Suppr超能文献

振动强耦合下的分子极化率

Molecular Polarizability under Vibrational Strong Coupling.

作者信息

Schnappinger Thomas, Kowalewski Markus

机构信息

Department of Physics, Stockholm University, AlbaNova University Center, SE-106 91 Stockholm, Sweden.

出版信息

J Chem Theory Comput. 2025 May 27;21(10):5171-5181. doi: 10.1021/acs.jctc.5c00461. Epub 2025 May 14.

Abstract

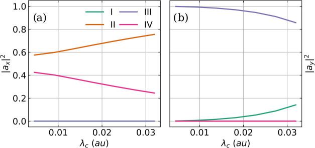
Polaritonic chemistry offers the possibility of modifying molecular properties and even influencing chemical reactivity through strong coupling between vibrational transitions and confined light modes in optical cavities. Despite considerable theoretical progress, and due to the complexity of the coupled light-matter system, the fundamental mechanism of how and if collective strong coupling can induce local changes in individual molecules is still unclear. We derive an analytical formulation of static polarizabilities within linear-response theory for molecules under strong coupling using the cavity Born-Oppenheimer Hartree-Fock ansatz. This ab-initio method consistently describes vibrational strong coupling and electron-photon interactions even for ensembles of molecules. For different types of molecular ensembles, we observed local changes in the polarizabilities and dipole moments that are induced by collective strong coupling. Furthermore, we used the polarizabilities to calculate vibro-polaritonic Raman spectra in the harmonic approximation. This allows us to comprehensively compare the effect of vibrational strong coupling on IR and Raman spectra on an equal footing.

摘要

极化激元化学提供了通过光学腔中振动跃迁与受限光模式之间的强耦合来改变分子性质甚至影响化学反应活性的可能性。尽管取得了相当大的理论进展,但由于耦合光-物质系统的复杂性,集体强耦合如何以及是否能引起单个分子的局部变化的基本机制仍不清楚。我们使用腔玻恩-奥本海默哈特里-福克近似,在线性响应理论中推导出强耦合下分子静态极化率的解析表达式。这种从头算方法即使对于分子集合也能一致地描述振动强耦合和电子-光子相互作用。对于不同类型的分子集合,我们观察到集体强耦合引起的极化率和偶极矩的局部变化。此外,我们使用极化率在简谐近似下计算振动极化激元拉曼光谱。这使我们能够在平等的基础上全面比较振动强耦合对红外光谱和拉曼光谱的影响。

https://cdn.ncbi.nlm.nih.gov/pmc/blobs/f6d9/12120982/cda8b282c003/ct5c00461_0001.jpg

文献检索

告别复杂PubMed语法,用中文像聊天一样搜索,搜遍4000万医学文献。AI智能推荐,让科研检索更轻松。

立即免费搜索

文件翻译

保留排版,准确专业,支持PDF/Word/PPT等文件格式,支持 12+语言互译。

免费翻译文档

深度研究

AI帮你快速写综述,25分钟生成高质量综述,智能提取关键信息,辅助科研写作。

立即免费体验