Suppr超能文献

用氧化石墨烯改性低镍生物可降解不锈钢以增强耐腐蚀性和体内生物相容性。

Modification of low nickel biograde stainless steel with graphene oxide for enhanced corrosion resistance and in vivo biocompatibility.

作者信息

Muslim Doaa A Abu, Shahat Amal S, El Basaty A B, Hassen A, Elfadl A Abou, Ali Ahmed I, Tayel A

机构信息

Physics Department, Faculty of Science, Fayoum University, El Fayoum, 63514, Egypt.

Basic Science Department, Faculty of Technology and Education, Helwan University, Saraya-El Koba, El Sawah Street, Cairo, 11281, Egypt.

出版信息

Sci Rep. 2025 May 17;15(1):17207. doi: 10.1038/s41598-025-01838-x.

Abstract

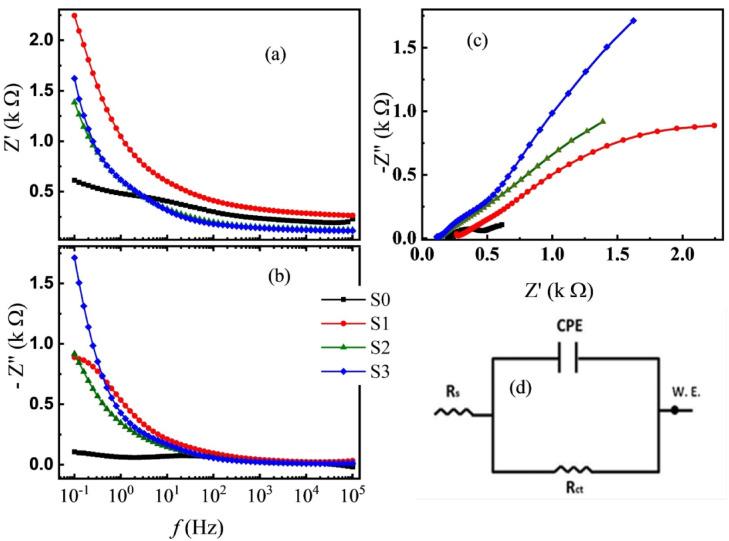
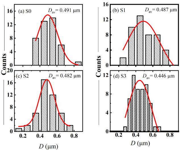
This study investigates the integration of graphene oxide (GO) into low nickel bio-grade stainless steel (LNBGSS) to enhance its corrosion resistance and assess its biocompatibility. Three concentrations of GO (0.5, 1.0, and 1.5 wt%) were added to the steel matrix using the powder metallurgy method and annealed in a nitrogen environment. X-ray diffraction and field-emission scanning electron microscopy analyses reveal that while the crystal structure of the steel remains largely unchanged, the morphology of the prepared samples exhibits minimal alteration post-GO integration. The average particle sizes (D) of the studied samples were calculated. It was found that D slightly changed with the content of GO. Based on the electrochemical analysis, the inhibition efficiency was determined in different ways and it increased markedly with increasing GO content in LNBGSS composites. Subsequently, biocompatibility assessment was conducted through in vivo studies on albino rats. Thirty-six rats were randomly allocated into six groups. The hematological parameters revealed a nonsignificant (P > 0.05) difference except for the rats treated with the low-nickel bio-grade stainless steel powder (LNBGSS) (S0), which had the lowest complete blood count in comparison with other groups. In spite, the hematological parameters of all groups were within the normal reference ranges. The biochemical indices also were not significantly (P > 0.05) different by assessment of liver enzymes and kidney functions for all examined groups. These findings suggested that the use of GO in modifying low nickel bio-grade stainless steel alloy is biologically safe and recommendable for enhancing this alloy's properties.

摘要

本研究探讨将氧化石墨烯(GO)融入低镍生物级不锈钢(LNBGSS)中,以提高其耐腐蚀性并评估其生物相容性。采用粉末冶金法将三种浓度(0.5、1.0和1.5 wt%)的GO添加到钢基体中,并在氮气环境中进行退火。X射线衍射和场发射扫描电子显微镜分析表明,虽然钢的晶体结构基本保持不变,但制备样品的形态在GO融入后仅有微小变化。计算了所研究样品的平均粒径(D)。发现D随GO含量略有变化。基于电化学分析,以不同方式测定了缓蚀效率,且缓蚀效率随LNBGSS复合材料中GO含量的增加而显著提高。随后,通过对白化大鼠进行体内研究来评估生物相容性。将36只大鼠随机分为六组。血液学参数显示,除用低镍生物级不锈钢粉末(LNBGSS)(S0)处理的大鼠外,其他组之间无显著差异(P>0.05),与其他组相比,该组的全血细胞计数最低。尽管如此,所有组的血液学参数均在正常参考范围内。通过评估所有检测组的肝酶和肾功能,生化指标也无显著差异(P>0.05)。这些发现表明,在改性低镍生物级不锈钢合金中使用GO在生物学上是安全的,并且对于改善该合金的性能是值得推荐的。

https://cdn.ncbi.nlm.nih.gov/pmc/blobs/3dbc/12085650/de4a90d0ddc7/41598_2025_1838_Fig1_HTML.jpg

文献AI研究员

20分钟写一篇综述,助力文献阅读效率提升50倍。

立即体验

用中文搜PubMed

大模型驱动的PubMed中文搜索引擎

马上搜索

文档翻译

学术文献翻译模型,支持多种主流文档格式。

立即体验