Suppr超能文献

不同分级的III期牙周炎患者唾液中可溶性尿激酶型纤溶酶原激活物受体、缺氧诱导因子-1α和肿瘤坏死因子-α的水平

Salivary levels of suPAR, HIF-1α and TNF-α in different grades of stage III periodontitis.

作者信息

Taşdemir İsmail, Özgören Özgür, Yılmaz Huriye Erbak, Kartal Emine, Altunyaprak Şeyma, Sağlam Mehmet

机构信息

Department of Periodontology, Faculty of Dentistry, Karamanoğlu Mehmetbey University, Üniversite Mah. 2055 Sok. No:5, Karaman, 70200, Turkey.

Department of Medical Biochemistry, School of Medicine, Izmir Katip Celebi University, Izmir, Turkey.

出版信息

BMC Oral Health. 2025 May 22;25(1):760. doi: 10.1186/s12903-025-06155-3.

Abstract

BACKGROUND

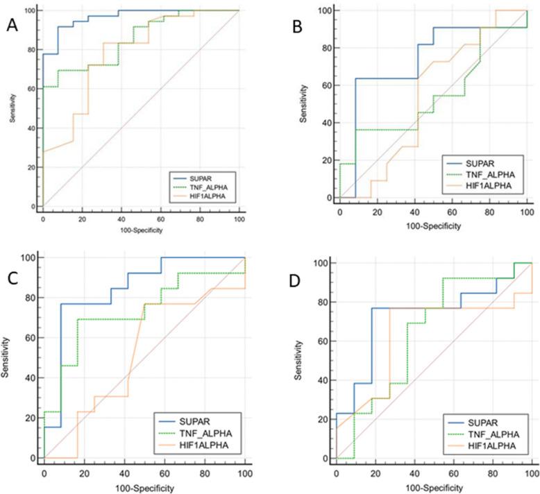
The aim of the study is to evaluate saliva levels of Soluble urokinase plasminogen activator receptor (suPAR), Hypoxia-inducible factor-1 alpha (HIF-1α) and tumor necrosis factor-alpha (TNF-α) in stage III grade A, grade B, grade C periodontitis and periodontal health and to understand the roles of these molecules in periodontal inflammation process and also to compare the three biomarkers' discriminative efficacy in periodontal disease.

METHODS

A total of 80 individuals, 20 with stage III grade A periodontitis (group A), 20 with stage III grade B periodontitis (group B), 20 with stage III grade C periodontitis (group C) and 20 with healthy periodontium (group H) were recruited for this study. Full-mouth clinical periodontal measurements were recorded in periodontal charts. Whole saliva samples were collected to determine the levels of suPAR, HIF-1α and TNF-α in study groups using enzyme-linked immunosorbent assay (ELISA) method.

RESULTS

The saliva concentration of suPAR, HIF-1α, and TNF α was significantly higher in group A, group B, and group C compared with group H (p < .05). Additionally, salivary suPAR concentration was significantly higher in group C than in groups A and B (p < .05). Positive statistically significant correlations were observed between three biomarkers and all clinical parameters (p < .05).

CONCLUSIONS

Increased levels of saliva suPAR, HIF-1α, and TNF α suggest that these molecules may play a role in periodontitis. In addition, the higher salivary suPAR levels in grade C periodontitis compared to other grades suggest that suPAR may be one of the potential molecules that can be used to predict disease progression and periodontal disease classification.

TRIAL REGISTRATION

Before starting the study, the study plan was uploaded to clinicaltrials.gov.tr ​​and an identification number was obtained (Date: 21.05.2024, İdentification number: NCT06430450).

摘要

背景

本研究旨在评估III期A、B、C级牙周炎患者及牙周健康者唾液中可溶性尿激酶型纤溶酶原激活物受体(suPAR)、缺氧诱导因子-1α(HIF-1α)和肿瘤坏死因子-α(TNF-α)的水平,了解这些分子在牙周炎症过程中的作用,并比较这三种生物标志物在牙周疾病中的鉴别效能。

方法

本研究共招募80名个体,其中20例为III期A级牙周炎患者(A组),20例为III期B级牙周炎患者(B组),20例为III期C级牙周炎患者(C组),20例牙周健康者(H组)。在牙周检查表中记录全口临床牙周测量数据。收集全唾液样本,采用酶联免疫吸附测定(ELISA)法测定研究组中suPAR、HIF-1α和TNF-α的水平。

结果

与H组相比,A组、B组和C组唾液中suPAR、HIF-1α和TNF-α的浓度显著更高(p < 0.05)。此外,C组唾液中suPAR浓度显著高于A组和B组(p < 0.05)。三种生物标志物与所有临床参数之间均存在统计学显著正相关(p < 0.05)。

结论

唾液中suPAR、HIF-1α和TNF-α水平升高表明这些分子可能在牙周炎中起作用。此外,与其他等级相比,C级牙周炎患者唾液中suPAR水平更高,这表明suPAR可能是可用于预测疾病进展和牙周疾病分类的潜在分子之一。

试验注册

在开始研究之前,研究计划已上传至clinicaltrials.gov.tr并获得识别号(日期:2024年5月21日,识别号:NCT06430450)。

https://cdn.ncbi.nlm.nih.gov/pmc/blobs/c2b6/12096578/39240b945987/12903_2025_6155_Fig1_HTML.jpg

文献检索

告别复杂PubMed语法,用中文像聊天一样搜索,搜遍4000万医学文献。AI智能推荐,让科研检索更轻松。

立即免费搜索

文件翻译

保留排版,准确专业,支持PDF/Word/PPT等文件格式,支持 12+语言互译。

免费翻译文档

深度研究

AI帮你快速写综述,25分钟生成高质量综述,智能提取关键信息,辅助科研写作。

立即免费体验