• 文献检索
  • 文档翻译
  • 深度研究
  • 学术资讯
  • Suppr Zotero 插件Zotero 插件
  • 邀请有礼
  • 套餐&价格
  • 历史记录
应用&插件
Suppr Zotero 插件Zotero 插件浏览器插件Mac 客户端Windows 客户端微信小程序
定价
高级版会员购买积分包购买API积分包
服务
文献检索文档翻译深度研究API 文档MCP 服务
关于我们
关于 Suppr公司介绍联系我们用户协议隐私条款
关注我们

Suppr 超能文献

核心技术专利:CN118964589B侵权必究
粤ICP备2023148730 号-1Suppr @ 2026

文献检索

告别复杂PubMed语法,用中文像聊天一样搜索,搜遍4000万医学文献。AI智能推荐,让科研检索更轻松。

立即免费搜索

文件翻译

保留排版,准确专业,支持PDF/Word/PPT等文件格式,支持 12+语言互译。

免费翻译文档

深度研究

AI帮你快速写综述,25分钟生成高质量综述,智能提取关键信息,辅助科研写作。

立即免费体验

豆渣的适度欧姆场改性及其对物理化学性质、结构组织和功能特性的影响

Moderate Ohmic Field Modification of Okara and Its Effects on Physicochemical Properties, Structural Organization, and Functional Characteristics.

作者信息

Cao Zhongwen, Xie Chengcheng, Yang Cheng, Liu Xingyu, Meng Xiangren

机构信息

School of Tourism and Cuisine, Yangzhou University, Yangzhou 225127, China.

Key Laboratory of Chinese Cuisine Intangible Cultural Heritage Technology Inheritance, Ministry of Culture and Tourism, Yangzhou 225127, China.

出版信息

Foods. 2025 May 21;14(10):1833. doi: 10.3390/foods14101833.

DOI:10.3390/foods14101833
PMID:40428612
原文链接:https://pmc.ncbi.nlm.nih.gov/articles/PMC12110906/
Abstract

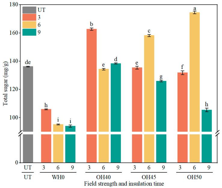
This study employed ohmic heating to investigate its impact on the physicochemical properties, structural organization, and functional characteristics of okara. Ohmic heating was applied with different field strengths and holding times. After moderate ohmic treatment, the water-holding capacity, oil-holding capacity, and swelling capacity of okara increased by 51.11%, 88.89%, and 43.64%, respectively. The microstructure and secondary structure were improved. The total sugar and soluble dietary fiber content were enhanced. The levels of active substances such as total flavonoids and total phenols significantly increased, leading to improved antioxidant capacity. The properties of okara were influenced by the field strength and holding time. This study provides new insights for the processing and development of okara, particularly in the application of functional foods.

摘要

本研究采用欧姆加热来研究其对豆渣理化性质、结构组织和功能特性的影响。施加了不同场强和保持时间的欧姆加热。经过适度的欧姆处理后,豆渣的持水能力、持油能力和膨胀能力分别提高了51.11%、88.89%和43.64%。微观结构和二级结构得到改善。总糖和可溶性膳食纤维含量增加。总黄酮和总酚等活性物质的水平显著提高,导致抗氧化能力增强。豆渣的性质受场强和保持时间的影响。本研究为豆渣的加工和开发提供了新的见解,特别是在功能性食品的应用方面。

https://cdn.ncbi.nlm.nih.gov/pmc/blobs/e309/12110906/8e0dc4906034/foods-14-01833-g009.jpg
https://cdn.ncbi.nlm.nih.gov/pmc/blobs/e309/12110906/54695b460926/foods-14-01833-g001.jpg
https://cdn.ncbi.nlm.nih.gov/pmc/blobs/e309/12110906/5a383e61489b/foods-14-01833-g002.jpg
https://cdn.ncbi.nlm.nih.gov/pmc/blobs/e309/12110906/731add120fb5/foods-14-01833-g003.jpg
https://cdn.ncbi.nlm.nih.gov/pmc/blobs/e309/12110906/09b96cef288f/foods-14-01833-g004.jpg
https://cdn.ncbi.nlm.nih.gov/pmc/blobs/e309/12110906/c82b6e8efb10/foods-14-01833-g005.jpg
https://cdn.ncbi.nlm.nih.gov/pmc/blobs/e309/12110906/bd2d6c1ef567/foods-14-01833-g006.jpg
https://cdn.ncbi.nlm.nih.gov/pmc/blobs/e309/12110906/e0ef3b623c04/foods-14-01833-g007a.jpg
https://cdn.ncbi.nlm.nih.gov/pmc/blobs/e309/12110906/8b909bd96a60/foods-14-01833-g008.jpg
https://cdn.ncbi.nlm.nih.gov/pmc/blobs/e309/12110906/8e0dc4906034/foods-14-01833-g009.jpg
https://cdn.ncbi.nlm.nih.gov/pmc/blobs/e309/12110906/54695b460926/foods-14-01833-g001.jpg
https://cdn.ncbi.nlm.nih.gov/pmc/blobs/e309/12110906/5a383e61489b/foods-14-01833-g002.jpg
https://cdn.ncbi.nlm.nih.gov/pmc/blobs/e309/12110906/731add120fb5/foods-14-01833-g003.jpg
https://cdn.ncbi.nlm.nih.gov/pmc/blobs/e309/12110906/09b96cef288f/foods-14-01833-g004.jpg
https://cdn.ncbi.nlm.nih.gov/pmc/blobs/e309/12110906/c82b6e8efb10/foods-14-01833-g005.jpg
https://cdn.ncbi.nlm.nih.gov/pmc/blobs/e309/12110906/bd2d6c1ef567/foods-14-01833-g006.jpg
https://cdn.ncbi.nlm.nih.gov/pmc/blobs/e309/12110906/e0ef3b623c04/foods-14-01833-g007a.jpg
https://cdn.ncbi.nlm.nih.gov/pmc/blobs/e309/12110906/8b909bd96a60/foods-14-01833-g008.jpg
https://cdn.ncbi.nlm.nih.gov/pmc/blobs/e309/12110906/8e0dc4906034/foods-14-01833-g009.jpg

相似文献

1
Moderate Ohmic Field Modification of Okara and Its Effects on Physicochemical Properties, Structural Organization, and Functional Characteristics.豆渣的适度欧姆场改性及其对物理化学性质、结构组织和功能特性的影响
Foods. 2025 May 21;14(10):1833. doi: 10.3390/foods14101833.
2
Structural, physicochemical, and functional properties of insoluble dietary fiber derived from okara by Viscozyme L.豆渣中不溶性膳食纤维的结构、物理化学和功能特性,经 Viscozyme L 酶解。
J Food Sci. 2023 May;88(5):1994-2008. doi: 10.1111/1750-3841.16565. Epub 2023 Apr 10.
3
Ultracentrifugal milling and steam heating pretreatment improves structural characteristics, functional properties, and in vitro binding capacity of cellulase modified soy okara residues.超离心粉碎和蒸汽加热预处理改善了纤维素酶改性豆渣的结构特性、功能特性和体外结合能力。
Food Chem. 2022 Aug 1;384:132526. doi: 10.1016/j.foodchem.2022.132526. Epub 2022 Feb 22.
4
Effects of ultrasound-assisted enzyme hydrolysis on the microstructure and physicochemical properties of okara fibers.超声辅助酶解对豆渣纤维微观结构和理化性质的影响
Ultrason Sonochem. 2020 Dec;69:105247. doi: 10.1016/j.ultsonch.2020.105247. Epub 2020 Jul 1.
5
Effect of cavitation jet processing on the physicochemical properties and structural characteristics of okara dietary fiber.空化射流处理对豆渣膳食纤维理化性质及结构特征的影响
Food Res Int. 2020 Aug;134:109251. doi: 10.1016/j.foodres.2020.109251. Epub 2020 Apr 18.
6
Effects of UV-A irradiation and microbial fermentation on the physicochemical, microstructure and functional properties of okara.紫外线A照射和微生物发酵对豆渣理化性质、微观结构及功能特性的影响
Food Res Int. 2025 Jan;200:115445. doi: 10.1016/j.foodres.2024.115445. Epub 2024 Nov 29.
7
Effects of electron beam irradiation treatment on the structural and functional properties of okara insoluble dietary fiber.电子束辐照处理对豆渣不溶性膳食纤维结构与功能特性的影响。
J Sci Food Agric. 2023 Jan 15;103(1):195-204. doi: 10.1002/jsfa.12131. Epub 2022 Aug 11.
8
Soybean residue (okara) modified by extrusion with different moisture contents: Physical, chemical, and techno-functional properties.挤压改性不同水分含量的豆渣(豆渣):物理、化学和技术功能特性。
Food Sci Technol Int. 2023 Jul;29(5):491-500. doi: 10.1177/10820132221095458. Epub 2022 Apr 19.
9
Alkaline hydrogen peroxide improves physical, chemical, and techno-functional properties of okara.碱性过氧化氢可改善豆渣的物理、化学和技术功能特性。
Food Chem. 2020 Apr 9;323:126776. doi: 10.1016/j.foodchem.2020.126776.
10
Production and characterization of okara dietary fiber produced by fermentation with Monascus anka.利用红曲霉发酵生产豆渣膳食纤维的生产及特性研究。
Food Chem. 2020 Jun 30;316:126243. doi: 10.1016/j.foodchem.2020.126243. Epub 2020 Jan 21.

本文引用的文献

1
JS35 improved flavor, metabolic profile of fermentation supernatant of mulberry leaf powder and increased its antioxidant capacity.JS35改善了桑叶粉发酵上清液的风味、代谢特征,并提高了其抗氧化能力。
Front Nutr. 2025 Mar 4;12:1551689. doi: 10.3389/fnut.2025.1551689. eCollection 2025.
2
Discrepancy on the quality characteristics of soluble dietary fiber in wild Rosa roxburghii Tratt fruits from different regions.不同地区野生刺梨果实中可溶性膳食纤维品质特性的差异
Sci Rep. 2025 Mar 10;15(1):8289. doi: 10.1038/s41598-025-86002-1.
3
Phytochemical analysis, antioxidant, anti-inflammatory and enzyme inhibitory activities of bean pear ( fruit).
豆梨(果实)的植物化学分析、抗氧化、抗炎及酶抑制活性
Front Plant Sci. 2025 Feb 7;16:1521990. doi: 10.3389/fpls.2025.1521990. eCollection 2025.
4
Green preparation and evaluation of physicochemical, structural and functional properties of dietary fiber from navel orange peel.脐橙皮膳食纤维的绿色制备及其理化、结构和功能特性评价
J Sci Food Agric. 2025 Jun;105(8):4515-4523. doi: 10.1002/jsfa.14186. Epub 2025 Feb 18.
5
Antioxidant Peptides from Tiger Nut ( L.): Chemical Analysis and Cytoprotective Functions on HepG2 and Caco-2 Cells.虎坚果中的抗氧化肽:对HepG2和Caco-2细胞的化学分析及细胞保护功能
Foods. 2025 Jan 22;14(3):349. doi: 10.3390/foods14030349.
6
Effects of UV-A irradiation and microbial fermentation on the physicochemical, microstructure and functional properties of okara.紫外线A照射和微生物发酵对豆渣理化性质、微观结构及功能特性的影响
Food Res Int. 2025 Jan;200:115445. doi: 10.1016/j.foodres.2024.115445. Epub 2024 Nov 29.
7
Mechanism of promoting okara insoluble to soluble dietary fiber by high-pressure homogenization-microbial fermentation.高压匀质-微生物发酵促进豆渣不溶性膳食纤维转化为可溶性膳食纤维的机制。
Bioresour Technol. 2025 Jan;416:131774. doi: 10.1016/j.biortech.2024.131774. Epub 2024 Nov 7.
8
Improvement of okara noodle quality by modifying the soluble/insoluble dietary fibre ratio.通过改变可溶性/不溶性膳食纤维比例来提高豆渣面条的质量。
Food Chem. 2025 Feb 1;464(Pt 1):141566. doi: 10.1016/j.foodchem.2024.141566. Epub 2024 Oct 9.
9
Effect of mechanical treatment from extrusion process on physicochemical properties of okara cellulose powder.挤压过程中的机械处理对豆渣纤维素粉末物理化学性质的影响。
Sci Rep. 2024 Sep 27;14(1):22193. doi: 10.1038/s41598-024-73819-5.
10
Assessing physicochemical characteristics of a shear-thinning polysaccharide mucilage extracted from marshmallow root (Althaea officinalis L.) by an ohmic heating system.采用欧姆加热系统从药蜀葵根(Althaea officinalis L.)中提取的剪切稀化多糖黏液的物理化学特性评估。
Int J Biol Macromol. 2024 Oct;277(Pt 3):134274. doi: 10.1016/j.ijbiomac.2024.134274. Epub 2024 Jul 31.