Suppr超能文献

TyG相关指标与骨骼健康的相关性:一项中国农村人群骨质疏松症的横断面研究

Correlations Between TyG-Related Indices and Bone Health: A Cross-Sectional Study of Osteoporosis in a Rural Chinese Population.

作者信息

Jia Fang, Lu Yuting, Wen Haotian, Tu Jun, Ning Xianjia, Wang Jinghua, Li Ping

机构信息

Department of Anesthesia, Tianjin Hospital, Tianjin, 300211, People's Republic of China.

School of Basic Medical Sciences, Tianjin Medical University, Tianjin, 300070, People's Republic of China.

出版信息

Diabetes Metab Syndr Obes. 2025 May 7;18:1445-1458. doi: 10.2147/DMSO.S505024. eCollection 2025.

Abstract

BACKGROUND

Osteoporosis (OP) is a major metabolic bone disease with significant health and socioeconomic impacts. The triglyceride-glucose (TyG) index and its derivatives, which reflect insulin resistance (IR), may play a role in bone metabolism. However, the relationship between TyG indices and OP is unclear. This study aimed to explore the association between TyG indices and OP in a low-income rural Chinese population.

METHODS

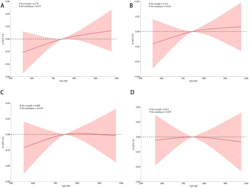
This cross-sectional study was conducted in rural Tianjin, China, in 2020. Participants aged 60 years or older were included. Data were collected through interviews, including sociodemographic and clinical information, and physical examinations. Bone mineral density (BMD) of the femoral neck was measured using dual-energy X-ray absorptiometry (DXA). Multivariate regression models and restricted cubic spline (RCS) curves were used to assess the relationships between TyG indices and OP.

RESULTS

A total of 437 individuals were included in the final analysis, with 38 diagnosed with osteoporosis (prevalence of 8.7%). After adjusting for all covariates, each 1-unit increase in triglyceride-glucose-body mass index (TyG-BMI) was associated with a 2% lower risk of osteoporosis, (OR: 0.98, 95% CI: 0.96-1.00, P=0.029), especially in women, individuals with hypertension, and non-diabetic populations. The OP risk of the fourth quartile (Q4) of the triglyceride-glucose-waist circumference (TyG-WC) index after correcting for all covariates is 5.58 times that of the first quartile (Q1)(OR: 5.58, 95% CI: 1.14-27.41, P=0.034). Linear regression showed a positive correlation between TyG-BMI and BMD, particularly in women, individuals under 70, and those with hypertension or non-hypertension, with the strongest correlation in the non-hypertensive group.

CONCLUSION

TyG-related indices are associated with OP, suggesting a potential role in the early prevention and management of osteoporosis in this population, ultimately improving public health outcomes.

摘要

背景

骨质疏松症(OP)是一种主要的代谢性骨病,对健康和社会经济有重大影响。反映胰岛素抵抗(IR)的甘油三酯-葡萄糖(TyG)指数及其衍生指标可能在骨代谢中起作用。然而,TyG指数与OP之间的关系尚不清楚。本研究旨在探讨中国低收入农村人群中TyG指数与OP之间的关联。

方法

本横断面研究于2020年在中国天津农村进行。纳入年龄在60岁及以上的参与者。通过访谈收集数据,包括社会人口学和临床信息,并进行体格检查。使用双能X线吸收法(DXA)测量股骨颈骨密度(BMD)。采用多变量回归模型和受限立方样条(RCS)曲线评估TyG指数与OP之间的关系。

结果

最终分析共纳入437人,其中38人被诊断为骨质疏松症(患病率为8.7%)。在调整所有协变量后,甘油三酯-葡萄糖-体重指数(TyG-BMI)每增加1个单位,骨质疏松症风险降低2%,(比值比:0.98,95%置信区间:0.96-1.00,P=0.029),尤其是在女性、高血压患者和非糖尿病人群中。校正所有协变量后,甘油三酯-葡萄糖-腰围(TyG-WC)指数第四四分位数(Q4)的OP风险是第一四分位数(Q1)的5.58倍(比值比:5.58,95%置信区间:1.14-27.41,P=0.034)。线性回归显示TyG-BMI与BMD呈正相关,尤其是在女性、70岁以下人群以及高血压或非高血压人群中,在非高血压组中相关性最强。

结论

TyG相关指数与OP相关,提示其在该人群骨质疏松症的早期预防和管理中可能发挥作用,最终改善公共卫生结局。

https://cdn.ncbi.nlm.nih.gov/pmc/blobs/9a3d/12067712/42901ff94f5f/DMSO-18-1445-g0001.jpg

文献检索

告别复杂PubMed语法,用中文像聊天一样搜索,搜遍4000万医学文献。AI智能推荐,让科研检索更轻松。

立即免费搜索

文件翻译

保留排版,准确专业,支持PDF/Word/PPT等文件格式,支持 12+语言互译。

免费翻译文档

深度研究

AI帮你快速写综述,25分钟生成高质量综述,智能提取关键信息,辅助科研写作。

立即免费体验