cardiovascular risk using the Framingham Heart Study (FHS) risk prediction model in individuals with Type 2 Diabetes Mellitus (T2DM).

METHODS

A cross-sectional study was conducted on 61,004 adults from 2014,2015, and 2018 aged 30-74 years with T2DM, without a history of CVD. The FHS model was used to estimate 10-year predicted CV risk, and high CVD risk was defined as ≥ 20%. ROC curve analysis was used to determine the optimal TG/HDL cutoff for high 10-year predicted CV risk in the overall population and age-specific subgroups. Logistic regression was performed to find the association between TG/HDL and high 10-year predicted CV risk, adjusting for potential confounders.

RESULTS

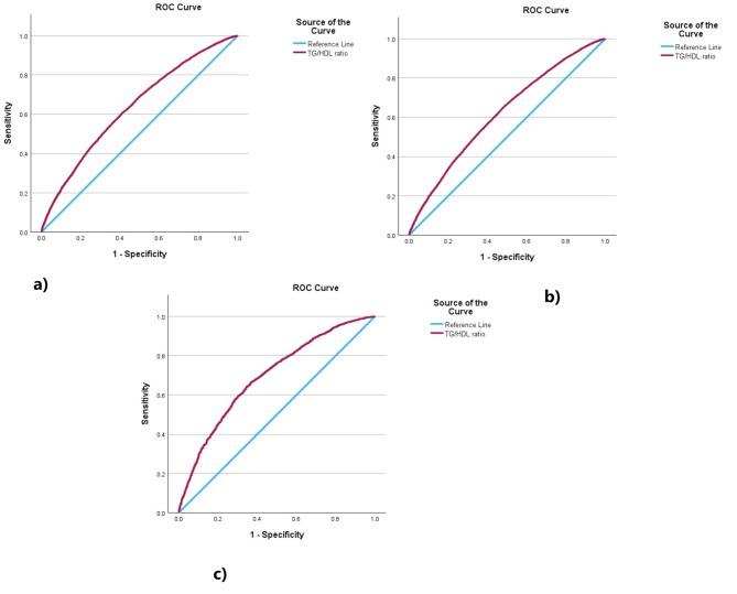
The optimal TG/HDL-C cutoff was 2.52 (AUC = 0.618, 95% CI: 0.612-0.624), with 67% sensitivity and 50% specificity. Higher TG/HDL were associated with increased odds of high predicted CVD risk in a dose-dependent manner, with an adjusted odds ratio (AOR) of 5.16 (95% CI: 4.86-5.49) in the highest TG/HDL quartile (> 4.91). Age-stratified analysis identified lower cutoffs for older adults (≥ 60 years: 2.42, AUC = 0.694) than younger individuals (< 60 years: 2.98, AUC = 0.636), indicating stronger predictive performance in older adults.

CONCLUSIONS

The TG/HDL ratio is significantly associated with 10-year predicted CVD risk in T2DM with age-specific differences in predictive value. The lower cutoff for older adults (2.42) suggests even modest elevations indicate increased risk. These findings support TG/HDL integration into routine CVD risk assessments and highlight the importance of age-specific cutoffs for improved risk stratification.

摘要

背景

心血管疾病(CVD)仍是全球发病和死亡的主要原因。甘油三酯与高密度脂蛋白胆固醇(TG/HDL)比值已成为心血管疾病风险的一个潜在标志物。然而,其对10年心血管疾病(CV)高风险的预测价值仍不明确;本研究使用弗雷明汉心脏研究(FHS)风险预测模型评估2型糖尿病(T2DM)患者中TG/HDL-C比值对10年心血管疾病风险的预测价值。

方法

对2014年、2015年和2018年年龄在30 - 74岁、患有T2DM且无心血管疾病病史的61004名成年人进行了一项横断面研究。使用FHS模型估计10年预测心血管疾病风险,高心血管疾病风险定义为≥20%。采用受试者工作特征(ROC)曲线分析确定总体人群和特定年龄亚组中10年预测心血管疾病高风险的最佳TG/HDL临界值。进行逻辑回归分析以发现TG/HDL与10年预测心血管疾病高风险之间的关联,并对潜在混杂因素进行调整。

结果

最佳TG/HDL-C临界值为2.52(AUC = 0.618,95%CI:0.612 - 0.624),敏感性为67%,特异性为50%。较高的TG/HDL与预测心血管疾病高风险几率的增加呈剂量依赖性相关,在最高TG/HDL四分位数(> 4.91)中,调整后的优势比(AOR)为5.16(95%CI:4.86 - 5.49)。年龄分层分析发现,老年人(≥60岁:2.42,AUC = 0.694)的临界值低于年轻人(< 60岁:2.98,AUC = 0.636),表明老年人的预测性能更强。

结论

TG/HDL比值与T2DM患者10年预测心血管疾病风险显著相关,且预测价值存在年龄特异性差异。老年人较低的临界值(2.42)表明,即使是适度升高也提示风险增加。这些发现支持将TG/HDL纳入常规心血管疾病风险评估,并强调了特定年龄临界值对改善风险分层的重要性。

https://cdn.ncbi.nlm.nih.gov/pmc/blobs/ca6e/12065159/9734e537ef9e/41043_2025_835_Fig1_HTML.jpg

文献AI研究员

20分钟写一篇综述,助力文献阅读效率提升50倍。

立即体验

用中文搜PubMed

大模型驱动的PubMed中文搜索引擎

马上搜索

文档翻译

学术文献翻译模型,支持多种主流文档格式。

立即体验