Suppr超能文献

EFAS-DK患者报告结局量表的效度、信度、反应度及可解释性:一项针对丹麦语足踝患者的观察性队列研究

Validity, reliability, responsiveness and interpretability of the EFAS-DK PROM: an observational cohort study of Danish speaking foot and ankle patients.

作者信息

Nielsen Mick, Johansen Jens Kurt, Pramming Anna Kathrine, Penny Jeannette Østergaard

机构信息

Centre for Evidence-Based Orthopaedics (CEBO), Department of Orthopaedic Surgery, Zealand University Hospital, Lykkebaekvej 1, Koege, 4600, Denmark.

Department of Orthopaedic Surgery, Hvidovre University Hospital, Hvidovre, Denmark.

出版信息

J Patient Rep Outcomes. 2025 Jun 13;9(1):67. doi: 10.1186/s41687-025-00897-y.

Abstract

BACKGROUND

This study is an external evaluation of the Patient Reported Outcome Measure (PROM) EFAS-DK developed by the European Foot and Ankle Society (EFAS). The evaluation included a test of the psychometric properties.

METHODOLOGY

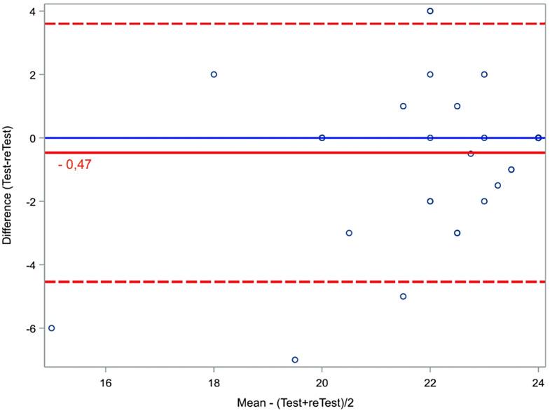
From October 2019 to September 2022, 101 patients undergoing elective foot or ankle surgery completed questionnaires (EFAS-DK, SEFAS-DK, EQ-5D-5L) prior to surgery and 6 months post-surgery. A subgroup of patients completed a retest. A foot-healthy group control group was added. Testing covered construct validity with hypothesis testing, floor and ceiling effects, internal consistency (Cronbach's Alpha), test-retest reliability (ICC 2.1), effect size (ES), Standardized Response Mean (SRM), Smallest Detectable Change (SDC) and Minimal Important Change (MIC).

RESULTS

Moderate construct validity with 59% confirmed hypothesis. High content validity, no floor ceiling effects. Cronbach's alpha 0.88, ICC 0.93. ES and SRM were both 1.06. SDC 4 and MIC 6. Control group score changes was insignificant.

CONCLUSION

EFAS-DK is a valid, reliable, and responsive foot and ankle PROM score. EFAS-DK can detect a clinically subjective relevant change score of 6 (25% of the total scale), which makes it useful for implementation in the clinic when evaluating patients undergoing foot and ankle surgery. Comparison with a control group showed results that significantly differ from the patients.

LEVEL OF EVIDENCE

IIa prospective observational analytic cohort study.

摘要

背景

本研究是对欧洲足踝协会(EFAS)开发的患者报告结局测量工具(PROM)EFAS-DK进行的外部评估。该评估包括对其心理测量特性的测试。

方法

从2019年10月至2022年9月,101例接受择期足部或踝关节手术的患者在手术前和术后6个月完成了问卷(EFAS-DK、SEFAS-DK、EQ-5D-5L)。一组患者完成了重测。增加了一个足部健康组作为对照组。测试涵盖了通过假设检验的结构效度、地板效应和天花板效应、内部一致性(克朗巴哈系数)、重测信度(组内相关系数ICC 2.1)、效应大小(ES)、标准化反应均值(SRM)、最小可检测变化(SDC)和最小重要变化(MIC)。

结果

59%的假设得到证实,结构效度中等。内容效度高,无地板效应和天花板效应。克朗巴哈系数为0.88,组内相关系数为0.93。效应大小和标准化反应均值均为1.06。最小可检测变化为4,最小重要变化为6。对照组得分变化不显著。

结论

EFAS-DK是一种有效、可靠且灵敏的足踝PROM评分工具。EFAS-DK能够检测出临床主观相关变化评分为6(占总分的25%),这使其在评估接受足踝手术的患者时在临床应用中很有用。与对照组的比较显示结果与患者有显著差异。

证据水平

IIa前瞻性观察性分析队列研究。

https://cdn.ncbi.nlm.nih.gov/pmc/blobs/2314/12165927/f5543b83711a/41687_2025_897_Fig1_HTML.jpg

文献AI研究员

20分钟写一篇综述,助力文献阅读效率提升50倍。

立即体验

用中文搜PubMed

大模型驱动的PubMed中文搜索引擎

马上搜索

文档翻译

学术文献翻译模型,支持多种主流文档格式。

立即体验