• 文献检索
  • 文档翻译
  • 深度研究
  • 学术资讯
  • Suppr Zotero 插件Zotero 插件
  • 邀请有礼
  • 套餐&价格
  • 历史记录
应用&插件
Suppr Zotero 插件Zotero 插件浏览器插件Mac 客户端Windows 客户端微信小程序
定价
高级版会员购买积分包购买API积分包
服务
文献检索文档翻译深度研究API 文档MCP 服务
关于我们
关于 Suppr公司介绍联系我们用户协议隐私条款
关注我们

Suppr 超能文献

核心技术专利:CN118964589B侵权必究
粤ICP备2023148730 号-1Suppr @ 2026

文献检索

告别复杂PubMed语法,用中文像聊天一样搜索,搜遍4000万医学文献。AI智能推荐,让科研检索更轻松。

立即免费搜索

文件翻译

保留排版,准确专业,支持PDF/Word/PPT等文件格式,支持 12+语言互译。

免费翻译文档

深度研究

AI帮你快速写综述,25分钟生成高质量综述,智能提取关键信息,辅助科研写作。

立即免费体验

气质特质在双相情感障碍中的作用:神经影像学研究

The Role of Temperament Traits in Bipolar Disorder: Neuroimaging Study.

作者信息

Markin Kirill, Trufanov Artem, Tarumov Dmitriy, Krasichkov Alexander, Shichkina Yulia, Kupriyanov Mikhail

机构信息

Psychiatry Department, Military Medical Academy, Saint Petersburg, Russia.

Department of Neurology and Manual Medicine of the Faculty of Postgraduate Education, Pavlov First Saint Petersburg State Medical University, Saint Petersburg, Russia.

出版信息

Depress Anxiety. 2025 May 10;2025:5974860. doi: 10.1155/da/5974860. eCollection 2025.

DOI:10.1155/da/5974860
PMID:40384807
原文链接:https://pmc.ncbi.nlm.nih.gov/articles/PMC12085249/
Abstract

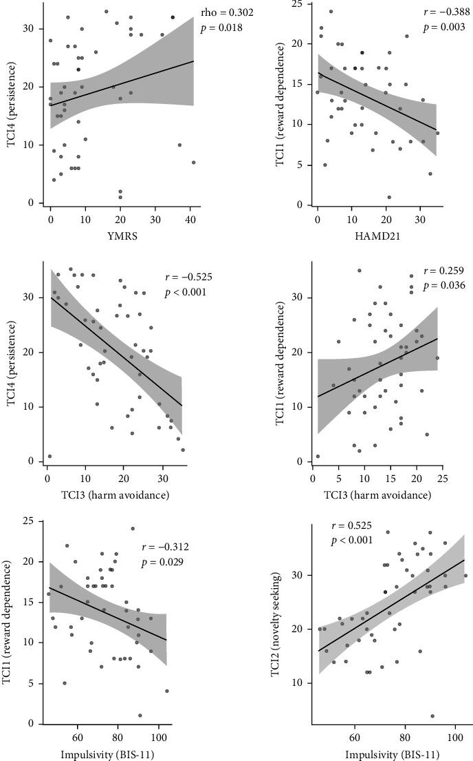
This study aimed to identify temperament traits alterations in bipolar disorder (BD) and explore their potential neuroimaging correlates using resting-state functional magnetic resonance imaging. We assessed seed-to-voxel alterations in four large-scale brain networks (Salience, Frontoparietal, Default Mode, and SensoriMotor) in 49 patients with BD and 49 healthy individuals according to the difference of temperamental traits (Reward Dependence, Novelty Seeking, Harm Avoidance, and Persistence). Also, we measured the relationship of temperamental traits with the severity of manic and depressive symptoms and impulsivity. Lower Reward Dependence (t-Welch's (87.1) = -2.50; =0.014) in bipolar patients was associated with increased functional connectivity between Salience Network and Default Mode and FrontoParietal Networks. Higher Novelty Seeking (t-Welch's (87.3) = 4.37; < 0.001) was associated with increased functional connectivity within FrontoParietal Network, whereas its functional connectivity with Visual and Dorsal Attention Networks was decreased. Higher Harm Avoidance (t-Welch's (82.8) = 4.85; < 0.001) was associated with increased functional connectivity between FrontoParietal Network and basal ganglia. Lower Persistence ( = 998; =0.002) was associated with decreased functional connectivity within FrontoParietal Network and with Default Mode Network. Higher persistence in bipolar patients was associated with greater severity of manic symptoms (Spearman's rho = 0.302, =0.018), while lower Reward Dependence was associated with increased severity of depressive symptoms (Pearson's  = -0.388, =0.003). Harm Avoidance negatively correlates with Persistence (Pearson's  = -0.525, < 0.001) and positively with reward dependence (Pearson's  = -0.259, =0.036). We also found a negative correlation between impulsivity and Reward Dependence (Pearson's  = -0.312, =0.029) and positive correlation between impulsivity and Novelty Seeking (Pearson's  = 0.525, < 0.001). The findings demonstrate a possible functional neuroimaging basis for altered temperamental traits in patients with bipolar disorder.

摘要

本研究旨在识别双相情感障碍(BD)患者气质特质的改变,并使用静息态功能磁共振成像探索其潜在的神经影像学关联。我们根据气质特质(奖赏依赖、新奇寻求、回避伤害和坚持性)的差异,评估了49例双相情感障碍患者和49名健康个体在四个大规模脑网络(突显网络、额顶叶网络、默认模式网络和感觉运动网络)中的种子点到体素的改变。此外,我们测量了气质特质与躁狂和抑郁症状严重程度以及冲动性之间的关系。双相情感障碍患者较低的奖赏依赖(t-韦尔奇检验(87.1)=-2.50;P=0.014)与突显网络和默认模式网络以及额顶叶网络之间功能连接性增加有关。较高的新奇寻求(t-韦尔奇检验(87.3)=4.37;P<0.001)与额顶叶网络内功能连接性增加有关,而其与视觉和背侧注意网络的功能连接性降低。较高的回避伤害(t-韦尔奇检验(82.8)=4.85;P<0.001)与额顶叶网络和基底神经节之间功能连接性增加有关。较低的坚持性(P=998;P=0.002)与额顶叶网络内以及与默认模式网络的功能连接性降低有关。双相情感障碍患者较高的坚持性与躁狂症状更严重相关(斯皮尔曼相关系数rho=0.302,P=0.018),而较低的奖赏依赖与抑郁症状严重程度增加相关(皮尔逊相关系数r=-0.388,P=0.003)。回避伤害与坚持性呈负相关(皮尔逊相关系数r=-0.525,P<0.001),与奖赏依赖呈正相关(皮尔逊相关系数r=-0.259,P=0.036)。我们还发现冲动性与奖赏依赖呈负相关(皮尔逊相关系数r=-0.312,P=0.029),与新奇寻求呈正相关(皮尔逊相关系数r=0.525,P<0.001)。这些发现证明了双相情感障碍患者气质特质改变可能存在功能性神经影像学基础。

https://cdn.ncbi.nlm.nih.gov/pmc/blobs/2a01/12085249/312c65ac31c9/DA2025-5974860.005.jpg
https://cdn.ncbi.nlm.nih.gov/pmc/blobs/2a01/12085249/b94a5399d779/DA2025-5974860.001.jpg
https://cdn.ncbi.nlm.nih.gov/pmc/blobs/2a01/12085249/1d542c8c6c0a/DA2025-5974860.002.jpg
https://cdn.ncbi.nlm.nih.gov/pmc/blobs/2a01/12085249/3adc9b590332/DA2025-5974860.003.jpg
https://cdn.ncbi.nlm.nih.gov/pmc/blobs/2a01/12085249/571e18fc257a/DA2025-5974860.004.jpg
https://cdn.ncbi.nlm.nih.gov/pmc/blobs/2a01/12085249/312c65ac31c9/DA2025-5974860.005.jpg
https://cdn.ncbi.nlm.nih.gov/pmc/blobs/2a01/12085249/b94a5399d779/DA2025-5974860.001.jpg
https://cdn.ncbi.nlm.nih.gov/pmc/blobs/2a01/12085249/1d542c8c6c0a/DA2025-5974860.002.jpg
https://cdn.ncbi.nlm.nih.gov/pmc/blobs/2a01/12085249/3adc9b590332/DA2025-5974860.003.jpg
https://cdn.ncbi.nlm.nih.gov/pmc/blobs/2a01/12085249/571e18fc257a/DA2025-5974860.004.jpg
https://cdn.ncbi.nlm.nih.gov/pmc/blobs/2a01/12085249/312c65ac31c9/DA2025-5974860.005.jpg

相似文献

1
The Role of Temperament Traits in Bipolar Disorder: Neuroimaging Study.气质特质在双相情感障碍中的作用:神经影像学研究
Depress Anxiety. 2025 May 10;2025:5974860. doi: 10.1155/da/5974860. eCollection 2025.
2
Disease-specific alterations of effective connectivity across anti-correlated networks in major depressive disorder and bipolar disorder.重度抑郁症和双相情感障碍中反相关网络间有效连接的疾病特异性改变。
Prog Neuropsychopharmacol Biol Psychiatry. 2025 Mar 20;137:111283. doi: 10.1016/j.pnpbp.2025.111283. Epub 2025 Feb 6.
3
Distinct connectivity patterns in bipolar and unipolar depression: a functional connectivity multivariate pattern analysis study.双相和单相抑郁的不同连接模式:一项功能连接的多变量模式分析研究。
BMC Neurosci. 2024 Sep 27;25(1):46. doi: 10.1186/s12868-024-00895-8.
4
Disrupted default mode network connectivity in bipolar disorder: a resting-state fMRI study.双相情感障碍中默认模式网络连接的紊乱:一项静息态 fMRI 研究。
BMC Psychiatry. 2024 Jun 7;24(1):428. doi: 10.1186/s12888-024-05869-y.
5
Novelty seeking and reward dependence-related large-scale brain networks functional connectivity variation during salience expectancy.新奇寻求和奖赏依赖相关的大规模脑网络在显著性预期期间的功能连接变化。
Hum Brain Mapp. 2017 Aug;38(8):4064-4077. doi: 10.1002/hbm.23648. Epub 2017 May 17.
6
Reward and executive control network resting-state functional connectivity is associated with impulsivity during reward-based decision making for cocaine users.奖励和执行控制网络静息态功能连接与可卡因使用者基于奖励的决策过程中的冲动性有关。
Drug Alcohol Depend. 2019 Jan 1;194:32-39. doi: 10.1016/j.drugalcdep.2018.09.013. Epub 2018 Oct 24.
7
Common Dimensional Reward Deficits Across Mood and Psychotic Disorders: A Connectome-Wide Association Study.情绪和精神障碍中常见的维度性奖赏缺陷:一项全脑连接组关联研究。
Am J Psychiatry. 2017 Jul 1;174(7):657-666. doi: 10.1176/appi.ajp.2016.16070774. Epub 2017 Jan 31.
8
Connectome-based individualized prediction of temperament trait scores.基于连接组学的个体气质特征评分预测。
Neuroimage. 2018 Dec;183:366-374. doi: 10.1016/j.neuroimage.2018.08.038. Epub 2018 Aug 17.
9
Functional brain networks in clinical high-risk for bipolar disorder and psychosis.双相情感障碍和精神病临床高危人群的功能性脑网络
Psychiatry Res. 2024 Dec;342:116251. doi: 10.1016/j.psychres.2024.116251. Epub 2024 Oct 28.
10
Resting state functional network switching rate is differently altered in bipolar disorder and major depressive disorder.双相障碍和重度抑郁症患者的静息态功能网络切换率存在差异。
Hum Brain Mapp. 2020 Aug 15;41(12):3295-3304. doi: 10.1002/hbm.25017. Epub 2020 May 13.

本文引用的文献

1
Neural correlates of harm avoidance: a multimodal meta-analysis of brain structural and resting-state functional neuroimaging studies.回避伤害的神经关联:脑结构和静息态功能神经影像学研究的多模态荟萃分析。
Transl Psychiatry. 2024 Sep 20;14(1):384. doi: 10.1038/s41398-024-03091-8.
2
Diagnostic value of structural, functional and effective connectivity in bipolar disorder.结构、功能及有效连接性在双相情感障碍中的诊断价值
Acta Psychiatr Scand. 2025 Mar;151(3):192-209. doi: 10.1111/acps.13742. Epub 2024 Aug 13.
3
Disrupted default mode network connectivity in bipolar disorder: a resting-state fMRI study.
双相情感障碍中默认模式网络连接的紊乱:一项静息态 fMRI 研究。
BMC Psychiatry. 2024 Jun 7;24(1):428. doi: 10.1186/s12888-024-05869-y.
4
The role of temperament and character in the anxiety-depression spectrum among Korean adults.气质与性格在韩国成年人焦虑-抑郁谱系中的作用。
J Affect Disord. 2024 Aug 15;359:1-13. doi: 10.1016/j.jad.2024.05.052. Epub 2024 May 17.
5
Association of Temperament and Character Traits with Suicide Probability, Suicide Attempts, and Perceived Stress Level in Patients with Bipolar Disorder.双相情感障碍患者的气质和性格特征与自杀可能性、自杀未遂及感知应激水平的关联
Behav Sci (Basel). 2024 Feb 29;14(3):197. doi: 10.3390/bs14030197.
6
Global, regional and national burdens of bipolar disorders in adolescents and young adults: a trend analysis from 1990 to 2019.青少年和青年双相情感障碍的全球、区域和国家负担:1990年至2019年的趋势分析
Gen Psychiatr. 2024 Feb 21;37(1):e101255. doi: 10.1136/gpsych-2023-101255. eCollection 2024.
7
Polygenic risk for depression predicting temperament trajectories over 15 years - A general population study.抑郁症的多基因风险预测15年的气质轨迹——一项普通人群研究。
J Affect Disord. 2024 Apr 1;350:388-395. doi: 10.1016/j.jad.2024.01.093. Epub 2024 Jan 11.
8
Mapping the global, regional and national burden of bipolar disorder from 1990 to 2019: trend analysis on the Global Burden of Disease Study 2019.绘制全球、区域和国家双相情感障碍负担图谱:2019 年全球疾病负担研究趋势分析。
Br J Psychiatry. 2024 Feb;224(2):36-46. doi: 10.1192/bjp.2023.127.
9
fMRI connectivity as a biomarker of antipsychotic treatment response: A systematic review.功能磁共振连接作为抗精神病药物治疗反应的生物标志物:系统评价。
Neuroimage Clin. 2023;40:103515. doi: 10.1016/j.nicl.2023.103515. Epub 2023 Sep 23.
10
Aberrant resting-state functional connectivity underlies cognitive and functional impairments in remitted patients with bipolar disorder.双相障碍缓解期患者认知和功能障碍的静息态功能连接异常。
Acta Psychiatr Scand. 2023 Dec;148(6):570-582. doi: 10.1111/acps.13615. Epub 2023 Sep 8.