Suppr超能文献

牙周临床放射学状况及 2 型糖尿病和非糖尿病个体全唾液可溶性尿激酶型纤溶酶原激活物受体和肿瘤坏死因子α水平。

Periodontal Clinicoradiographic Status and Whole Saliva Soluble Urokinase Plasminogen Activation Receptor and Tumor Necrosis Factor Alpha Levels in Type-2 Diabetic and Non-diabetic Individuals.

出版信息

Oral Health Prev Dent. 2021 Sep 30;19:481-488. doi: 10.3290/j.ohpd.b2082019.

Abstract

PURPOSE

The authors hypothesise that whole saliva soluble-urokinase-type plasminogen-activator receptor (suPAR) and tumor necrosis factor-alpha (TNF-α) levels are higher in patients with poorly-controlled than well-controlled type-2 diabetes mellitus (DM) and non-diabetic controls. The aim was to assess the periodontal clinicoradiographic status and whole-salivary suPAR and TNF-α levels in type-2 diabetic and non-diabetic individuals.

MATERIALS AND METHODS

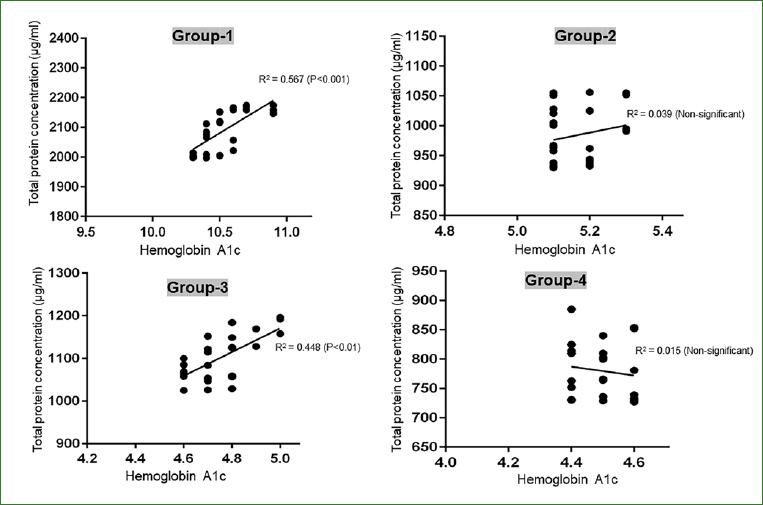
Patients with and without type-2 DM were included. In all patients, hemoglobin A1c (HbA1c) levels were measured. Participants were divided into 4 groups. Group 1: patients with poorly controlled type-2 DM; group 2: patients with well-controlled type-2 DM; group 3: non-diabetic patients with periodontitis; group 4: non-diabetic patients without periodontitis. Clinicoradiographic periodontal parameters (plaque index [PI], gingival index [GI], clinical attachment loss [AL], probing depth [PD] and mesial and distal marginal bone loss [MBL]) were measured. The whole saliva total protein concentration (TPC) and suPAR as well as TNF-α levels were measured. The level of statistical significance was set at p < 0.01.

RESULTS

One hundred patients (25 patients per group) were included. Scores of PI (p < 0.01), GI (p < 0.01), clinical AL (p < 0.01), PD (p < 0.01), number of missing teeth and mesial (p < 0.01) and distal (p < 0.01) MBL were statistically significantly higher in group 1 than in groups 2-4. Scores of PI, GI, clinical AL, PD, mesial and distal MBL, and numbers of missing teeth were higher in group 3 (p < 0.01) than in groups 2 and 4. The whole saliva TPC, suPAR and TNF-α levels were statistically significantly higher among patients in group 1 (p < 0.01) than in groups 2-4.

CONCLUSION

Patients with poorly-controlled type-2 DM presented with poorer clinicoradiographic periodontal status and increased whole saliva levels of suPAR, TNF-α and TPC compared with patients with well-controlled type-2 DM and non-diabetic individuals.

摘要

目的

作者假设,与血糖控制良好的 2 型糖尿病(DM)患者和非糖尿病对照者相比,血糖控制不佳的 2 型 DM 患者的全唾液可溶性尿激酶型纤溶酶原激活物受体(suPAR)和肿瘤坏死因子-α(TNF-α)水平更高。本研究旨在评估 2 型糖尿病和非糖尿病个体的牙周临床放射学状况以及全唾液 suPAR 和 TNF-α水平。

材料和方法

纳入了有或无 2 型 DM 的患者。所有患者均测量了糖化血红蛋白(HbA1c)水平。参与者被分为 4 组。第 1 组:血糖控制不佳的 2 型 DM 患者;第 2 组:血糖控制良好的 2 型 DM 患者;第 3 组:患有牙周炎的非糖尿病患者;第 4 组:无牙周炎的非糖尿病患者。测量了牙周临床放射学参数(菌斑指数[PI]、牙龈指数[GI]、临床附着丧失[AL]、探诊深度[PD]和近远中边际骨丧失[MBL])。测量了全唾液总蛋白浓度(TPC)和 suPAR 以及 TNF-α水平。统计显著性水平设定为 p < 0.01。

结果

纳入了 100 名患者(每组 25 名患者)。第 1 组的 PI 评分(p < 0.01)、GI 评分(p < 0.01)、临床 AL 评分(p < 0.01)、PD 评分(p < 0.01)、缺牙数以及近中(p < 0.01)和远中(p < 0.01)MBL 评分均显著高于第 2-4 组。第 3 组的 PI 评分、GI 评分、临床 AL 评分、PD 评分、近中及远中 MBL 评分和缺牙数均高于第 2 组和第 4 组(p < 0.01)。第 1 组的全唾液 TPC、suPAR 和 TNF-α水平均显著高于第 2-4 组(p < 0.01)。

结论

与血糖控制良好的 2 型 DM 患者和非糖尿病个体相比,血糖控制不佳的 2 型 DM 患者的牙周临床放射学状况较差,全唾液 suPAR、TNF-α 和 TPC 水平升高。

https://cdn.ncbi.nlm.nih.gov/pmc/blobs/e298/11640750/56e58d395cec/ohpd-19-481-g001.jpg

文献检索

告别复杂PubMed语法,用中文像聊天一样搜索,搜遍4000万医学文献。AI智能推荐,让科研检索更轻松。

立即免费搜索

文件翻译

保留排版,准确专业,支持PDF/Word/PPT等文件格式,支持 12+语言互译。

免费翻译文档

深度研究

AI帮你快速写综述,25分钟生成高质量综述,智能提取关键信息,辅助科研写作。

立即免费体验