Suppr超能文献

应激性高血糖比值与缺血性心脏病危重症患者的全因死亡率相关。

Stress hyperglycemia ratio linked to all-cause mortality in critically ill patients with ischemic heart disease.

作者信息

Liu Tao, Wang Lili, Zhang Hao, Dai Qiming

机构信息

Department of Cardiology, Zhongda Hospital, School of Medicine, Southeast University, Nanjing, China.

Department of Cardiology, The Second Affiliated Hospital of Xuzhou Medical University, Xuzhou, China.

出版信息

BMC Cardiovasc Disord. 2025 May 19;25(1):374. doi: 10.1186/s12872-025-04831-4.

Abstract

BACKGROUND

The stress hyperglycaemia ratio (SHR), a quantitative indicator of hyperglycaemia in stress, has been shown to correlate with poor disease prognosis. However, the relationship between SHR and short-term prognosis in critically ill patients with ischemic heart disease (IHD) remains unclear.

METHODS

This retrospective study analyzed data of 2559 critically ill patients with IHD from the Medical Information Mart for Intensive Care III database. Endpoints were in-hospital mortality and intensive care unit (ICU) mortality. Kaplan-Meier survival curves, Cox proportional hazards models, restricted cubic spline, subgroup analysis, and receiver operating characteristic curves were used to explore the association between SHR and mortality in critically ill patients with IHD.

RESULTS

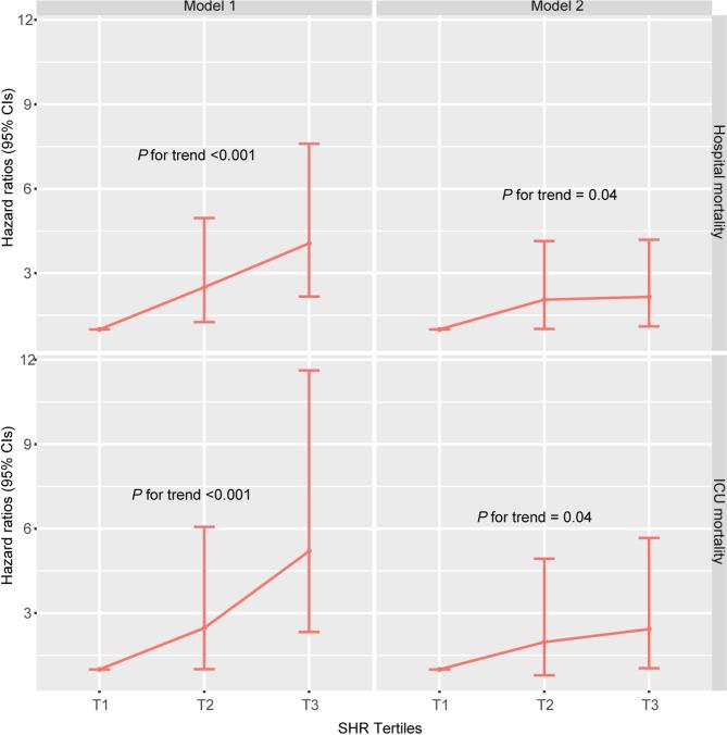
A total of 99 (3.87%) in-hospital deaths and 62 (2.42%) ICU deaths were recorded. In multivariate Cox proportional hazards models, higher SHR was independently associated with in-hospital mortality (hazard ratio (HR): 1.93 [95% confidence interval (CI): 1.42-2.61], P-value < 0.0001) and ICU mortality (HR, 1.70; 95% CI, 1.17-2.47; P-value = 0.01). Restricted cubic splines showed that SHR was linearly positive correlated with both in-hospital mortality and ICU mortality. Subgroup analysis revealed the robustness of the results. The area under the curve of SHR for predicting in-hospital mortality and ICU mortality was 0.715 and 0.711, respectively.

CONCLUSION

SHR was significantly positively correlated with in-hospital mortality and ICU mortality in patients with critical IHD. It might enhance the predictive accuracy of existing clinical disease scores and guide personalized blood glucose control.

摘要

背景

应激性高血糖比率(SHR)是应激状态下高血糖的定量指标,已被证明与疾病预后不良相关。然而,SHR与缺血性心脏病(IHD)重症患者短期预后之间的关系仍不明确。

方法

这项回顾性研究分析了重症监护医学信息数据库III中2559例IHD重症患者的数据。终点指标为住院死亡率和重症监护病房(ICU)死亡率。采用Kaplan-Meier生存曲线、Cox比例风险模型、受限立方样条、亚组分析和受试者工作特征曲线来探讨SHR与IHD重症患者死亡率之间的关联。

结果

共记录到99例(3.87%)住院死亡和62例(2.42%)ICU死亡。在多变量Cox比例风险模型中,较高的SHR与住院死亡率独立相关(风险比(HR):1.93[95%置信区间(CI):1.42 - 2.61],P值<0.0001)和ICU死亡率(HR,1.70;95%CI,1.17 - 2.47;P值 = 0.01)。受限立方样条显示SHR与住院死亡率和ICU死亡率均呈线性正相关。亚组分析显示结果具有稳健性。SHR预测住院死亡率和ICU死亡率的曲线下面积分别为0.715和0.711。

结论

SHR与重症IHD患者的住院死亡率和ICU死亡率显著正相关。它可能提高现有临床疾病评分的预测准确性,并指导个性化血糖控制。

https://cdn.ncbi.nlm.nih.gov/pmc/blobs/f1e3/12087200/8538a1739bf7/12872_2025_4831_Fig1_HTML.jpg

文献检索

告别复杂PubMed语法,用中文像聊天一样搜索,搜遍4000万医学文献。AI智能推荐,让科研检索更轻松。

立即免费搜索

文件翻译

保留排版,准确专业,支持PDF/Word/PPT等文件格式,支持 12+语言互译。

免费翻译文档

深度研究

AI帮你快速写综述,25分钟生成高质量综述,智能提取关键信息,辅助科研写作。

立即免费体验