• 文献检索
  • 文档翻译
  • 深度研究
  • 学术资讯
  • Suppr Zotero 插件Zotero 插件
  • 邀请有礼
  • 套餐&价格
  • 历史记录
应用&插件
Suppr Zotero 插件Zotero 插件浏览器插件Mac 客户端Windows 客户端微信小程序
定价
高级版会员购买积分包购买API积分包
服务
文献检索文档翻译深度研究API 文档MCP 服务
关于我们
关于 Suppr公司介绍联系我们用户协议隐私条款
关注我们

Suppr 超能文献

核心技术专利:CN118964589B侵权必究
粤ICP备2023148730 号-1Suppr @ 2026

文献检索

告别复杂PubMed语法,用中文像聊天一样搜索,搜遍4000万医学文献。AI智能推荐,让科研检索更轻松。

立即免费搜索

文件翻译

保留排版,准确专业,支持PDF/Word/PPT等文件格式,支持 12+语言互译。

免费翻译文档

深度研究

AI帮你快速写综述,25分钟生成高质量综述,智能提取关键信息,辅助科研写作。

立即免费体验

基于影像学的机器学习用于评估大脑中动脉区域缺血性卒中的严重程度。

Imaging-based machine learning to evaluate the severity of ischemic stroke in the middle cerebral artery territory.

作者信息

Xie Gang, Gao Jin, Liu Jian, Zhou Xuwei, Zhao Zhengkai, Tang Wuli, Zhang Yue, Zhang Lingfeng, Li Kang

机构信息

Department of Radiology, The Third People's Hospital of Chengdu, Chengdu, China.

Department of Radiology, Chongqing Liangjiang New Area People's Hospital, Chongqing, China.

出版信息

BMC Med Imaging. 2025 May 30;25(1):199. doi: 10.1186/s12880-025-01745-7.

DOI:10.1186/s12880-025-01745-7
PMID:40448023
原文链接:https://pmc.ncbi.nlm.nih.gov/articles/PMC12125870/
Abstract

OBJECTIVES

This study aims to develop an imaging-based machine learning model for evaluating the severity of ischemic stroke in the middle cerebral artery (MCA) territory.

METHODS

This retrospective study included 173 patients diagnosed with acute ischemic stroke (AIS) in the MCA territory from two centers, with 114 in the training set and 59 in the test set. In the training set, spearman correlation coefficient and multiple linear regression were utilized to analyze the correlation between the CT imaging features of patients prior to treatment and the national institutes of health stroke scale (NIHSS) score. Subsequently, an optimal machine learning algorithm was determined by comparing seven different algorithms. This algorithm was then used to construct a imaging-based prediction model for stroke severity (severe and non-severe). Finally, the model was validated in the test set.

RESULTS

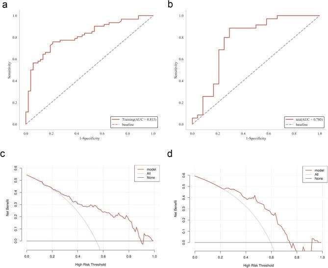
After conducting correlation analysis, CT imaging features such as infarction side, basal ganglia area involvement, dense MCA sign, and infarction volume were found to be independently associated with NIHSS score (P < 0.05). The Logistic Regression algorithm was determined to be the optimal method for constructing the prediction model for stroke severity. The area under the receiver operating characteristic curve of the model in both the training set and test set were 0.815 (95% CI: 0.736-0.893) and 0.780 (95% CI: 0.646-0.914), respectively, with accuracies of 0.772 and 0.814.

CONCLUSION

Imaging-based machine learning model can effectively evaluate the severity (severe or non-severe) of ischemic stroke in the MCA territory.

CLINICAL TRIAL NUMBER

Not applicable.

摘要

目的

本研究旨在开发一种基于影像学的机器学习模型,用于评估大脑中动脉(MCA)区域缺血性卒中的严重程度。

方法

这项回顾性研究纳入了来自两个中心的173例诊断为MCA区域急性缺血性卒中(AIS)的患者,其中114例在训练集,59例在测试集。在训练集中,利用斯皮尔曼相关系数和多元线性回归分析治疗前患者的CT影像特征与美国国立卫生研究院卒中量表(NIHSS)评分之间的相关性。随后,通过比较七种不同算法确定最佳机器学习算法。然后使用该算法构建基于影像的卒中严重程度(重度和非重度)预测模型。最后,在测试集中对该模型进行验证。

结果

进行相关性分析后,发现梗死侧、基底节区受累、大脑中动脉高密度征和梗死体积等CT影像特征与NIHSS评分独立相关(P<0.05)。确定逻辑回归算法是构建卒中严重程度预测模型的最佳方法。该模型在训练集和测试集的受试者操作特征曲线下面积分别为0.815(95%CI:0.736-0.893)和0.780(95%CI:0.646-0.914),准确率分别为0.772和0.814。

结论

基于影像学的机器学习模型可以有效评估MCA区域缺血性卒中的严重程度(重度或非重度)。

临床试验编号

不适用。

https://cdn.ncbi.nlm.nih.gov/pmc/blobs/acb3/12125870/16a034bad40d/12880_2025_1745_Fig5_HTML.jpg
https://cdn.ncbi.nlm.nih.gov/pmc/blobs/acb3/12125870/28cfe166d819/12880_2025_1745_Fig1_HTML.jpg
https://cdn.ncbi.nlm.nih.gov/pmc/blobs/acb3/12125870/d9844c6d7840/12880_2025_1745_Fig2_HTML.jpg
https://cdn.ncbi.nlm.nih.gov/pmc/blobs/acb3/12125870/2dab3d837ae9/12880_2025_1745_Fig3_HTML.jpg
https://cdn.ncbi.nlm.nih.gov/pmc/blobs/acb3/12125870/4b88fdcb2203/12880_2025_1745_Fig4_HTML.jpg
https://cdn.ncbi.nlm.nih.gov/pmc/blobs/acb3/12125870/16a034bad40d/12880_2025_1745_Fig5_HTML.jpg
https://cdn.ncbi.nlm.nih.gov/pmc/blobs/acb3/12125870/28cfe166d819/12880_2025_1745_Fig1_HTML.jpg
https://cdn.ncbi.nlm.nih.gov/pmc/blobs/acb3/12125870/d9844c6d7840/12880_2025_1745_Fig2_HTML.jpg
https://cdn.ncbi.nlm.nih.gov/pmc/blobs/acb3/12125870/2dab3d837ae9/12880_2025_1745_Fig3_HTML.jpg
https://cdn.ncbi.nlm.nih.gov/pmc/blobs/acb3/12125870/4b88fdcb2203/12880_2025_1745_Fig4_HTML.jpg
https://cdn.ncbi.nlm.nih.gov/pmc/blobs/acb3/12125870/16a034bad40d/12880_2025_1745_Fig5_HTML.jpg

相似文献

1
Imaging-based machine learning to evaluate the severity of ischemic stroke in the middle cerebral artery territory.基于影像学的机器学习用于评估大脑中动脉区域缺血性卒中的严重程度。
BMC Med Imaging. 2025 May 30;25(1):199. doi: 10.1186/s12880-025-01745-7.
2
Multimodal Predictive Modeling of Endovascular Treatment Outcome for Acute Ischemic Stroke Using Machine-Learning.基于机器学习的急性缺血性脑卒中血管内治疗结局的多模态预测模型
Stroke. 2020 Dec;51(12):3541-3551. doi: 10.1161/STROKEAHA.120.030287. Epub 2020 Oct 12.
3
Permeability Surface of Deep Middle Cerebral Artery Territory on Computed Tomographic Perfusion Predicts Hemorrhagic Transformation After Stroke.计算机断层扫描灌注成像中大脑中动脉深部分支区域的通透性表面可预测卒中后的出血性转化。
Stroke. 2017 Sep;48(9):2412-2418. doi: 10.1161/STROKEAHA.117.017486. Epub 2017 Aug 3.
4
Novel Vascular Territory Mapping Algorithm as a Predictive Tool for Identification of Antegrade Flow in Middle Cerebral Artery Occlusion.新型血管区域映射算法作为识别大脑中动脉闭塞时顺行血流的预测工具
Stroke. 2025 Feb;56(2):488-493. doi: 10.1161/STROKEAHA.124.048892. Epub 2025 Jan 6.
5
Automated Prediction of Proximal Middle Cerebral Artery Occlusions in Noncontrast Brain Computed Tomography.非对比脑计算机断层扫描中大脑中动脉近段闭塞的自动预测。
Stroke. 2024 Jun;55(6):1609-1618. doi: 10.1161/STROKEAHA.123.045772. Epub 2024 May 24.
6
Proximal hyper-intense vessel sign on initial FLAIR MRI in hyper-acute middle cerebral artery ischemic stroke: a retrospective observational study.初始 FLAIR MRI 上超急性大脑中动脉缺血性卒中的近端高信号血管征:一项回顾性观察研究。
Acta Radiol. 2021 Jul;62(7):922-931. doi: 10.1177/0284185120946718. Epub 2020 Aug 6.
7
Higher baseline subcortical net water uptake in computed tomography predicts malignant middle cerebral artery infarction in patients with acute ischemic stroke.更高的基线皮质下净水摄取量在计算机断层扫描中预测急性缺血性脑卒中患者的恶性大脑中动脉梗死。
Clin Radiol. 2024 Nov;79(11):e1339-e1346. doi: 10.1016/j.crad.2024.08.001. Epub 2024 Aug 6.
8
Admission insular infarction >25% is the strongest predictor of large mismatch loss in proximal middle cerebral artery stroke.岛叶梗塞>25%是大脑中动脉近端梗塞大不匹配损失的最强预测因子。
Stroke. 2013 Nov;44(11):3084-9. doi: 10.1161/STROKEAHA.113.002260. Epub 2013 Aug 29.
9
Computed tomography perfusion imaging in spectacular shrinking deficit.CT 灌注成像在显著缩小的缺损中的应用
J Stroke Cerebrovasc Dis. 2012 Feb;21(2):94-101. doi: 10.1016/j.jstrokecerebrovasdis.2010.05.007. Epub 2010 Aug 11.
10
Low Alberta Stroke Program Early CT score (ASPECTS) associated with malignant middle cerebral artery infarction.低阿尔伯塔卒中项目早期CT评分(ASPECTS)与大脑中动脉恶性梗死相关。
Cerebrovasc Dis. 2014;38(1):39-45. doi: 10.1159/000363619. Epub 2014 Sep 16.

本文引用的文献

1
Impact of presenting stroke severity and thrombolysis on outcomes following urgent carotid interventions.急性颈动脉介入治疗中,卒中严重程度和溶栓治疗对预后的影响。
J Vasc Surg. 2023 Sep;78(3):702-710. doi: 10.1016/j.jvs.2023.04.031. Epub 2023 Jun 16.
2
Effect of Alteplase on Ischemic Stroke Mortality Is Dependent on Stroke Severity.阿替普酶对缺血性脑卒中死亡率的影响取决于脑卒中严重程度。
Ann Neurol. 2023 Jun;93(6):1106-1116. doi: 10.1002/ana.26621. Epub 2023 Mar 17.
3
Left Hemisphere Bias of NIH Stroke Scale Is Most Severe for Middle Cerebral Artery Strokes.
美国国立卫生研究院卒中量表的左半球偏倚在大脑中动脉卒中中最为严重。
Front Neurol. 2022 Jun 14;13:912782. doi: 10.3389/fneur.2022.912782. eCollection 2022.
4
Association of Medicare-Medicaid Dual Eligibility and Race and Ethnicity With Ischemic Stroke Severity.医疗保险-医疗补助双重资格与种族和民族与缺血性卒中严重程度的关系。
JAMA Netw Open. 2022 Mar 1;5(3):e224596. doi: 10.1001/jamanetworkopen.2022.4596.
5
Lesion-symptom mapping with NIHSS sub-scores in ischemic stroke patients.缺血性脑卒中患者 NIHSS 亚评分的病灶-症状映射。
Stroke Vasc Neurol. 2022 Apr;7(2):124-131. doi: 10.1136/svn-2021-001091. Epub 2021 Nov 25.
6
Global, regional, and national burden of stroke and its risk factors, 1990-2019: a systematic analysis for the Global Burden of Disease Study 2019.1990—2019年全球、区域和国家的卒中负担及其风险因素:全球疾病负担研究2019的系统分析
Lancet Neurol. 2021 Oct;20(10):795-820. doi: 10.1016/S1474-4422(21)00252-0. Epub 2021 Sep 3.
7
Association of Admission NIHSS Score with Infarct Core Volume and Target Mismatch of Infarct Core/Penumbra Volume on CT Perfusion in Acute Ischaemic Stroke.急性缺血性脑卒中患者 CT 灌注成像中 NIHSS 评分与梗死核心体积及梗死核心/半暗带体积不匹配的相关性。
Cerebrovasc Dis. 2021;50(6):700-706. doi: 10.1159/000515167. Epub 2021 Jul 21.
8
Predicting 90-Day Outcome After Thrombectomy: Baseline-Adjusted 24-Hour NIHSS Is More Powerful Than NIHSS Score Change.预测取栓后 90 天的结局:基线校正 24 小时 NIHSS 比 NIHSS 评分变化更有价值。
Stroke. 2021 Aug;52(8):2547-2553. doi: 10.1161/STROKEAHA.120.032487. Epub 2021 May 18.
9
European Stroke Organisation (ESO) guidelines on intravenous thrombolysis for acute ischaemic stroke.欧洲卒中组织(ESO)急性缺血性卒中静脉溶栓指南。
Eur Stroke J. 2021 Mar;6(1):I-LXII. doi: 10.1177/2396987321989865. Epub 2021 Feb 19.
10
Hyperdense middle cerebral artery sign in large cerebral infarction.大脑中动脉高密度征在大面积脑梗死中的表现。
Brain Behav. 2021 May;11(5):e02116. doi: 10.1002/brb3.2116. Epub 2021 Mar 25.