Kim Yujin, Cho Yoonkyoung, Kim Jin Eui, Lee Dong Hoon, Oh Hannah
Interdisciplinary Program in Precision Public Health, Department of Public Health Sciences, Graduate School of Korea University, Seoul, Korea.
Department of Epidemiology, School of Public Health, University of Michigan, Ann Arbor, MI, USA.
Diabetes Metab J. 2025 Sep;49(5):1064-1074. doi: 10.4093/dmj.2024.0706. Epub 2025 Jun 9.
Although some studies suggest a positive association between ultra-processed food (UPF) intake and type 2 diabetes mellitus (T2DM), little is known about the exact shape and risks associated with different units (percentage of g/day, absolute g/day, serving/day) of UPF intake and whether the association is independent of diet quality, total energy intake, and body mass index (BMI).
Prospective studies published through January 2024 were identified by searching PubMed, Embase, and Web of Science. Summary relative risks (RRs) and 95% confidence intervals (CIs) were estimated using random-effects models. A nonlinear dose-response meta-analysis was conducted using restricted cubic spline analysis.
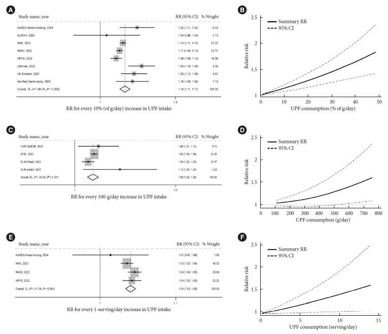
After screening 569 publications, a total of 12 prospective cohort studies were included. Comparing the highest vs. lowest categories of intake, summary RR for T2DM risk was 1.48 (95% CI, 1.36 to 1.61). Higher summary RRs were observed among studies from Europe and North America. Among individual UPF subgroups, processed meats (summary RR, 1.34; 95% CI, 1.16 to 1.54) were positively associated, whereas ultra-processed cereals and breads (0.98; 95% CI, 0.97 to 0.99) and packaged savory snacks (0.92; 95% CI, 0.88 to 0.95) were inversely associated. The summary RRs associated with every 10% (of g/day), 100-g/day, and 1-serving/day increase in UPF intake were 1.14 (95% CI, 1.11 to 1.17), 1.05 (95% CI, 1.03 to 1.06), and 1.04 (95% CI, 1.03 to 1.05), respectively. The dose-response curve for absolute g/d intake suggested nonlinearity, showing a steeper risk increase approximately at >300 g/day. The associations persisted after adjustment for diet quality, energy intake, or BMI.
Our data suggest that UPF intake increases diabetes risk, with a potential threshold effect at 300 g/day.
尽管一些研究表明超加工食品(UPF)摄入量与2型糖尿病(T2DM)之间存在正相关,但对于UPF摄入量的不同单位(克/天的百分比、绝对克数/天、份/天)所关联的确切形式和风险,以及这种关联是否独立于饮食质量、总能量摄入和体重指数(BMI),人们知之甚少。
通过检索PubMed、Embase和Web of Science确定截至2024年1月发表的前瞻性研究。使用随机效应模型估计汇总相对风险(RRs)和95%置信区间(CIs)。采用受限立方样条分析进行非线性剂量反应荟萃分析。
在筛选了569篇出版物后,共纳入12项前瞻性队列研究。比较摄入量的最高类别与最低类别,T2DM风险的汇总RR为1.48(95%CI,1.36至1.61)。在欧洲和北美的研究中观察到更高的汇总RRs。在各个UPF亚组中,加工肉类(汇总RR,1.34;95%CI,1.16至1.54)呈正相关,而超加工谷物和面包(0.98;95%CI,0.97至0.99)以及包装咸味零食(0.92;95%CI,0.88至0.95)呈负相关。与UPF摄入量每增加10%(克/天)、100克/天和1份/天相关的汇总RR分别为1.14(95%CI,1.11至1.17)、1.05(95%CI,1.03至1.06)和1.04(95%CI,1.03至1.05)。绝对克/天摄入量的剂量反应曲线显示出非线性,大约在>300克/天时风险增加更为陡峭。在调整饮食质量、能量摄入或BMI后,这些关联仍然存在。
我们的数据表明,UPF摄入量会增加糖尿病风险,在300克/天可能存在潜在的阈值效应。