• 文献检索
  • 文档翻译
  • 深度研究
  • 学术资讯
  • Suppr Zotero 插件Zotero 插件
  • 邀请有礼
  • 套餐&价格
  • 历史记录
应用&插件
Suppr Zotero 插件Zotero 插件浏览器插件Mac 客户端Windows 客户端微信小程序
定价
高级版会员购买积分包购买API积分包
服务
文献检索文档翻译深度研究API 文档MCP 服务
关于我们
关于 Suppr公司介绍联系我们用户协议隐私条款
关注我们

Suppr 超能文献

核心技术专利:CN118964589B侵权必究
粤ICP备2023148730 号-1Suppr @ 2026

文献检索

告别复杂PubMed语法,用中文像聊天一样搜索,搜遍4000万医学文献。AI智能推荐,让科研检索更轻松。

立即免费搜索

文件翻译

保留排版,准确专业,支持PDF/Word/PPT等文件格式,支持 12+语言互译。

免费翻译文档

深度研究

AI帮你快速写综述,25分钟生成高质量综述,智能提取关键信息,辅助科研写作。

立即免费体验

在接受阿替利珠单抗-贝伐单抗联合治疗的晚期肝细胞癌肝硬化和非肝硬化患者中,中性粒细胞与淋巴细胞比值对生存结果的影响。

Impact of neutrophil-to-lymphocyte ratio on survival outcomes among cirrhotic and non-cirrhotic patients with advanced hepatocellular carcinoma under atezolizumab-bevacizumab combination therapy.

作者信息

Pantzios Spyridon, Sidiropoulos Orestis, Syriha Antonia, Stathopoulou Ioanna, Rellou Sofia, Nychas Emmanouil, Barla Georgia, Ptohis Nikolaos, Elefsiniotis Ioannis

机构信息

Academic Department of Internal Medicine, Hepatogastroenterology Unit, "Agioi Anargyroi" General and Oncology Hospital of Kifisia, National and Kapodistrian University of Athens, Greece (Spyridon Pantzios, Orestis Sidiropoulos, Antonia Syriha, Ioanna Stathopoulou, Sofia Rellou, Emmanouil Nychas, Georgia Barla, Nikolaos Ptohis, Ioannis Elefsiniotis).

出版信息

Ann Gastroenterol. 2025 May-Jun;38(3):319-327. doi: 10.20524/aog.2025.0963. Epub 2025 Apr 22.

DOI:10.20524/aog.2025.0963
PMID:40371202
原文链接:https://pmc.ncbi.nlm.nih.gov/articles/PMC12070338/
Abstract

BACKGROUND

The efficacy of atezolizumab-bevacizumab in patients with hepatocellular carcinoma (HCC) has not been studied separately in cirrhotic and non-cirrhotic patients. Our aim was to evaluate the efficacy of atezolizumab-bevacizumab in these patients, in relation to baseline values of the neutrophil-to-lymphocyte ratio (NLR).

METHODS

We divided 57 atezolizumab-bevacizumab-treated HCC patients according to baseline NLR (>3: NLR-H, ≤3: NLR-L) and studied overall survival (OS) and progression-free survival (PFS) in 4 groups: group A, non-cirrhotic/NLR-L; group B, non-cirrhotic/NLR-H; group C, cirrhotic/NLR-L; and group D, cirrhotic/NLR-H.

RESULTS

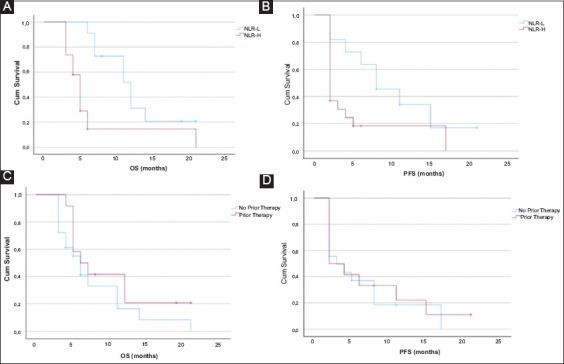
The 4 groups were comparable except for etiology, ALBI grade, macrovascular invasion, Barcelona Clinic Liver Cancer stage and prior therapy. Median OS and PFS were 30, 10, 12 and 5 months, and 14, 4, 8 and 2 months, for groups A, B, C, D, respectively (P<0.001). By Cox regression, cirrhotic/NLR-H patients showed significantly worse OS and PFS. Cirrhotic/NLR-L patients had better OS (12 vs. 5 months, P=0.002) and PFS (8 vs. 2 months, P=0.028) compared to cirrhotic/NLR-H. NLR was significantly correlated with OS (P=0.015). Non-cirrhotic/NLR-L patients had better OS (30 vs. 10 months, P=0.006) and PFS (15 vs. 4 months, P=0.01) compared to non-cirrhotic/NLR-H patients. Prior therapy was significantly correlated with better OS (30 vs. 8 months, P<0.001) and PFS (24 vs. 4 months, P<0.001) in non-cirrhotic patients.

CONCLUSIONS

Cirrhotic/NLR-H HCC patients presented the worst survival. NLR is an independent risk factor for worse survival in cirrhotic patients. Prior therapy is the only factor significantly correlated with OS and PFS in non-cirrhotic patients.

摘要

背景

阿替利珠单抗联合贝伐珠单抗在肝细胞癌(HCC)患者中的疗效尚未在肝硬化和非肝硬化患者中分别进行研究。我们的目的是评估阿替利珠单抗联合贝伐珠单抗在这些患者中的疗效,并与中性粒细胞与淋巴细胞比值(NLR)的基线值相关联。

方法

我们根据基线NLR(>3:NLR-H,≤3:NLR-L)将57例接受阿替利珠单抗联合贝伐珠单抗治疗的HCC患者分为两组,并研究了4组患者的总生存期(OS)和无进展生存期(PFS):A组,非肝硬化/NLR-L;B组,非肝硬化/NLR-H;C组,肝硬化/NLR-L;D组,肝硬化/NLR-H。

结果

除病因、ALBI分级、大血管侵犯、巴塞罗那临床肝癌分期和既往治疗外,4组患者具有可比性。A、B、C、D组的中位OS分别为30、10、12和5个月,中位PFS分别为14、4、8和2个月(P<0.001)。通过Cox回归分析,肝硬化/NLR-H患者的OS和PFS明显较差。与肝硬化/NLR-H患者相比,肝硬化/NLR-L患者的OS更好(12个月对5个月,P=0.002),PFS也更好(8个月对2个月,P=0.028)。NLR与OS显著相关(P=0.015)。与非肝硬化/NLR-H患者相比,非肝硬化/NLR-L患者的OS更好(30个月对10个月,P=0.006),PFS也更好(15个月对4个月,P=0.01)。在非肝硬化患者中,既往治疗与更好的OS(30个月对8个月,P<0.001)和PFS(24个月对4个月,P<0.001)显著相关。

结论

肝硬化/NLR-H HCC患者的生存期最差。NLR是肝硬化患者生存期较差的独立危险因素。既往治疗是与非肝硬化患者的OS和PFS显著相关的唯一因素。

https://cdn.ncbi.nlm.nih.gov/pmc/blobs/57cd/12070338/f425fda6ff06/AnnGastroenterol-38-319-g004.jpg
https://cdn.ncbi.nlm.nih.gov/pmc/blobs/57cd/12070338/55544aac6f74/AnnGastroenterol-38-319-g002.jpg
https://cdn.ncbi.nlm.nih.gov/pmc/blobs/57cd/12070338/05cdae304ad3/AnnGastroenterol-38-319-g003.jpg
https://cdn.ncbi.nlm.nih.gov/pmc/blobs/57cd/12070338/f425fda6ff06/AnnGastroenterol-38-319-g004.jpg
https://cdn.ncbi.nlm.nih.gov/pmc/blobs/57cd/12070338/55544aac6f74/AnnGastroenterol-38-319-g002.jpg
https://cdn.ncbi.nlm.nih.gov/pmc/blobs/57cd/12070338/05cdae304ad3/AnnGastroenterol-38-319-g003.jpg
https://cdn.ncbi.nlm.nih.gov/pmc/blobs/57cd/12070338/f425fda6ff06/AnnGastroenterol-38-319-g004.jpg

相似文献

1
Impact of neutrophil-to-lymphocyte ratio on survival outcomes among cirrhotic and non-cirrhotic patients with advanced hepatocellular carcinoma under atezolizumab-bevacizumab combination therapy.在接受阿替利珠单抗-贝伐单抗联合治疗的晚期肝细胞癌肝硬化和非肝硬化患者中,中性粒细胞与淋巴细胞比值对生存结果的影响。
Ann Gastroenterol. 2025 May-Jun;38(3):319-327. doi: 10.20524/aog.2025.0963. Epub 2025 Apr 22.
2
Neutrophil-to-Lymphocyte and Platelet-to-Lymphocyte Ratios as Prognostic Biomarkers in Unresectable Hepatocellular Carcinoma Treated with Atezolizumab plus Bevacizumab.中性粒细胞与淋巴细胞比值及血小板与淋巴细胞比值作为阿替利珠单抗联合贝伐单抗治疗不可切除肝细胞癌的预后生物标志物
Cancers (Basel). 2022 Nov 26;14(23):5834. doi: 10.3390/cancers14235834.
3
Evaluation of Treatment Outcomes Using dNLR and GNRI in Combination Therapy With Atezolizumab and Bevacizumab for Hepatocellular Carcinoma.使用中性粒细胞与淋巴细胞比值(dNLR)和老年营养风险指数(GNRI)评估阿替利珠单抗和贝伐单抗联合治疗肝细胞癌的疗效
Cancer Med. 2025 Jan;14(2):e70618. doi: 10.1002/cam4.70618.
4
Atezolizumab plus bevacizumab in unresectable hepatocellular carcinoma: Results from a German real-world cohort.阿替利珠单抗联合贝伐珠单抗治疗不可切除肝细胞癌:德国真实世界队列研究结果。
Aliment Pharmacol Ther. 2023 Jun;57(11):1313-1325. doi: 10.1111/apt.17441. Epub 2023 Mar 8.
5
Predictive biomarkers of survival in patients with advanced hepatocellular carcinoma receiving atezolizumab plus bevacizumab treatment.接受阿替利珠单抗联合贝伐珠单抗治疗的晚期肝细胞癌患者的生存预测标志物。
Cancer Med. 2023 Feb;12(3):2731-2738. doi: 10.1002/cam4.5161. Epub 2022 Aug 23.
6
Usefulness of neutrophil-to-lymphocyte ratio in predicting progression and survival outcomes after atezolizumab-bevacizumab treatment for hepatocellular carcinoma.中性粒细胞与淋巴细胞比值在预测阿替利珠单抗联合贝伐单抗治疗肝细胞癌后的疾病进展和生存结局中的作用
Hepatol Res. 2023 Jan;53(1):61-71. doi: 10.1111/hepr.13836. Epub 2022 Oct 4.
7
Efficacy and safety of atezolizumab plus bevacizumab in Korean patients with advanced hepatocellular carcinoma.阿替利珠单抗联合贝伐珠单抗治疗晚期肝细胞癌韩国患者的疗效和安全性。
Liver Int. 2022 Mar;42(3):674-681. doi: 10.1111/liv.15102. Epub 2021 Nov 29.
8
Combination of alpha-fetoprotein and neutrophil-to-lymphocyte ratio to predict treatment response and survival outcomes of patients with unresectable hepatocellular carcinoma treated with immune checkpoint inhibitors.联合甲胎蛋白和中性粒细胞与淋巴细胞比值预测不可切除肝细胞癌患者接受免疫检查点抑制剂治疗的治疗反应和生存结局。
BMC Cancer. 2023 Jun 15;23(1):547. doi: 10.1186/s12885-023-11003-0.
9
The Prognostic Value of Neutrophil-to-Lymphocyte Ratio and Platelet-to-Lymphocyte Ratio in Patients with Hepatocellular Carcinoma Receiving Atezolizumab Plus Bevacizumab.中性粒细胞与淋巴细胞比值及血小板与淋巴细胞比值在接受阿替利珠单抗联合贝伐单抗治疗的肝细胞癌患者中的预后价值
Cancers (Basel). 2022 Jan 11;14(2):343. doi: 10.3390/cancers14020343.
10
Reproducible safety and efficacy of atezolizumab plus bevacizumab for HCC in clinical practice: Results of the AB-real study.临床实践中阿替利珠单抗联合贝伐珠单抗治疗 HCC 的可重现安全性和疗效:AB-real 研究结果。
Eur J Cancer. 2022 Nov;175:204-213. doi: 10.1016/j.ejca.2022.08.024. Epub 2022 Sep 20.

引用本文的文献

1
Development of a novel prognostic score for 1-year survival in immunotherapy-treated patients with unresectable HCC: the ALIVE-IO score.免疫治疗的不可切除肝细胞癌患者1年生存率新型预后评分的开发:ALIVE-IO评分
Front Immunol. 2025 Aug 29;16:1648248. doi: 10.3389/fimmu.2025.1648248. eCollection 2025.

本文引用的文献

1
Tremelimumab plus Durvalumab in Unresectable Hepatocellular Carcinoma.特瑞利木单抗联合度伐利尤单抗治疗不可切除肝细胞癌。
NEJM Evid. 2022 Aug;1(8):EVIDoa2100070. doi: 10.1056/EVIDoa2100070. Epub 2022 Jun 6.
2
Mechanisms of Resistance to Immunotherapy in Hepatocellular Carcinoma.肝细胞癌中免疫治疗耐药的机制
J Hepatocell Carcinoma. 2023 Nov 3;10:1955-1971. doi: 10.2147/JHC.S291553. eCollection 2023.
3
Atezolizumab plus bevacizumab versus active surveillance in patients with resected or ablated high-risk hepatocellular carcinoma (IMbrave050): a randomised, open-label, multicentre, phase 3 trial.
阿替利珠单抗联合贝伐珠单抗对比主动监测用于治疗接受手术切除或消融治疗的高风险肝细胞癌患者(IMbrave050):一项随机、开放标签、多中心、III 期临床试验。
Lancet. 2023 Nov 18;402(10415):1835-1847. doi: 10.1016/S0140-6736(23)01796-8. Epub 2023 Oct 20.
4
Efficacy of immunotherapy in hepatocellular carcinoma: Does liver disease etiology have a role?免疫疗法在肝细胞癌中的疗效:肝脏疾病病因是否起作用?
Dig Liver Dis. 2024 Apr;56(4):579-588. doi: 10.1016/j.dld.2023.08.062. Epub 2023 Sep 25.
5
Irreconcilable Differences: The Divorce Between Response Rates, Progression-Free Survival, and Overall Survival.不可调和的差异:缓解率、无进展生存期和总生存期之间的脱节
J Clin Oncol. 2023 May 20;41(15):2706-2712. doi: 10.1200/JCO.23.00225. Epub 2023 Mar 17.
6
The predictive value of neutrophil-to-lymphocyte ratio for overall survival and pathological complete response in breast cancer patients receiving neoadjuvant chemotherapy.中性粒细胞与淋巴细胞比值对接受新辅助化疗的乳腺癌患者总生存和病理完全缓解的预测价值
Front Oncol. 2023 Jan 16;12:1065606. doi: 10.3389/fonc.2022.1065606. eCollection 2022.
7
Immunotherapy in hepatocellular carcinoma: how will it reshape treatment sequencing?肝细胞癌中的免疫疗法:它将如何重塑治疗顺序?
Ther Adv Med Oncol. 2023 Jan 10;15:17588359221148029. doi: 10.1177/17588359221148029. eCollection 2023.
8
Neutrophil-to-Lymphocyte and Platelet-to-Lymphocyte Ratios as Prognostic Biomarkers in Unresectable Hepatocellular Carcinoma Treated with Atezolizumab plus Bevacizumab.中性粒细胞与淋巴细胞比值及血小板与淋巴细胞比值作为阿替利珠单抗联合贝伐单抗治疗不可切除肝细胞癌的预后生物标志物
Cancers (Basel). 2022 Nov 26;14(23):5834. doi: 10.3390/cancers14235834.
9
Predictive value of NLR and PLR in response to preoperative chemotherapy and prognosis in locally advanced gastric cancer.中性粒细胞与淋巴细胞比值(NLR)和血小板与淋巴细胞比值(PLR)对局部晚期胃癌术前化疗反应及预后的预测价值
Front Oncol. 2022 Aug 30;12:936206. doi: 10.3389/fonc.2022.936206. eCollection 2022.
10
Cabozantinib plus atezolizumab versus sorafenib for advanced hepatocellular carcinoma (COSMIC-312): a multicentre, open-label, randomised, phase 3 trial.卡博替尼联合阿替利珠单抗与索拉非尼治疗晚期肝细胞癌(COSMIC-312):一项多中心、开放标签、随机、III 期临床试验。
Lancet Oncol. 2022 Aug;23(8):995-1008. doi: 10.1016/S1470-2045(22)00326-6. Epub 2022 Jul 4.