Suppr超能文献

使用套索-考克斯回归模型评估皮肤疣状癌患者的预后死亡率:一项回顾性研究。

Assessing the prognosis mortality in patients with cutaneous verrucous carcinoma using Lasso-cox regression model: a retrospective study.

作者信息

Chokkakula Santosh, Chong Siomui, Yang Yu-Yen, Huang Liying, Qian Yanan, Sun Qixiang, Xia Sijian, Zhang Xiaoxi, Yong Jiang, Pathakumari Balaji, Prabakaran D S, Si In-Cheong, Ou Yuyi, Yin Chengliang

机构信息

Department of Microbiology, Chungbuk National University College of Medicine and Medical Research Institute Cheongju, Chungbuk, 28644, South Korea.

Department of Dermatology, The University of Hong Kong-Shenzhen Hospital, Shenzhen, 518053, China.

出版信息

Discov Oncol. 2025 Jun 13;16(1):1091. doi: 10.1007/s12672-025-02893-6.

Abstract

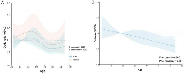
Elucidating risk factors and prognostic indicators for cutaneous verrucous carcinoma (CVC) is crucial for rapid medical intervention. This study examined CVC incidence risk and prognostic factors, emphasizing sex disparities. Utilizing SEER Database records, we analyzed patients diagnosed with primary CVC from 2004 to 2015. Multivariate logistic regression identified risk factors for the incidence model, while multivariate Cox regression developed the mortality prognosis model. Lasso regression and lasso Cox models determined key factors for respective models. Restricted cubic spline (RCS) models measured age-related risk associated with CVC presence and survival. The study included 1,125 CVC patients (668 males, 59.4%; 457 females, 40.6%) at the time of diagnosis. Lasso regression identified independent risk factors including age, sex, race, marital status, AJCC Stage, Combined Summary Stage, radiation, surgery, tumor size, chemotherapy, and regional lymph node involvement. The Age, sex, marital status, AJCC stage, combined summary stage, and surgery were independently associated with overall survival (OS) and statistically significant. Kaplan-Meier analysis revealed significantly shorter OS in female CVC patients compared to males (P < 0.05). The RCS model demonstrated a U-shaped pattern, indicating a significant nonlinear relationship between age and CVC incidence. The current study uncovered sex-related variations in incident risk and mortality prognostic factors, prediction of complications among CVC patients, offering valued insights for healthcare professionals in clinical assessments and interventions.

摘要

阐明皮肤疣状癌(CVC)的危险因素和预后指标对于快速医疗干预至关重要。本研究调查了CVC的发病风险和预后因素,重点关注性别差异。利用监测、流行病学和最终结果(SEER)数据库记录,我们分析了2004年至2015年被诊断为原发性CVC的患者。多变量逻辑回归确定了发病模型的危险因素,而多变量Cox回归建立了死亡率预后模型。套索回归和套索Cox模型确定了各自模型的关键因素。受限立方样条(RCS)模型测量了与CVC存在和生存相关的年龄相关风险。该研究纳入了1125例诊断时的CVC患者(668例男性,占59.4%;457例女性,占40.6%)。套索回归确定的独立危险因素包括年龄、性别、种族、婚姻状况、美国癌症联合委员会(AJCC)分期、综合总结分期、放疗、手术、肿瘤大小、化疗和区域淋巴结受累。年龄、性别、婚姻状况、AJCC分期、综合总结分期和手术与总生存期(OS)独立相关且具有统计学意义。Kaplan-Meier分析显示,女性CVC患者的OS明显短于男性(P < 0.05)。RCS模型呈现出U形模式,表明年龄与CVC发病率之间存在显著的非线性关系。本研究揭示了CVC患者发病风险和死亡预后因素的性别差异,以及并发症的预测情况,为医疗保健专业人员的临床评估和干预提供了有价值的见解。

https://cdn.ncbi.nlm.nih.gov/pmc/blobs/8e92/12165914/e1377bd86f0d/12672_2025_2893_Fig1_HTML.jpg

文献检索

告别复杂PubMed语法,用中文像聊天一样搜索,搜遍4000万医学文献。AI智能推荐,让科研检索更轻松。

立即免费搜索

文件翻译

保留排版,准确专业,支持PDF/Word/PPT等文件格式,支持 12+语言互译。

免费翻译文档

深度研究

AI帮你快速写综述,25分钟生成高质量综述,智能提取关键信息,辅助科研写作。

立即免费体验