Suppr超能文献

女子拳击运动员训练与比赛负荷特征的关系——一项基于大学生拳击运动员的案例研究

The relationship between training and competition load characteristics of female boxers-a case study based on collegiate boxers.

作者信息

Xu Qinglou, Wang Zhongjie, Liu Lei, Mao Ruiqiu, Xi Changjin, Shi Guoxin

机构信息

Department of Physical Education, Zhejiang Guangsha Vocational and Technical University of Construction, Jinhua, Zhejiang, China.

Graduate Department, Shenyang Sport University, Shenyang, Liaoning, China.

出版信息

Front Psychol. 2025 May 5;16:1517102. doi: 10.3389/fpsyg.2025.1517102. eCollection 2025.

Abstract

INTRODUCTION

This study examines the relationships between external and internal loads in female collegiate boxers during training and competition, focusing on variations during menstruation and non-menstruation periods. It also evaluates the effectiveness of different monitoring techniques in these contexts, providing guidance for coaches and athletes in load management.

METHODS

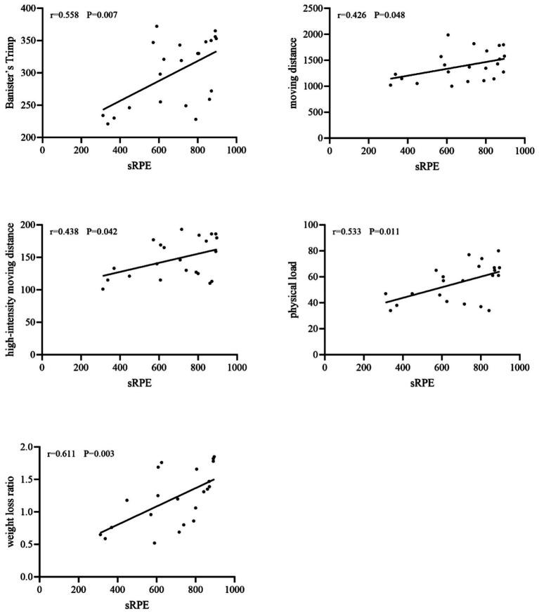
Twenty-one healthy female collegiate boxers participated, recording data across 18 training sessions and 6 competitions over six weeks. The metrics collected included session-RPE (sRPE), Banister's Trimp, Stagno's Trimp, moving distance, high-intensity moving distance, physical load, and the ratio of body weight loss. Pearson correlation analyses were applied.

RESULTS

Correlation analysis revealed that internal and external loads are consistently positively correlated during training and competition. Apart from the training phase, where the correlation between sRPE and Stagno's Trimp was not statistically significant ( = 0.181, > 0.05), correlations between sRPE and other indicators during both training and competition showed medium to high strength ( = 0.426 ~ 0.880, < 0.05). During menstruation, the correlations of all metrics were lower than in non-menstruation periods, except sRPE with Banister's Trimp.

DISCUSSION

The study highlights that the subjective load sRPE can effectively predict and assess the internal load of female boxers, and is more sensitive to internal loads regardless of menstruation status. However, its application to external loads is limited, and objective measurements are recommended during menstruation.

摘要

引言

本研究探讨了女子大学拳击运动员在训练和比赛期间外部负荷与内部负荷之间的关系,重点关注月经周期和非月经周期的变化。它还评估了不同监测技术在这些情况下的有效性,为教练和运动员的负荷管理提供指导。

方法

21名健康的女子大学拳击运动员参与其中,在六周内记录了18次训练课程和6场比赛的数据。收集的指标包括训练课主观用力程度(session-RPE,sRPE)、班尼斯特训练负荷积分(Banister's Trimp)、斯塔尼奥训练负荷积分(Stagno's Trimp)、移动距离、高强度移动距离、身体负荷以及体重减轻比例。应用了皮尔逊相关性分析。

结果

相关性分析表明,在训练和比赛期间,内部负荷与外部负荷始终呈正相关。除了训练阶段,sRPE与斯塔尼奥训练负荷积分之间的相关性无统计学意义( = 0.181, > 0.05),训练和比赛期间sRPE与其他指标之间的相关性显示出中等到高强度( = 0.426 ~ 0.880, < 0.05)。在月经期间,所有指标的相关性均低于非月经期间,但sRPE与班尼斯特训练负荷积分除外。

讨论

该研究强调,主观负荷sRPE可以有效地预测和评估女子拳击运动员的内部负荷,并且无论月经状态如何,对内部负荷都更敏感。然而,其在外部负荷方面的应用有限,建议在月经期间进行客观测量。

https://cdn.ncbi.nlm.nih.gov/pmc/blobs/daf3/12087178/76bec7ecfe45/fpsyg-16-1517102-g001.jpg

文献AI研究员

20分钟写一篇综述,助力文献阅读效率提升50倍。

立即体验

用中文搜PubMed

大模型驱动的PubMed中文搜索引擎

马上搜索

文档翻译

学术文献翻译模型,支持多种主流文档格式。

立即体验