• 文献检索
  • 文档翻译
  • 深度研究
  • 学术资讯
  • Suppr Zotero 插件Zotero 插件
  • 邀请有礼
  • 套餐&价格
  • 历史记录
应用&插件
Suppr Zotero 插件Zotero 插件浏览器插件Mac 客户端Windows 客户端微信小程序
定价
高级版会员购买积分包购买API积分包
服务
文献检索文档翻译深度研究API 文档MCP 服务
关于我们
关于 Suppr公司介绍联系我们用户协议隐私条款
关注我们

Suppr 超能文献

核心技术专利:CN118964589B侵权必究
粤ICP备2023148730 号-1Suppr @ 2026

文献检索

告别复杂PubMed语法,用中文像聊天一样搜索,搜遍4000万医学文献。AI智能推荐,让科研检索更轻松。

立即免费搜索

文件翻译

保留排版,准确专业,支持PDF/Word/PPT等文件格式,支持 12+语言互译。

免费翻译文档

深度研究

AI帮你快速写综述,25分钟生成高质量综述,智能提取关键信息,辅助科研写作。

立即免费体验

真实性线索的处理:处理难度如何影响事件描述的记忆和信心判断。

Processing of veracity cues: how processing difficulty affects the memory of event description and judgment of confidence.

作者信息

Antes Nicole, Schwan Stephan, Huff Markus

机构信息

Leibniz-Institut Für Wissensmedien, Schleichstraße 6, 72076, Tübingen, Germany.

Department of Psychology, University of Tübingen, Schleichstraße 4, 72076, Tübingen, Germany.

出版信息

Cogn Res Princ Implic. 2025 May 28;10(1):22. doi: 10.1186/s41235-025-00629-2.

DOI:10.1186/s41235-025-00629-2
PMID:40437302
原文链接:https://pmc.ncbi.nlm.nih.gov/articles/PMC12119432/
Abstract

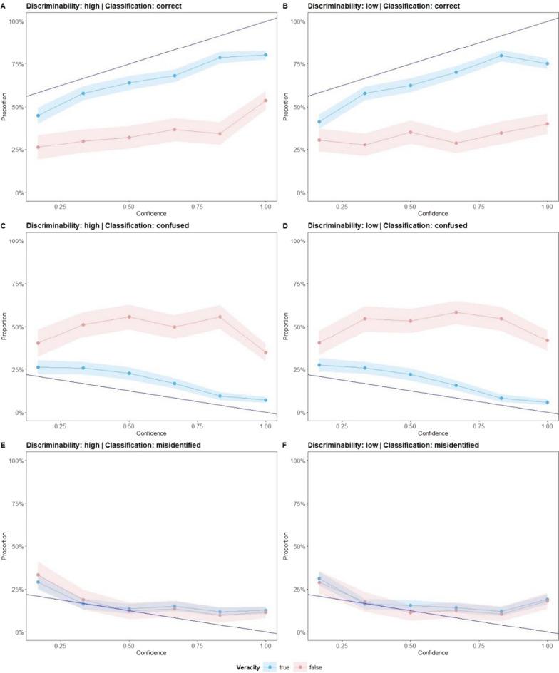
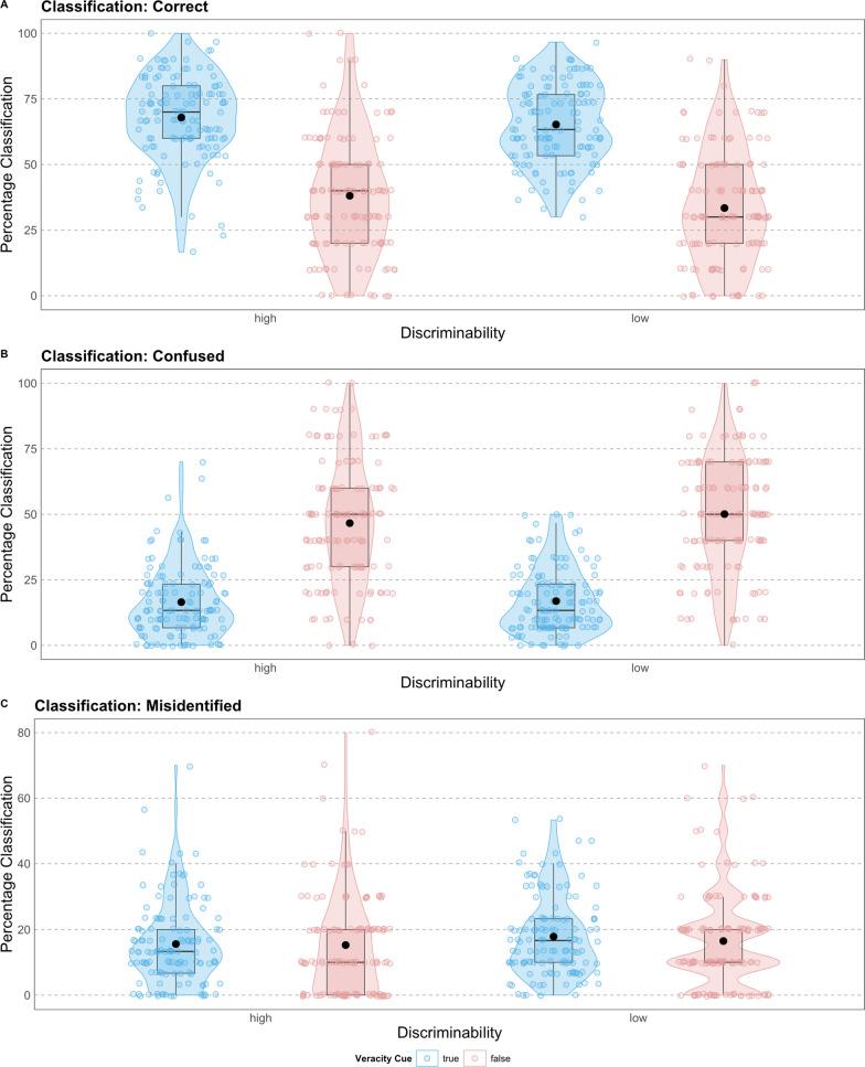
In today's rapid dissemination of information, discerning truth from falsehood is crucial. We investigated how cues signaling information veracity influence memory accuracy and confidence in coherent narratives. Two studies manipulated perceptual difficulty in distinguishing true-labeled from false-labeled information in event descriptions using font color as a cue. Study 1 (N = 198) revealed that the presence of veracity cues reduces memory accuracy for the event description. Study 2 (N = 248) showed that when differentiating veracity cues became more challenging, false-labeled information was more frequently misidentified and less accurately remembered. Confidence ratings decreased with the presence of veracity cues (Study 1) but resulted in disproportionately high confidence for sentences labeled as false that were confused as true (Study 2). False-labeled information was less retained, yielding initially more accurate event representation. However, once stored, false-labeled information was recalled with confidence as true, leading to a false representation. Therefore, mechanisms such as highlighting the veracity of information within coherent news articles on social media should be used with consideration.

摘要

在当今信息迅速传播的时代,辨别真假至关重要。我们研究了表明信息真实性的线索如何影响对连贯叙事的记忆准确性和信心。两项研究使用字体颜色作为线索,操纵了在事件描述中区分真实标签和虚假标签信息的感知难度。研究1(N = 198)表明,真实性线索的存在会降低对事件描述的记忆准确性。研究2(N = 248)表明,当区分真实性线索变得更具挑战性时,虚假标签信息被更频繁地误认且记忆不准确。随着真实性线索的存在,信心评级下降(研究1),但对于被误当作真实的虚假标签句子,信心却高得不成比例(研究2)。虚假标签信息留存较少,从而产生最初更准确的事件表征。然而,一旦存储下来,虚假标签信息会被自信地当作真实信息回忆起来,导致错误表征。因此,在社交媒体上的连贯新闻文章中突出信息真实性等机制的使用应谨慎考虑。

https://cdn.ncbi.nlm.nih.gov/pmc/blobs/02d5/12119432/829bc5bf26c4/41235_2025_629_Fig6_HTML.jpg
https://cdn.ncbi.nlm.nih.gov/pmc/blobs/02d5/12119432/fb4dd5b92993/41235_2025_629_Fig1_HTML.jpg
https://cdn.ncbi.nlm.nih.gov/pmc/blobs/02d5/12119432/f9f2cea9bdd5/41235_2025_629_Fig2_HTML.jpg
https://cdn.ncbi.nlm.nih.gov/pmc/blobs/02d5/12119432/89de15c7a177/41235_2025_629_Fig3_HTML.jpg
https://cdn.ncbi.nlm.nih.gov/pmc/blobs/02d5/12119432/e3fa37c3daeb/41235_2025_629_Fig4_HTML.jpg
https://cdn.ncbi.nlm.nih.gov/pmc/blobs/02d5/12119432/65e1c1aee234/41235_2025_629_Fig5_HTML.jpg
https://cdn.ncbi.nlm.nih.gov/pmc/blobs/02d5/12119432/829bc5bf26c4/41235_2025_629_Fig6_HTML.jpg
https://cdn.ncbi.nlm.nih.gov/pmc/blobs/02d5/12119432/fb4dd5b92993/41235_2025_629_Fig1_HTML.jpg
https://cdn.ncbi.nlm.nih.gov/pmc/blobs/02d5/12119432/f9f2cea9bdd5/41235_2025_629_Fig2_HTML.jpg
https://cdn.ncbi.nlm.nih.gov/pmc/blobs/02d5/12119432/89de15c7a177/41235_2025_629_Fig3_HTML.jpg
https://cdn.ncbi.nlm.nih.gov/pmc/blobs/02d5/12119432/e3fa37c3daeb/41235_2025_629_Fig4_HTML.jpg
https://cdn.ncbi.nlm.nih.gov/pmc/blobs/02d5/12119432/65e1c1aee234/41235_2025_629_Fig5_HTML.jpg
https://cdn.ncbi.nlm.nih.gov/pmc/blobs/02d5/12119432/829bc5bf26c4/41235_2025_629_Fig6_HTML.jpg

相似文献

1
Processing of veracity cues: how processing difficulty affects the memory of event description and judgment of confidence.真实性线索的处理:处理难度如何影响事件描述的记忆和信心判断。
Cogn Res Princ Implic. 2025 May 28;10(1):22. doi: 10.1186/s41235-025-00629-2.
2
Arabic within culture forensic interviews: Arabic native speaking lay-observer truth and lie accuracy, confidence, and verbal cue selection.文化取证访谈中的阿拉伯语:阿拉伯语母语的非专业人员在真相和谎言判断中的准确性、信心以及言语线索选择。
PLoS One. 2024 Sep 23;19(9):e0310384. doi: 10.1371/journal.pone.0310384. eCollection 2024.
3
Judging veracity impairs eyewitnesses' memory of a perpetrator.判断真实性会损害目击者对犯罪者的记忆。
Memory. 2013;21(7):843-56. doi: 10.1080/09658211.2013.765486. Epub 2013 Jan 25.
4
Improving accuracy of veracity judgment through cue training.通过线索训练提高真实性判断的准确性。
Percept Mot Skills. 2004 Jun;98(3 Pt 1):1039-48. doi: 10.2466/pms.98.3.1039-1048.
5
The effect of perceptual processing fluency and value on metacognition and remembering.知觉加工流畅性和价值对元认知和记忆的影响。
Psychon Bull Rev. 2022 Jun;29(3):910-921. doi: 10.3758/s13423-021-02030-8. Epub 2021 Nov 30.
6
Influence of cue word perceptual information on metamemory accuracy in judgement of learning.线索词知觉信息对学习判断中元记忆准确性的影响。
Memory. 2016;24(3):383-98. doi: 10.1080/09658211.2015.1009470. Epub 2015 Feb 16.
7
On belief and fluency in the construction of judgments of learning: Assessing and altering the direct effects of belief.关于学习判断构建中的信念与流畅性:评估并改变信念的直接影响
Acta Psychol (Amst). 2018 May;186:27-38. doi: 10.1016/j.actpsy.2018.04.004. Epub 2018 Apr 22.
8
In a Concurrent Memory and Auditory Perception Task, the Pupil Dilation Response Is More Sensitive to Memory Load Than to Auditory Stimulus Characteristics.在同时进行的记忆和听觉感知任务中,瞳孔扩张反应对记忆负荷的敏感性高于对听觉刺激特征的敏感性。
Ear Hear. 2019 Mar/Apr;40(2):272-286. doi: 10.1097/AUD.0000000000000612.
9
Letter Spacing Does not Affect Memory and Metamemory.字母间距不影响记忆和元记忆。
Psychol Rep. 2025 Jun;128(3):2055-2070. doi: 10.1177/00332941231178466. Epub 2023 May 30.
10
Responses improve the accuracy of confidence judgements in memory tasks.在记忆任务中,反应会提高信心判断的准确性。
J Exp Psychol Learn Mem Cogn. 2019 Apr;45(4):712-723. doi: 10.1037/xlm0000608. Epub 2018 Jul 12.

本文引用的文献

1
Toolbox of individual-level interventions against online misinformation.个体层面干预网络错误信息工具箱。
Nat Hum Behav. 2024 Jun;8(6):1044-1052. doi: 10.1038/s41562-024-01881-0. Epub 2024 May 13.
2
Trust or distrust? Neither! The right mindset for confronting disinformation.信任还是不信任?都不是!应对虚假信息的正确心态。
Curr Opin Psychol. 2024 Apr;56:101779. doi: 10.1016/j.copsyc.2023.101779. Epub 2023 Dec 10.
3
Metacognition and Confidence: A Review and Synthesis.元认知与信心:回顾与综合。
Annu Rev Psychol. 2024 Jan 18;75:241-268. doi: 10.1146/annurev-psych-022423-032425. Epub 2023 Sep 18.
4
Nevertheless, partisanship persisted: fake news warnings help briefly, but bias returns with time.然而,党派偏见依然存在:假新闻警告在短期内有一定帮助,但随着时间的推移,偏见会再次出现。
Cogn Res Princ Implic. 2021 Jul 23;6(1):52. doi: 10.1186/s41235-021-00315-z.
5
In Colore Veritas? Color effects on the speed and accuracy of true/false responses.在色彩中寻找真相?颜色对真/假反应速度和准确性的影响。
Psychol Res. 2022 Apr;86(3):919-936. doi: 10.1007/s00426-021-01528-z. Epub 2021 May 29.
6
The effects of repetition frequency on the illusory truth effect.重复频率对虚假真实效应的影响。
Cogn Res Princ Implic. 2021 May 13;6(1):38. doi: 10.1186/s41235-021-00301-5.
7
Timing matters when correcting fake news.纠正假新闻要把握时机。
Proc Natl Acad Sci U S A. 2021 Feb 2;118(5). doi: 10.1073/pnas.2020043118.
8
More evidence against the Spinozan model: Cognitive load diminishes memory for "true" feedback.更多反对斯宾诺莎模型的证据:认知负荷会降低对“真实”反馈的记忆。
Mem Cognit. 2019 Oct;47(7):1386-1400. doi: 10.3758/s13421-019-00940-6.
9
Rethinking the Reliability of Eyewitness Memory.重新思考目击者记忆的可靠性。
Perspect Psychol Sci. 2018 May;13(3):324-335. doi: 10.1177/1745691617734878.
10
Aligning Spinoza with Descartes: An informed Cartesian account of the truth bias.将斯宾诺莎与笛卡尔对齐:真相偏差的知情笛卡尔解释。
Br J Psychol. 2017 Aug;108(3):453-466. doi: 10.1111/bjop.12210. Epub 2016 Aug 11.