Hu Jianxiong, Deng Xiao, Ye Shanghui, Liang Ziyi, Jin Ye, Guo Yanfang, Liu Tao, Er Yuliang, Zeng Fangfang, Ye Pengpeng, He Guanhao, Chen Sujuan, Wang Yuan, Lin Ziqiang, Jing Fengrui, Duan Leilei, Ji Cuirong, Ma Wenjun
Department of Public Health and Preventive Medicine, School of Medicine, Jinan University, Guangzhou, 510632, China.
Key Laboratory of Viral Pathogenesis & Infection Prevention and Control (Jinan University), Ministry of Education, Guangzhou, 510632, China.
Lancet Reg Health West Pac. 2025 Jun 4;59:101590. doi: 10.1016/j.lanwpc.2025.101590. eCollection 2025 Jun.
Although several studies have demonstrated an association between ambient temperature and injury, the temporal trend of temperature-related injury risk remains unknown. This study aimed to examine changes in the effect of temperature on injury incidence and to explore its driving factors.
A time-stratified case-crossover study including over 11.5 million injury cases from 243 surveillance hospitals in China was conducted, and the injury incidence risks associated with temperature during the periods 2006-2013 and 2014-2021 were compared using conditional logistic regression model combined with distributed lag nonlinear model (DLNM). The socio-economic driving factors of the temporal change from 2006-2013 to 2014-2021 were further explored based on mixed-effects linear model and random forest algorithm.
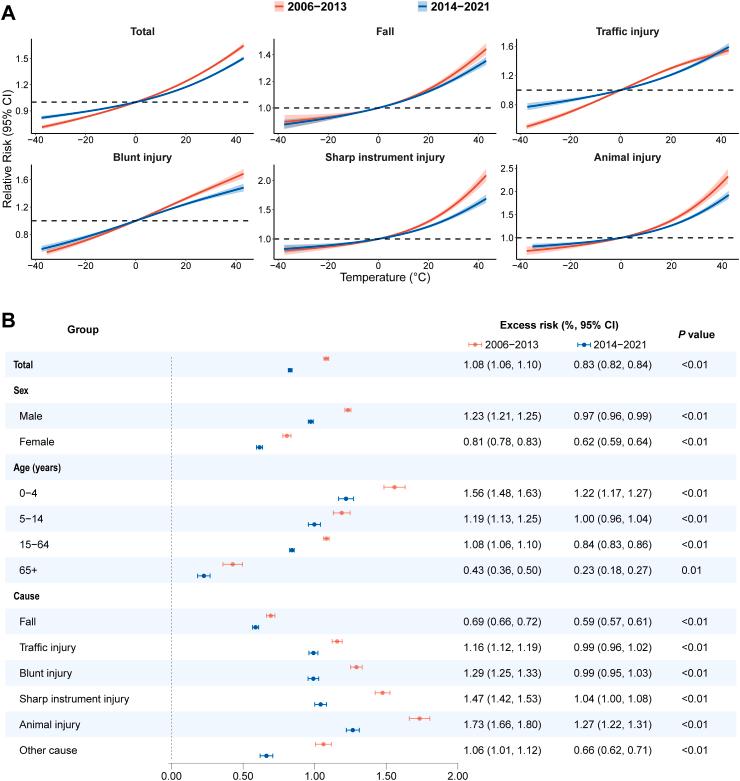
The study encompassed a total of 11,512,467 injury cases from 2006 to 2021. The temperature-injury incidence relationship was linear, exhibiting a steeper slope between 2006 and 2013 compared to 2014 and 2021. The excess risk (ER) for per 1 °C increase in temperature was 1.08% (95% CI: 1.06%, 1.10%) for 2006-2013, which was significantly higher than the 0.83% (95% CI: 0.82%, 0.84%) for 2014-2021, representing a 23.31% (95% CI: 21.53%, 24.95%) decrease. Among 31 provinces, 74.19% experienced a decline in ER, predominantly in coastal regions. The primary factors influencing this temporal shift in temperature-related injury risk were identified as the child dependency ratio, air conditioners ownership per 100 rural households, and the birth rate.
Overall, the risk of temperature-related injuries in China has decreased over the past two decades, with demographic and socioeconomic factors playing pivotal roles in this decline.
National Natural Science Foundation of China.
尽管多项研究表明环境温度与伤害之间存在关联,但温度相关伤害风险的时间趋势仍不明确。本研究旨在探讨温度对伤害发生率影响的变化,并探究其驱动因素。
开展了一项时间分层的病例交叉研究,纳入了来自中国243家监测医院的超过1150万例伤害病例,并使用条件逻辑回归模型结合分布滞后非线性模型(DLNM)比较了2006 - 2013年和2014 - 2021年期间与温度相关的伤害发生率风险。基于混合效应线性模型和随机森林算法,进一步探究了2006 - 2013年至2014 - 2021年时间变化的社会经济驱动因素。
该研究涵盖了2006年至2021年期间总共11512467例伤害病例。温度与伤害发生率之间的关系呈线性,与2014年至2021年相比,2006年至2013年期间的斜率更陡。2006 - 2013年期间,温度每升高1℃的超额风险(ER)为1.08%(95%置信区间:1.06%,1.10%),显著高于2014 - 2021年的0.83%(95%置信区间:0.82%,0.84%),下降了23.31%(95%置信区间:21.53%,24.95%)。在31个省份中,74.19%的省份ER有所下降,主要集中在沿海地区。影响温度相关伤害风险这一随时间变化的主要因素被确定为儿童抚养比、每100户农村家庭的空调拥有量和出生率。
总体而言,在过去二十年中,中国与温度相关的伤害风险有所下降,人口结构和社会经济因素在这一下降过程中发挥了关键作用。
中国国家自然科学基金。